万千商家帮你免费找货
0 人在求购买到急需产品
- 详细信息
- 文献和实验
- 技术资料
- 保存条件:
冷藏
- 保质期:
长期
- 英文名:
Bilirubin
- 库存:
742
- 供应商:
北京百奥莱博科技有限公司
- CAS号:
635-65-4
特别声明:本产品及我公司所售其他产品均为科研类试剂产品,严禁用于药物、医疗及其他非科研用途。
北京百奥莱博公司供应包括胆红素标准品价格在内的化学标准品,化学对照品,杂志对照品,HPLC标准品,UV标准品等高品质标准品、对照品
名称:胆红素标准品价格
编号:BP0066
规格:100毫克/支
产地:国产|进口
英文名:Bilirubin
品牌:百奥莱博
本品为胆红素(Bilirubin)的化学对照品,供含量测定用,使用前不需干燥处理,按C33H36N4O6计,供HPLC法测定,含量为99.0%;供UV法测定,含量为99.5%。
分子式:C33H36N4O6
结构式:

分子量:584.66
CAS号:635-65-4
包装:棕色西林瓶。
规格:约100毫克/支。
储存条件:密闭,防潮,避光。10~3
欲咨询购买胆红素标准品价格,请致电北京百奥莱博科技有限公司,为您提供最全面周到的产品服务,除此之外,我公司正在促销以下产品:
没食子酸 Bismuth potassiu*(代"m") iodide 149-91-7
植物凝胶 Octyltrimethylammonium chloride 71010-52-1
F030419 胶体金标记兔抗鸡IgY抗体 Rabbit Anti-Chicken IgY*GOLD
PY01-180 *百里酚蓝 25克
格尔德霉素 DL-2-(2-Chlorophenyl)glycine 30562-34-6
酚酞 Thiamphenicol 77-09-8
BL1319 4×dNTPs(100mM)
P:C:I(125:24:1,pH﹥7.8) 100ml
印度墨水 γ-Globulins from bovine blood
ARB11053 人表面膜免疫球蛋白M(mIgM)Elisa分析 Human membrane igm,migM ELISA KIT
N-*甲酰-N-*基羟胺 Dispase 304-88-1
ARB10668 人血管紧张素Ⅱ受体1抗体(ATⅡR1)酶联免疫定量检测 Human angiotension Ⅱ receptor 1 antibody,atⅡr1 ab ELISA KIT
ARB14151 牛血清白蛋白(BSA)免费代测
胆红素标准品价格关键词:胆红素,635-65-4,Bilirubin
·*甲贝那替嗪
编号:BP0173
英文名称:Cinchonidine
规格:50mg
·伊曲康唑杂质F
编号:BP1761
英文名称:Itraconazole impurity F
规格:30mg/支
本品为伊曲康唑杂质F化学对照品,供伊曲康唑原料及其制剂HPLC法有关物质检查用,以伊曲康唑杂质(C35H38Cl2N8O4)计,含量为98.0%。使用前不需干燥处理。
CAS号:89848-51-1
分子式:C35H38Cl2N8O4
分子量:704.2
结构式:

包装:棕色安瓿
规格:30mg/支
储存条件:常温遮光保存
·没食子酸
编号:BP1116
英文名称:Gallic acid
规格:约30mg/支
本品为没食子酸化学对照品,供鉴别或含量测定用,使用前不需干燥处理,含量以90.8%计。
CAS号:149-91-7
分子式:C7H6O5
分子量:170.02
结构式:

包装:棕色安瓿
规格:约30mg/支
储存条件:冷处(2-10℃)
·茚地那韦
编号:BP0491
英文名称:Indinavir
规格:100mg
本品为茚地那韦化学对照品,供HPLC法含量测定用,以C36H47N5O4计,含量为96.8%,使用前不需干燥处理。
CAS号:150378-17-9
分子式:C36H47N5O4
分子量:613.79
包装:棕色西林瓶
装量:约100毫克/支
储存条件:遮光,密封保存
·磷酸肌酸*
编号:BP0666
英文名称:Creatine Phosphate Sodium
规格:100mg
本品为磷酸肌酸*四水合物,供含量测定用,使用前不需干燥处理,供HPLC法测定,按C4H8N3O5PNa2计,含量为76.6%。本品溶液应临用新制。
CAS号:922-32-7
分子式:C4H8N3O5PNa2·4H2O
分子量:327.15
包装及装量:棕色西林瓶装,每支约100毫克。
储存条件:遮光,冷处密封保存。
注意事项:使用前不需干燥处理。本品具有引湿性,建议打开包装一次性使用完毕。
胆红素标准品价格关键词:胆红素,635-65-4,Bilirubin
本公司免费技术支持,由专业的技术人员和销*(代"售")人员为科研用户提供全面的技术支持和完善的售前、售中、售后服务。百奥莱博暑期大促,凡够买我司各种生物试剂、抗体、ELISA试剂盒、抗原、血清、血浆、胆红素、脱纤维血、抗凝血、裂解血、分子生物学试剂、培养基等优质试剂,均可享受超低会员价,各种高品质科研试剂及各种规格包装均可定制,如有需要请联系我们。
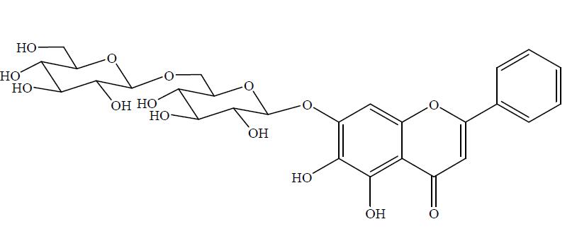
·木蝴蝶苷B
编号:BP1455
英文名称:Baicalein-7-O-diglucoside
规格:20mg/支
本品为木蝴蝶苷B化学对照品,供鉴别及含量测定用,含量以91.9%计,使用前不需干燥处理。
CAS号:114482-86-9
分子式:C27H30O15
分子量:594.16
结构式:

包装:棕色安瓿瓶
规格:约20mg/支
储存条件:冷处(2-10℃)保存
·顺铂
编号:BP0317
英文名称:Cisplatin
规格:100mg
本品为顺铂化学对照品,使用前不需干燥处理。供HPLC法含量测定用,按Cl2H6N2Pt计,含量为99.8%。本品溶液不稳定,需临用新制。
分子式:Cl2H6N2Pt
结构式:

分子量:300.05
CAS号:15663-27-1
包装及装量:棕色西林瓶装,每支约100mg。
储存条件:遮光,密封保存。
·天麻素杂质Ⅰ
编号:BP1009
英文名称:Gastrodin Impurity Ⅰ 4-(β-D-Glucopyranosyloxy)-Benzaldehyde
规格:30mg/支
本品为天麻素杂质Ⅰ化学对照品,使用前不需干燥处理。供HPLC法系统适用性试验用。
CAS号:26993-16-8
分子式:C13H16O7
分子量:284.36
结构式:

规格:约30毫克/支。
储存条件:遮光,密闭,2~8℃保存。
我公司所售科研每月均有新品促销,您可对我公司网站时刻进行关注,在促销期间购买您所需产品,价格更优惠。胆红素质量保证,品质已经得到广大客户的认可,您可放心,且我公司有专门的售后部门对客户进行全线跟踪,全程免费技术指导。欢迎询价详谈!
胆红素等科研试剂品质优良,受到广大科研工作者的一致肯定和赞许。质量品牌保证,价格公正,倾力为国内国外生命科学研究人员提供一流的产品。欢迎来电咨询!
我公司正在打折促销标准品对照品全系列产品,恭候您的咨询选购胆红素标准品价格。
风险提示:丁香通仅作为第三方平台,为商家信息发布提供平台空间。用户咨询产品时请注意保护个人信息及财产安全,合理判断,谨慎选购商品,商家和用户对交易行为负责。对于医疗器械类产品,请先查证核实企业经营资质和医疗器械产品注册证情况。
文献和实验的。 实验室常用的蛋白标准品多是来自NEB、MBI、GE、Bio-Rad 、Invitrogen、Novagen、Promega、MRESCO、Pierce Bio. 等品牌,生物帮2-D 蛋白 MW Markers产品推荐:Marker for 2D Electrophoresis 、ColorBurst(TM) Electrophoresis Marker 、Myoglobin, Carbamylated 2D Electrophoresis Marker from equine heart
WHO国际生物制剂书目(由WHO国际标准生物实验室制定分类) 试剂 剂型 13059143940/13380091861 第一页 重组人Activin A冻干粉 标准品 5 units / ampoule 人甲胎蛋白冻干粉 标准品 100,000 IU / ampoule. 氨基羟丁基卡那霉素冻干粉 标准品 50,600 IU / ampoule 两性霉素B冻干粉 标准品 . 940 IU / mg(含约50mg两性霉素B) Ancrod冻干粉 标准品 55 IU
zgq8888 求助: 我想做一个QPCR检测肝癌组织及正常组织的一个基因表达,我是用哪个做标准品建立标准曲线;另外关于人的内参NAPDH的引物序列,不同文献不同,我应该怎样选择。谢谢 zjubell 你要做绝对定量还是相对定量? 既然你提取用内参,那应该就是相对定量了 所以不需要标准品做标准曲线。但你需要对你的两对引物进行扩增效率测试 也是10倍稀释,就拿cDNA即可。 如果两个梯度间
技术资料暂无技术资料 索取技术资料










