相关产品推荐更多 >
万千商家帮你免费找货
0 人在求购买到急需产品
- 详细信息
- 技术资料
- 保存条件:
阴凉干燥
- 保质期:
长期
- 英文名:
Sodium Tauroursodeoxycholate
- 库存:
547
- 供应商:
北京百奥莱博科技有限公司
- CAS号:
14605-22-2
特别声明:本产品及我公司所售其他产品均为科研类试剂产品,严禁用于药物、医疗及其他非科研用途。
百奥莱博公司致力于为全国科研单位提供药典标准品、对照品、标准溶液、标准样品、对照培养基、国家标准品等可靠标准物质,其中牛磺熊去氧胆酸*对照品现货促销的品质过硬,在广大科研人员中有口皆碑!
名称:牛磺熊去氧胆酸*对照品现货促销
英文名:Sodium Tauroursodeoxycholate
产地:国产|进口
品牌:百奥莱博
本品为牛磺熊去氧胆酸*化学对照品,供含量测定用,使用前不需干燥处理。含量以93.4%计。
CAS号:14605-22-2
分子式:C26H44NO6SNa
分子量:521.69
结构式:

包装:棕色安瓿瓶
装量:约20mg/支
储存条件:冷处保存
注意事项:本品有引湿性,打开包装后一次使用完毕。
关于牛磺熊去氧胆酸*对照品现货促销的更详细说明,请致电我公司咨询,我们将以最饱满的热情为您提供解答,此外,我公司专业供应下列产品:
·脱氧核糖胞嘧啶核苷酸*(C)
编号:BP1851
英文名称: deoxyribose cytidylic acid sodiu*(代"m")(dCMP-Na)
规格:20mg/瓶
本品为脱氧核糖胞嘧啶核苷酸*化学对照品,含量为90.3%,供脱氧核苷酸鉴别及含量测定用。
分子式:C9H12N3O7PNa2
分子量:351.16
结构式:

包装:棕色瓶
装量:约20mg/支
储存条件:-20℃保存
注意事项:使用前不需干燥。
·克霉唑
编号:BP0034
英文名称:Clotrimazole
规格:100mg/支
本对照品为克霉唑。供高效液相含量测定用,含量以克霉唑(C22H17ClN2)计。
分子式:C22H17ClN2
分子量:344.11
CAS号:23593-75-1
包装及装量:安瓿,100mg/支
储存条件:置常温条件避光保存。
·奥拉米特
编号:BP0349
英文名称:Qrazamide
规格:100mg
本对照品为克霉唑。供高效液相含量测定用,含量以克霉唑(C22H17ClN2)计。
分子式:C22H17ClN2
分子量:344.11
CAS号:23593-75-1
包装及装量:安瓿,100mg/支
储存条件:置常温条件避光保存。
·盐*(代"酸")哌唑嗪
编号:BP0132
英文名称:Prazosin Hydrochloride
规格:100mg
本品为盐*(代"酸")哌唑嗪的化学对照品,供含量测定用。105℃干燥 2小时后使用。按C19H21N5O4·HCl计,供HPLC法测定,含量为99.9%;供UV法测定,含量为100.0%。
分子式:C19H21N5O4·HCl
分子量:419.87
CAS号:19237-84-4
包装及装量:棕色西林瓶装,每支约100毫克。
储存条件:避光,密封保存。
·拉米夫定杂质Ⅰ(拉米夫定酸)
编号:BP0930
英文名称:Lamivudine Impurity Ⅰ(Lamivudine-carboxylic acid)
规格:20mg/支
本品为拉米夫定杂质Ⅰ(拉米夫定酸)化学对照品,供HPLC法系统适用性试验用,使用前不需干燥处理
分子式:C8H9N3O4S
分子量:243.24

拉米夫定及其杂质(胞嘧啶、尿嘧啶、拉米夫定、水杨酸、拉米夫定杂质Ⅰ-Ⅴ)
混合物色谱图色谱柱:ShiseidoCapcellc18AQ(250mm×4.6mm,5μm)
包装:棕色西林瓶
规格:约20mg/支
牛磺熊去氧胆酸*对照品现货促销关键词:牛磺熊去氧胆酸*,Sodium Tauroursodeoxycholate,14605-22-2
我公司倾力为客户提供最优 、最全、最有效的牛磺熊去氧胆酸*等科研试剂产品,质量被全国各大院校科研机构认可。 同时,我们售前,售中,售后全程为您服务。欢迎来电咨询!
BL0010 水解乳蛋白 BactoTM TC Lactalbumin Hydrolysate
DL-天冬酰胺一水物 DL-Glutamic acid monohydrate 3130-87-8
血清/血浆游离DNA提取试剂盒
002005 草酸*抗凝羊血
ARB10674 人血管紧张素Ⅴ(ANGⅤ)含量测试
多聚甲醛溶液(4% PFA,RNase free) 100ml|500ml
HC0194 记号笔(蓝色)油性
F010204 小鼠抗人IgM抗体 Monoclonal Mouse Anti-Human IgM
ARB11958 大鼠Ⅳ型胶原(Col Ⅳ)酶免分析 Rat collagen type Ⅳ,col Ⅳ ELISA KIT
A5106-25 绵羊血清 100ml|500ml
PY02-340 VRBA-MUG琼脂 100克
BTN100406 溶菌酶干粉 Lysozyme Powder
辅羧酶 Boc-L-Glutamic acid 5-benzylester 154-87-0
9001-51-8 己糖激酶 Hexokinase
磷酸*二*-柠檬酸缓冲液(pH2.2-8.0) 500ml
BTN130422 CM交换介质 CM Medium
BTN120674 酪蛋白 Casein
F040313 猴IgG抗原 Monkey IgG
Earle"s平衡盐溶液(含**糖,无酚红) 1×EBSS|10×EBSS 500ml
HC0118 透析袋夹子
ARB10261 人二磷酸腺苷(ADP)酶标法分析 Human adenosine diphosphate,adp ELISA KIT
CYB163051 羊抗猪IgG-RBITC
牛磺熊去氧胆酸*对照品现货促销关键词:牛磺熊去氧胆酸*,Sodium Tauroursodeoxycholate,14605-22-2
牛磺熊去氧胆酸*是我们热销产品之一,品牌代理,品质保证,专业性强,实验全程无忧。我公司已为中国市场提供数万种高端试剂,我们有能力提供毫克级,克级,甚至公斤级。试剂产品相关信息齐全,欢迎来电咨询、选购。
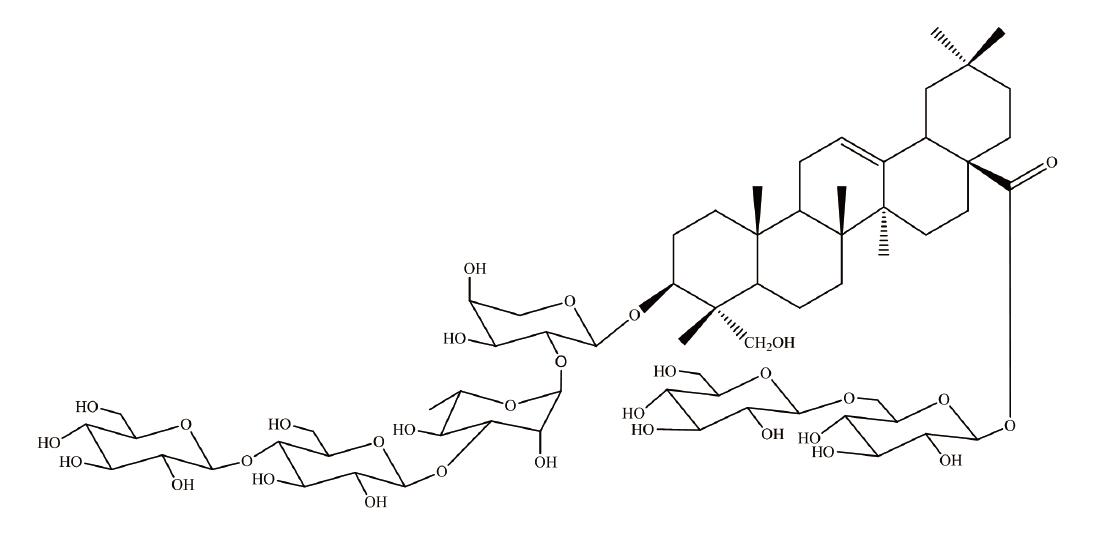
·灰毡毛忍冬皂苷乙
编号:BP1383
英文名称:Macranthoidin B
规格:20mg/支
本品为灰毡毛忍冬皂苷乙化学对照品,供含量测定用,含量以94.4%计,使用前不需干燥处理。
CAS号:136849-88-2
分子式:C65H106O32
分子量:1399.52
结构式:

包装:棕色安瓿瓶
规格:约20mg/支
储存条件:冷冻(-20℃)保存
注意事项:本品具有引湿性,建议打开包装一次性使用完。
·吲哚美辛杂质I(2-甲基-5-甲氧基-1H-吲哚-3-乙酸)
编号:BP0962
英文名称:Indometacin Impurity I (2-(5-Methoxy-2-1H-indol-3-yl)acetic acid)
规格:50毫克/支
本品为吲哚美辛杂质I(2-甲基-5-甲氧基-1H-吲哚-3-乙酸)化学对照品,供检查用。室温减压干燥24小时后使用,供HPLC法测定,按C12H13NO3计,含量为100%。
CAS号:2882-15-7
分子式:C12H13NO3
分子量:219.24
包装:安瓿瓶
规格:约50毫克/支
储存条件:遮光,密闭,2~8℃保存。
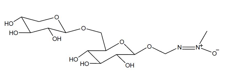
·甲基氧化偶氮甲醇樱草糖苷
编号:BP1518
英文名称:Macrozamin
规格:约20mg/支
本品为甲基氧化偶氮甲醇樱草糖苷化学对照品,供鉴别或含量测定用,含量以98.9%计,使用前不需干燥处理。
分子式:C13H24N2O11
分子量:384.34
结构式:

包装:棕色安瓿
规格:约20mg/支
储存条件:冷处(2~10℃)保存
我公司生化试剂产品种类丰富,涵盖溶剂、培养基、*基酸及其衍生物、组织学试剂、电泳试剂、核苷酸及其衍生物、糖类、纯化试剂、分子生物学用试剂、抗生素、生物缓冲试剂、染色剂、牛磺熊去氧胆酸*等。我公司作为一家以客户为中心的生产厂家和全球分销商,生产经营品种齐全的高质量化学品,实验室耗品和器材。在百奥莱博,质量是我们第一关注的要点。欢迎咨询选购!
北京百莱博科技有限公司专业生产标准品对照品产品,欢迎来电咨询选购牛磺熊去氧胆酸*对照品现货促销。
风险提示:丁香通仅作为第三方平台,为商家信息发布提供平台空间。用户咨询产品时请注意保护个人信息及财产安全,合理判断,谨慎选购商品,商家和用户对交易行为负责。对于医疗器械类产品,请先查证核实企业经营资质和医疗器械产品注册证情况。
技术资料暂无技术资料 索取技术资料










