相关产品推荐更多 >
万千商家帮你免费找货
0 人在求购买到急需产品
- 详细信息
- 询价记录
- 文献和实验
- 技术资料
- 库存:
570
- 英文名:
Free Prostate Specific Antigen (f-PSA)
- 保质期:
长期
- 供应商:
北京百奥莱博科技有限公司
特别声明:本产品及我公司所售其他产品均为科研类试剂产品,严禁用于药物、医疗及其他非科研用途。
游离前列腺特异抗原(fPSA)标准品供应由专业试剂供应商北京百奥莱博提供,用于科研目的生化试验项目,本产品质量好,且极具价格优势,深为用户称道,了解更多游离前列腺特异抗原(fPSA)等标准品对照品产品请联*(代"系")我司咨询订购。
名称:游离前列腺特异抗原(fPSA)标准品供应
编号:BP1943
规格:170ng/支
英文名:Free Prostate Specific Antigen (f-PSA)
产地:国产|进口
品牌:百奥莱博
本品为游离前列腺特异性抗原免疫测定用标准品,以提取人PSA为原料制备,供fPSA定量标记免疫分析使用,适用于化学发光、时间分辨免疫荧光等方法。
性状:白色冻干粉末
包装:白色安瓿瓶
规格:每支安瓿内含牛血清白蛋白5 mg,甘露醇30 mg,磷酸盐微量,本品为冻干品。
特性量值:溯源至fPSA国际标准品(NIBSC 96/668),经协作标定,每支安瓿内 fPSA免疫活性为170 ng。
使用方法和要求:使用时应先用 500μl 去离子水将内容物完全复溶,再选择适当的稀
想要了解更多关于游离前列腺特异抗原(fPSA)标准品供应的价格、品牌、厂家、说明书、促销信息,请和我们联*(代"系")。此外我公司还销*(代"售")下面的产品:
·柯里拉京
编号:BP1246
英文名称:Corilagin
规格:20mg
·奥美拉唑磺酰化物
编号:BP0636
英文名称:Omeprazole sulfone
规格:5毫克
本品为奥美拉唑磺酰化物化学对照品,供HPLC法系统适用性试验用。
CAS号:88546-55-8
分子式:C17H19N3O4S
分子量:361.42
包装及装量:棕色西林瓶装,每支约5毫克
储存条件:避光,在干燥,冷处密封保存
注意事项:使用前不需干燥处理。
·大豆苷
编号:BP1329
英文名称:Daidzin
规格:棕色安瓿瓶
本品为大豆苷化学对照品,供鉴别及含量测定用,含量以93.3%计,使用前不需干燥处理。
CAS号:552-66-9
分子式:C21H20O9
分子量:416.38
结构式:

包装:棕色安瓿瓶
规格:约20毫克/支
储存条件:冷处(2~10℃)保存
注意事项:本品有引湿性,打开包装后一次使用完毕。
·硬脂酸甲酯
编号:BP2004
英文名称:Methyl stearate
规格:200mg/支
本品为硬脂酸甲酯化学对照品,供三油酸山梨坦、大豆油、山嵛酸甘油酯、月桂山梨坦、月桂酰聚氧乙*(代"烯")甘油酯、可可脂、油酰聚氧乙*(代"烯")甘油酯、油酸山梨坦、油酸*、油酸聚氧乙*(代"烯")酯、*化大豆油、*化蓖麻油、棕榈山梨坦、硬脂山梨坦、硬脂酸、聚山梨酯、蔗糖硬脂酸酯、橄榄油品种脂肪酸组成检查用。
CAS号:112-61-8
分子式:C19H38O2
分子量:298.49
结构式:

包
游离前列腺特异抗原(fPSA)标准品供应关键词:游离前列腺特异抗原(fPSA),Free Prostate Specific Antigen (f-PSA),BP1943
游离前列腺特异抗原(fPSA)的不同等级:
除了优级纯、分析纯、化学纯、实验试剂外,目前市场上尚有:基准试剂(PT):专门作为基准物用,可直接配制标准溶液。光谱纯试剂(SP):表示光谱纯净。但由于有机物在光谱上显示不出,所以有时主成分达不到99.9%以上,使用时必须注意,特别是作基准物时,必须进行标定。纯度远高于优级纯的试剂叫做高纯试剂(≥ 99.99%)。
一般化学试剂的品级:一级试剂、二级试剂、三级试剂、四级试剂
国内标准名称:优级纯(保证试剂)、分析纯、化学纯 、实验试剂
国内标签颜色:绿色、红色、蓝色、中黄色
ARB11064 人转甲状腺素蛋白(TTR)含量分析 Human transthyretin,ttr ELISA KIT
Hoechst33258染色液(50×) 1ml
PY02-006 双料乳糖胆盐胨水 250克
ARB13304 小鼠磷酸化蛋白激酶C(P-PKC)elisa检测 Mouse phospho protein kinase c,p-pkc ELISA KIT
全血乳酸检测试剂盒(乳酸脱*酶比色法) 50T
1,5二磷酸核酮糖 Benzoresorcinol 14689-84-0
N-(2-乙酰胺基)-2-亚*基二乙酸 dCTP,2Na 26239-55-4
ARB11003 人补体3(C3)含量测试 Human complement 3,c3 ELISA KIT
ARB14053 猴肿瘤坏死因子α(TNF-α)代做ELISA实验
BTN101116 柱式植物油DNAOUT Column Plant Oil DNAOUT
B0401 标准新生牛血清(辐照灭菌)
F030236 HRP标记山羊抗猪IgG抗体 HRP*Polyclonal Goat Anti-Pig IgG
瑞氏-姬姆萨复合染色液 2×100ml|2×500ml
SJ0798 3,5二硝基水杨酸
ARB13564 兔子可溶性血管细胞粘附分子1(sVCAM-1)酶免分析 Rabbit soluble vascuolar cell adhesion molecule 1,svcam-1 ELISA KIT
预染蛋白质Marker(19~117kDa)
吐温60 Sodium decanoate 9005-67-8
头孢噻呋* 3,4-Benzopyrene 104010-37-9
DP205 大量产物纯化试剂盒
ARB12447 大鼠*网蛋白(CRT)含量分析 Rat calreticulin,crt ELISA KIT
ARB12890 小鼠甲状腺素抗体(TAb)Elisa分析 Mouse thyroxine antibody,tab ELISA KIT
双(2-氧代-3-恶唑烷基)次磷酰* Nervonic acid 68641-49-6
游离前列腺特异抗原(fPSA)标准品供应关键词:游离前列腺特异抗原(fPSA),Free Prostate Specific Antigen (f-PSA),BP1943
我公司专业供应高品质 elisa试剂盒,血清,抗体,培养基,标准品,游离前列腺特异抗原(fPSA),生物试剂,实验耗材,公司位于北京市海淀区,是一家专业从事“产品研发生产、市场销*(代"售")、技术服务”为一体的高科技生物技术公司。
·环甲基硅酮6
编号:BP2084
英文名称:Cyclomethicone 6
规格:0.5g/瓶
本品为环甲基硅酮6化学对照品,仅供环甲基硅酮品种含量测定用,使用前不需干燥处理,以(C2H6OSi)6计,含量为99.8%。
CAS号:69340-24-6
分子式:(C2H6OSi)6
分子量:444.6
包装:棕色安瓿瓶
规格:约0.5g/瓶
储存条件:常温保存
·盐*(代"酸")赛庚啶杂质Ⅰ
编号:BP1005
英文名称:Cyproheptadine Hydrochloride ImpurityⅠ 5-(1-methyl-piperidin-4-yl)-5H-dibenzo[a,d]cyclohepten-5-ol
规格:30mg/支
本品为环甲基硅酮6化学对照品,仅供环甲基硅酮品种含量测定用,使用前不需干燥处理,以(C2H6OSi)6计,含量为99.8%。
CAS号:69340-24-6
分子式:(C2H6OSi)6
分子量:444.6
包装:棕色安瓿瓶
规格:约0.5g/瓶
储存条件:常温保存
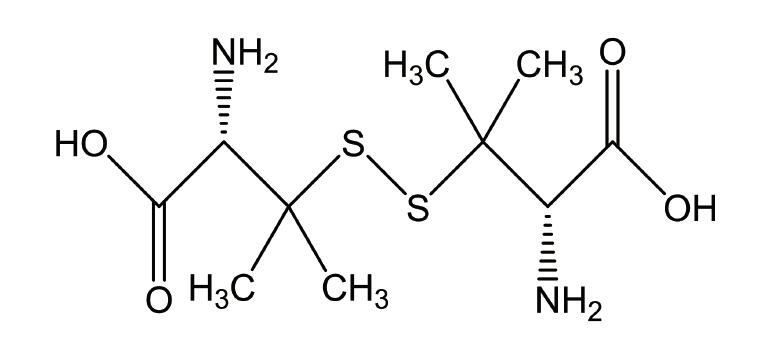
·青霉胺二硫化物
编号:BP1736
英文名称:Penicillamine disufide
规格:30mg/支
本品为青霉胺二硫化物化学对照品,供高效液相含量测定用,含量以青霉胺二硫化物(C10H20N2O4S2)计。
CAS号:20902-45-8
分子式:C10H20N2O4S2
分子量:296.09
结构式:

包装:棕色直口瓶
规格:30mg/支
储存条件:置4℃以下条件低温避光保存。
·恩曲他滨杂质V
编号:BP0940
英文名称:Emtricitabine Impurity V
规格:50mg/支
本品为恩曲他滨杂质V化学对照品,使用前不需干燥处理,供检查用。供HPLC法测定,按CHFNOS计,含量为100%。
CAS号:764659-79-2
分子式:CHFNOS182634
分子量:399.48
结构式:


(恩曲他滨系统适用性溶液色
·苍术素
编号:BP1464
英文名称:Atractylodin
规格:约20mg/支
本品为苍术素化学对照品,供鉴别和含量测定用,含量以99.8%计,使用前不需干燥处理。
CAS号:5529-63-6
分子式:C13H10O
分子量:182.22
结构式:

包装:棕色安瓿
装量:约20mg/支
储存条件:冷冻避光保存
注意事项:本品对热和光照敏感,溶液配制后应尽快进样(高效液相色谱法)或者点样(薄层色谱法)。
游离前列腺特异抗原(fPSA)等试剂产品的使用注意事项:
(1)、所有试剂、溶液以及样品的包装上必须要有标签。标签要完整、清晰,表明试剂的名称、规格、质量。
(2)、溶液除了表明品名外,还应表明浓度、配置日期等。万一标签脱落,应照原样贴牢。决定不允许在容器内装入与标签不相符的物品。
(3)、无标签的试剂必须取小样检定后才可使用。不能使用的化学试剂要慎重处理,不能随意乱倒。为了保证试剂不受污染,应当用清洁的牛角勺或不锈钢小勺从试剂瓶中取出试剂,绝不可以用手抓取。若试剂结块,可用洁净的玻璃棒或瓷药铲将其捣碎后取出。
(4)液体试剂可用洗干净的量筒到取,不要用吸管伸入原试剂中吸取液体。从试剂瓶中取出的、没有用完的声誉药品,不可再倒回原瓶。
我公司生产供应销*(代"售")的标准品对照品正全品类优惠促销,十分期待您的咨询选购游离前列腺特异抗原(fPSA)标准品供应。
风险提示:丁香通仅作为第三方平台,为商家信息发布提供平台空间。用户咨询产品时请注意保护个人信息及财产安全,合理判断,谨慎选购商品,商家和用户对交易行为负责。对于医疗器械类产品,请先查证核实企业经营资质和医疗器械产品注册证情况。
- 作者
- 内容
- 询问日期
文献和实验网络 第三节 结合和游离部分的分离 放射免疫分析时加入的抗原和抗体的量极微,反应所形成的复合物并不能成为肉眼所能辨认的不溶性沉淀物,但是放射免疫分析必须分别测量与抗体结合的(B)和游离的(F)抗原,所以,B、F的分离是放射免疫分析中的一个重要环节 。根据抗原―抗体复合物与游离抗原理化性质或免疫学性质的不同,可采取各种分离技术。 一、对分离
人 游离血栓调节蛋白(sTM) 酶联免疫 分析( ELISA ) 试剂 盒使用说明书 本试剂仅供研究使用 目的:本试剂盒用于测定人血清,血浆及相关液体样本中 游离血栓调节蛋白(sTM) 的 含量。 实验原理 : 本试剂盒应用双抗体夹心法测定 标本 中 人 游离血栓调节蛋白(sTM) 水平。用纯化的 人 游离血栓调节蛋白(sTM) 抗体包被微孔板,制成固相抗体,往包被单抗的微孔中依次加入 游离血栓调节蛋白(sTM), 再与HRP 标记
人游离蛋白S ( FPS )ELISA 试剂盒 ( 用于血清、血浆、细胞培养上清液和生物体液内 ) 原理 本实验采用双抗体夹心 ABC-ELISA 法。用抗人 FPS 单抗包被于酶标板上,标准品和样品中的 FPS与单抗结合,加入生物素化的抗人 FPS ,形成免疫复合物连接在板上,辣根过氧化物酶标记的 Streptavidin 与生物素结合,加入底物工作液显蓝色,最后加终止液硫酸,在 450nm
技术资料暂无技术资料 索取技术资料










