万千商家帮你免费找货
0 人在求购买到急需产品
- 详细信息
- 文献和实验
- 技术资料
- 保存条件:
冷藏
- 保质期:
长期
- 英文名:
Nilestrio
- 库存:
572
- 供应商:
北京百奥莱博科技有限公司
特别声明:本产品及我公司所售其他产品均为科研类试剂产品,严禁用于药物、医疗及其他非科研用途。
北京百奥莱博公司供应包括尼尔雌醇对照品(国产,进口)在内的化学标准品,化学对照品,杂志对照品,HPLC标准品,UV标准品等高品质标准品、对照品
名称:尼尔雌醇对照品(国产,进口)
规格:100mg
产地:国产|进口
英文名:Nilestrio
编号:BP0193
尼尔雌醇对照品(国产,进口)正在火爆热销,除此之外,为您推荐下别热销产品:
·替米沙坦
编号:BP0485
英文名称:Telmisartan
规格:100mg/支
本品为替米沙坦化学对照品,供含量测定用。按C33H30N4O2计,供HPLC法测定,含量为99.6%;供UV法测定,含量为99.9%。
CAS号:144701-48-4
分子式:C33H30N4O2
分子量:514.62
包装及装量:棕色小瓶装,每支约100毫克。
储存条件:遮光,密封保存
注意事项:105℃干燥2 小时后使用。
·单唾液酸四己糖神经节苷脂*
编号:BP1916
英文名称:monosialotetrahexosylganglioside sodiu*(代"m")
规格:约25mg/瓶
本品为单唾液酸四己糖神经节苷脂*化学对照品,以单唾液酸四己糖神经节苷脂*计含量为99.0%,供单唾液酸四己糖神经节苷脂*鉴别及含量测定用。
CAS号:37758-47-7
分子式:C73H130N3NaO31或C75H134N3NaO31
分子量:1568.84或1597.18
包装:棕色西林瓶
规格:约25mg/瓶
储存条件:2~8℃冷藏保存
注意事项:无需干燥,直接称量使用,本品具有引湿性,建议开包装后一次使用。
·1-羟基-3,4,5-三甲氧山酮
编号:BP1334
英文名称:1-Hydroxy-3,4,5-trimethoxyxanthone
规格:10mg
本品为单唾液酸四己糖神经节苷脂*化学对照品,以单唾液酸四己糖神经节苷脂*计含量为99.0%,供单唾液酸四己糖神经节苷脂*鉴别及含量测定用。
CAS号:37758-47-7
分子式:C73H130N3NaO31或C75H134N3NaO31
分子量:1568.84或1597.18
包装:棕色西林瓶
规格:约25mg/瓶
储存条件:2~8℃冷藏保存
注意事项:无需干燥,直接称量使用,本品具有引湿性,建议开包装后一次使用。
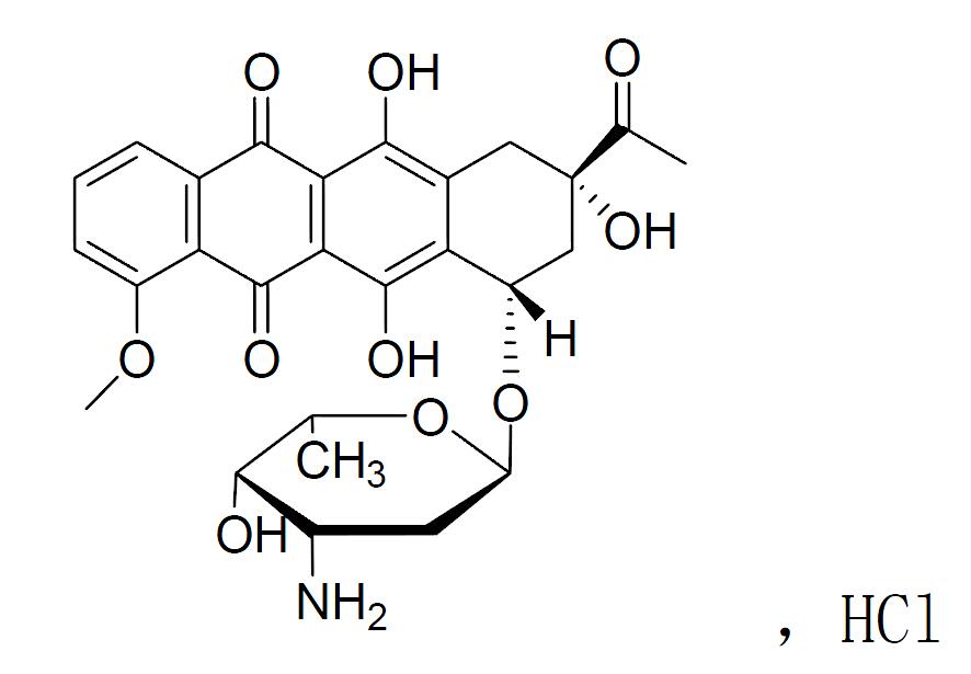
·柔红霉素
编号:BP1695
英文名称:Daunorubicin
规格:50mg
本品为柔红霉素化学对照品,供HPLC法含量测定用,以C27H29NO10计,每支含柔红霉素为19.6mg,使用前不需干燥处理。整支溶解使用。
CAS号:20830-81-3
分子式:C27H29NO10·HCl
分子量:563.98
结构式:

包装:白色西林瓶
规格:约20mg/支
储存条件:置2-8℃遮光保存。
尼尔雌醇对照品(国产,进口)关键词:Nilestrio,尼尔雌醇,BP0193
·甲磺酸加贝酯
编号:BP0723
英文名称:Gabexate Mesylate (Mesilate)
规格:100mg
·盐*(代"酸")小檗碱
编号:BP1022
英文名称:Berberine Hydrochloride
规格:30mg/支
本品为盐*(代"酸")小檗碱化学对照品,供鉴别及含量测定用,使用前不需干燥处理。含量以86.8%计。
CAS号:633-65-8
分子式:C20H18ClNO4
分子量:371
结构式:

包装:棕色安瓿瓶
装量:约30mg/支
储存条件:冷处(2~10℃)保存。
·马来酸桂哌齐特
编号:BP0729
英文名称:"Cinepazide Maleate "
规格:200mg/支
本品为盐*(代"酸")小檗碱化学对照品,供鉴别及含量测定用,使用前不需干燥处理。含量以86.8%计。
CAS号:633-65-8
分子式:C20H18ClNO4
分子量:371
结构式:

包装:棕色安瓿瓶
装量:约30mg/支
储存条件:冷处(2~10℃)保存。
·克拉维酸*
编号:BP1678
英文名称:Clavulanate Potassium
规格:50mg/支
本品为克拉维酸*化学对照品,供克拉维酸*品种红外鉴别用
分子式:C8H8KNO5
分子量:237.25
结构式:

包装及装量:安瓿;50mg
储存条件:置4℃以下条件低温避光保存。
·呋*(代"喃")丙胺杂质A
编号:BP0343
英文名称:acrylamide(2E-3-5-nitro-2-furyl)
规格:100mg
本品为克拉维酸*化学对照品,供克拉维酸*品种红外鉴别用
分子式:C8H8KNO5
分子量:237.25
结构式:

包装及装量:安瓿;50mg
储存条件:置4℃以下条件低温避光保存。
·五*利多
编号:BP1963
英文名称:Penfluridol
规格:100mg
本品为五*利多化学对照品,供高效液相色谱法鉴别和含量测定用。本品含五*利多以C28H27ClF5NO计,为100.0%。
CAS号:26864-56-2
分子式:C28H27ClF5NO
分子量:523.97
包装及装量:棕色瓶,约100mg/支
储存条件:遮光,密闭保存。
注意事项:使用前不需要干燥,可直接使用。
尼尔雌醇对照品(国产,进口)关键词:Nilestrio,尼尔雌醇,BP0193
尼尔雌醇怎样保存?
一般试剂可保存在玻璃瓶内; 对玻璃有强烈腐蚀作用的试剂,如**酸、*氧化*应保存在聚乙*(代"烯")塑料瓶内; 易被空气氧化、分化、潮解的试剂应密封保存;易感光分解的试剂应用有色玻璃瓶贮存并藏于暗处; 易受热分解及低沸点溶剂,应存于冷处; 剧毒试剂应存于保险箱; 有放射性的试剂应存于铅罐中。如果化学试剂保管不当,就会失效变质,影响实验的效果,并造成物质的浪费,甚至有时还会发生事故。因此,科学地保管好试剂对于保证实验顺利进行,获得 可靠的实验数据具有非常重要的意义。
·沙棘油
编号:BP1249
英文名称:Hipp ophae Oil
规格:0.2ml
·豆腐果苷
编号:BP0308
英文名称:Helicid
规格:100mg
·柳穿鱼叶苷
编号:BP1323
英文名称:Pectolinarin
规格:约20mg/支
本品为柳穿鱼叶苷化学对照品,供含量测定用,含量以99.6%计,使用前不需干燥处理。
CAS号:28978-02-1
分子式:C29H34O15
分子量:622.57
结构式:

包装:棕色安瓿
规格:约20mg/支
储存条件:冷处(2~10℃)保存
·京尼平苷酸
编号:BP1394
英文名称:Geniposidic acid
规格:约20mg/支
本品为京尼平苷酸化学对照品,供鉴别及含量测定用,含量以97.4%计,使用前不需干燥处理。
CAS号:27741-01-1
分子式:C16H22O10
分子量:374.34
结构式:

包装:棕色安瓿瓶
规格:约20毫克/支
储存条件:冷处(2~10℃)保存
注意事项:本品有引湿性,打开包装后一次使用完毕。
·辛伐他汀
编号:BP0463
英文名称:Simvastatin
规格:100mg/支
本品为辛伐他汀化学对照品,供含量测定用,使用前不需干燥处理。供HPLC法含量测定,按C25H38O5计,含量为99.4%。
CAS号:79902-63-9
分子式:C25H38O5
分子量:418.57
包装:棕色安瓿
装量:约100毫克/支
储存条件:遮光,充氮密闭,2~8℃保存
·尼莫地平杂质Ⅰ
编号:BP0841
英文名称:Nimodipine Impurity Ⅰ(2-methoxyethyl-1-methylethyl-2,6-dimethyl-4-(3-nitrophenyl)pyridine-3,5-dicarboxylate)
规格:100mg/支
本品为尼莫地平杂质Ⅰ化学对照品,供检查用,使用前不需干燥处理。供HPLC法检查用,按C21H24N2O7计,含量为87.0%。
CAS号:85677-93-6
分子式:C21H24N2O7
分子量:416.42
结构式:

包装:棕色安瓿瓶规格:约100毫克/支
储存条件:遮光,密封保存
尼尔雌醇的不同等级:
除了优级纯、分析纯、化学纯、实验试剂外,目前市场上尚有:基准试剂(PT):专门作为基准物用,可直接配制标准溶液。光谱纯试剂(SP):表示光谱纯净。但由于有机物在光谱上显示不出,所以有时主成分达不到99.9%以上,使用时必须注意,特别是作基准物时,必须进行标定。纯度远高于优级纯的试剂叫做高纯试剂(≥ 99.99%)。
一般化学试剂的品级:一级试剂、二级试剂、三级试剂、四级试剂
国内标准名称:优级纯(保证试剂)、分析纯、化学纯 、实验试剂
国内标签颜色:绿色、红色、蓝色、中黄色
尼尔雌醇现货供应,凡在我公司购买该产品均可享受免费的技术咨询服务,年中降价>>低价格促销:elisa试剂盒,Amrecso原装试剂、抗体、等相关试剂,产品品种齐全,价格优惠。产品质量,服务质量均是一流,您尽可放心购买!
我公司强烈推荐标准品对照品系列产品,热情期待您的咨询选购尼尔雌醇对照品(国产,进口)。
风险提示:丁香通仅作为第三方平台,为商家信息发布提供平台空间。用户咨询产品时请注意保护个人信息及财产安全,合理判断,谨慎选购商品,商家和用户对交易行为负责。对于医疗器械类产品,请先查证核实企业经营资质和医疗器械产品注册证情况。
文献和实验国产新冠药物登顶 NEJM,疗效不输 Paxlovid,且不良事件更少
病毒的药物——VV116,其作为对严重急性呼吸综合征具有有效活性的口服抗病毒药物,同时是我国首个国产靶向新冠病毒 RNA 复制酶的小分子药物抑制剂。 2022 年 12 月 28 日,上海瑞金医院赵任教授、宁光院士、上海仁济医院皋源教授等团队联合在国际医学顶刊 NEJM 杂志上发表研究论文 VV116 versus Nirmatrelvir–Ritonavir for Oral Treatment of Covid-19。 该研究首次报告感染奥密克戎病毒且具有高危症状的患者的 3 期临床
11 月 13 日,首都机场出入境检验检疫局检疫人员对一批申报为「塑胶板」(申报货值 50 美元,收货人显示为北京美术学院)的快件进行查验,传说中的塑胶板长这样:此「塑胶板」实际上为 36 瓶胎牛血清、生物试剂等产品。检验检疫部门对发货和收获人的情况进行排查布控,共查获牛血清 93 瓶,其中美国牛血清 21 瓶,新西兰牛血清 1 瓶,墨西哥牛血清 1 瓶,澳大利亚牛血清 70 瓶。检验检疫部门将 4 批涉案牛血清做了相关实验室检测,结果发现牛病毒性腹泻病毒核酸阳性和抗体阳性。牛病毒性腹泻是农业
对照品系指用于鉴别、检查、含量测定和校正检定仪器性能的标准物质。 标准品系指用于生物检定、抗生素或生物药品中含量或效价测定的标准物质,以效价单位(U)表示。 还是感觉不甚明了,是否标准品只用于生物方面?是否化学方面只能称对照品?标准品有什么要求?对照品有什么要求? 国家药品标准品、对照品系指国家药品标准中用于鉴别、检查、含量测定、杂质和有关物质检查等标准物质,它是国家药品标准不可分割的组成部分。国家药品标准物质是国家药品标准的物质基础,它是用来检查药品质量的一种特殊的专用
技术资料暂无技术资料 索取技术资料










