相关产品推荐更多 >
万千商家帮你免费找货
0 人在求购买到急需产品
- 详细信息
- 文献和实验
- 技术资料
- 保存条件:
冷藏
- 保质期:
长期
- 库存:
908
- 供应商:
北京百奥莱博科技有限公司
特别声明:本产品及我公司所售其他产品均为科研类试剂产品,严禁用于药物、医疗及其他非科研用途。
百奥莱博公司致力于为全国科研单位提供药典标准品、对照品、标准溶液、标准样品、对照培养基、国家标准品等可靠标准物质,其中盐*(代"酸")关附甲素标准品销*(代"售")的品质过硬,在广大科研人员中有口皆碑!
名称:盐*(代"酸")关附甲素标准品销*(代"售")
编号:BP0511
产地:国产|进口
规格:50mg
品牌:百奥莱博
除盐*(代"酸")关附甲素标准品销*(代"售")外,我公司正在打折促销以下产品:
·格列美脲杂质Ⅳ
编号:BP0978
英文名称:Glimepiride Impurity Ⅳ 1-[3-[2-(3--Ethyl-4-methyl-2-oxo-3-pyrroline-1-carboxamido)ethyl]phenyl]sulfonyl]-3-(trans-4-methylcyclohexyl)urea
规格:30mg/支
本品为格列美脲杂质Ⅳ化学对照品,使用前不需干燥处理。供HPLC法系统适用性试验用。
CAS号:791104-62-6
分子式:C24H34N4O5S
分子量:490.62
结构式:

包装:棕色西林瓶
规格:约30毫克/支
储存条件:遮光,密闭,2~8℃保存
·*基三乙酸
编号:BP0811
英文名称:Nitrilotriacetic acid
规格:50mg
本品为*基三乙酸化学对照品,化学名为N,N-二(羧甲基)甘*酸,供HPLC法杂质检查用。
CAS号:139-13-9
分子式:C6H9NO6
分子量:191.14
包装及装量:棕色小瓶装,每支约50毫克。
储存条件:遮光,密封保存。
注意事项:使用前不需干燥处理。
·头孢硫脒杂质C
编号:BP1748
英文名称:Cefathiamidine Impurity C
规格:100mg/支
本品为头孢硫脒杂质C化学对照品,供头孢硫脒有关物质测定用,以C12H13N2O6SBr计,含量为97.8%,使用前不需干燥处理。
分子式:C12H13N2O6SBr
分子量:391.97
结构式:

包装:安瓿
规格:约100mg/支
储存条件:置2-8℃遮光保存。
·消旋卡多曲
编号:BP0525
英文名称:Racecadotril
规格:100mg/支
本品为消旋卡多曲化学对照品,使用前不需干燥处理,供IR鉴别、含量测定用。按C21H23NO4S计,含量为99.9%。
CAS号:81110-73-8
分子式:C21H23NO4S
分子量:385.48
结构式:

包装:棕色西林瓶。
规格:100毫克/支。
储存条件:遮光,密封保存。
盐*(代"酸")关附甲素标准品销*(代"售")关键词:盐*(代"酸")关附甲素,BP0511,百奥莱博
盐*(代"酸")关附甲素的纯度及用途:纯度高质含量低,适用于研究和配制标准液; 纯度较高,杂质含量较低,适用于定性和定量分析 重量略低于二级试剂,用途近似二级试剂 化学试剂按纯度由低到高可分为工业纯、实验纯(LR)、化学纯(CP)、分析纯(AR)、优级纯(GR)和超纯等多种规格。
RN3801 "EASYspin Plus 植物RNA快速提取试剂盒
SJ0010 人纤维连接蛋白(Fn)
Gill苏木素染色液(Gill No.2) 100ml|500ml
ARB13830 猪B细胞淋巴瘤因子2(Bcl-2)elisa测定使用说明书 Porcine b-cell leukemia/lymphoma 2,bcl-2 ELISA KIT
BL0645 丁基-琼脂糖凝胶H.P Butyl -Sepharose H.P
miRcute miRNA 提取分离试剂盒
37348-90-4 两性电解质5-7
ARB12220 大鼠血小板衍生生长因子AB(PDGF-AB)Elisa方法检测 Rat platelet-derived growth factor ab,pdgf-ab ELISA KIT
胶原蛋白 Sodium dodecanesulfonate 9007-34-5
ARB10629 人血清总补体(CH50)代做ELISA实验 Human 50% complement hemolysis,ch50 ELISA KIT
CBZ-L-羟脯*酸 AMPSO sodiu*(代"m") salt 13504-85-3
ARB11142 人肿瘤坏死因子可溶性受体Ⅱ(TNFsR-Ⅱ)血清中含量检测 Human tumor necrosis factor soluble receptor Ⅱ,tnfsr-Ⅱ ELISA KIT
DNA非变性加样缓冲液(2×) 5ml
SJ0063 (+)Amethopterin *甲喋呤
BTN80602 柱式凋亡DNAOUT Column Apoptotic DNAOUT
ARB12218 大鼠血小板因子4(PF-4/CXCL4)Elisa定量检测 Rat platelet factor 4,pf-4 ELISA KIT
DL-亮*酸 D-Lysine HCL 328-39-2
盐*(代"酸")关附甲素标准品销*(代"售")关键词:盐*(代"酸")关附甲素,BP0511,百奥莱博
盐*(代"酸")关附甲素现货供应,凡在我公司购买该产品均可享受免费的技术咨询服务,年中降价>>低价格促销:elisa试剂盒,Amrecso原装试剂、抗体、等相关试剂,产品品种齐全,价格优惠。产品质量,服务质量均是一流,您尽可放心购买!
·去羟肌苷
编号:BP1842
英文名称:Didanosine
规格:100mg
本品为去羟肌苷化学对照品,供去羟肌苷含量测定用,含量为99.4%,使用前不需干燥。
分子式:C10H12N4O3
分子量:236.23
包装:棕色小瓶
规格:每瓶约100mg
储存条件:避光,阴凉干燥处保存。
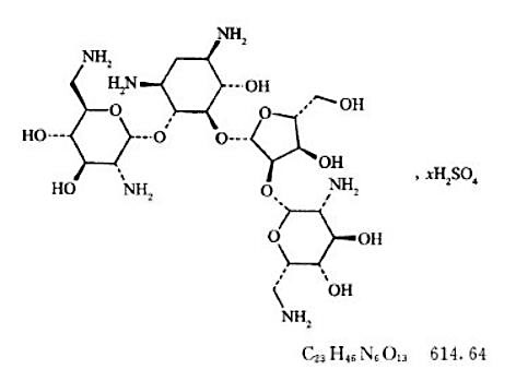
·新霉素
编号:BP1555
英文名称:Neomycin
规格:200mg/支
本品为新霉素标准品,供抗生素微生物效价测定用,含量以新霉素单位计,每毫克相当于652单位,使用前不需干燥处理。
CAS号:1405-10-3
分子式:C23H46N6O13·xH2SO4
结构式:

包装:白色安瓿
规格:约200mg/支
储存条件:2-8℃遮光保存
·罗通定
编号:BP0356
英文名称:Rotundine
规格:50mg
本品为罗通定化学对照品,供含量测定用。80℃减压干燥3小时后使用。
分子式:C21H25NO4
分子量:355.43
CAS号:10097-84-4
包装及装量:西林瓶装,约50mg/支。
储存条件:遮光,密闭保存。
·罗红霉素
编号:BP1573
英文名称:Roxithromycin
规格:200mg
本品为罗红霉素标准品,供效价测定用,使用前不需要干燥处理。
使用方法:精密称取本标准品适量,加乙醇(每5mg罗红霉素约加乙醇1ml)溶解后,用pH7.8磷酸盐缓冲液制成每1ml中约含1000罗红霉素单位的溶液。再以pH7.8磷酸盐缓冲液稀释至所需终浓度。此溶液应当日使用。
储存条件:置4℃以下低温避光保存。
我公司立足北京,辐射全国。随着产品战略的不断延伸,产品理念的不断完善,百奥莱博将逐步成长为一流的生化试剂供应商,并一如既往的为您提供优质的盐*(代"酸")关附甲素和完善的售后服务,与您一起携手整合各自的优势资源,竭尽全力支持您的事业,为中国生命科学的发展贡献一份力量。
我公司正在优惠促销标准品对照品等系列产品,期待您的咨询选购盐*(代"酸")关附甲素标准品销*(代"售")。
风险提示:丁香通仅作为第三方平台,为商家信息发布提供平台空间。用户咨询产品时请注意保护个人信息及财产安全,合理判断,谨慎选购商品,商家和用户对交易行为负责。对于医疗器械类产品,请先查证核实企业经营资质和医疗器械产品注册证情况。
文献和实验大家都知道胆红素检验结果之间的可比性比较差,查了一下资料大体是由下面两方面原因造成的: 标准品问题:胆红素本身不稳定,不易保存,特别是直接胆红素制备困难;由于国内目前没有统一的标准品供应,造成胆红素标准品的标准化问题得不到解决;目前市场上销售的胆红素标准品多为各种胆红素的混合物(或异构体),不适于作为直接胆红素测定的标准物。 直接胆红素测定方法学上的概念模糊:一方面,近来胆红素测定的方法主要有两类,即重氮法和氧化法。据文献报道,重氮法检测了结合胆红素(Bc
: 主要存在两方面的问题: 1)标准品问题:胆红素本身不稳定,不易保存,特别是直接胆红素制备困难;由于国内目前没有统一的标准品供应,造成胆红素标准品的标准化问题得不到解决;目前市场上销售的胆红素标准品多为各种胆红素的混合物(或异构体),不适于作为直接胆红素测定的标准物。 2)直接胆红素测定方法学上的概念模糊:一方面,近来胆红素测定的方法主要有两类,即重氮法和氧化法。据文献报道,重氮法检测了结合胆红素和大部分的δ胆红素,而氧化法检测了结合胆红素,是否包括δ胆红素还是个未知数,尚无
值的变化对检测结果产生很大的影响。 问 为什么临床检验结果之间的可比性较差? 答 主要存在两方面的问题: 标准品问题:胆红素本身不稳定,不易保存,特别是直接胆红素制备困难;由于国内目前没有统一的标准品供应,造成胆红素标准品的标准化问题得不到解决;目前市场上销售的胆红素标准品多为各种胆红素的混合物(或异构体),不适于作为直接胆红素测定的标准物。 直接胆红素测定方法学上的概念模糊:一方面,近来胆红素测定的方法主要有两类,即重氮法和氧
技术资料暂无技术资料 索取技术资料










