相关产品推荐更多 >
万千商家帮你免费找货
0 人在求购买到急需产品
- 详细信息
- 文献和实验
- 技术资料
- 保存条件:
-20℃
- 保质期:
2年
- 英文名:
Potassium clavulanate cellulose
- 库存:
742
- 供应商:
北京百奥莱博科技有限公司
特别声明:本产品及我公司所售其他产品均为科研类试剂产品,严禁用于药物、医疗及其他非科研用途。
β-内酰胺酶抑制剂(Potassium clavulanate cellulose)折扣价由专业试剂供应商北京百奥莱博提供,用于生化科研试验,本产品质量好,且极具价格优势,深为用户称道,了解更多β-内酰胺酶抑制剂(Potassium clavulanate cellulose)等抑制剂激活剂产品请联系我司咨询订购。
名称:β-内酰胺酶抑制剂(Potassium clavulanate cellulose)折扣价
英文名:Potassium clavulanate cellulose
规格:10mg|50mg|100mg|200mg|500mg
编号:M03823
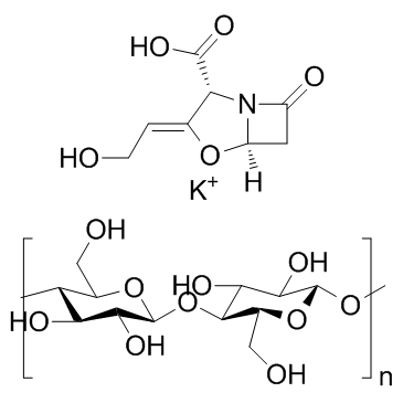
Potassium clavulanate cellulose是克拉维酸*和纤维素的混合物,是一种β-内酰胺酶抑制剂。
注:本品仅可用于科研实验,严禁用于临床医疗及其他用途!
别名:Potassium clavulanate:cellulose (1:1)
分子式:C₈H₉NO₅K .(C₆H₁₀O₅)n
分子量:238.26 (Potassium clavulanate)
结构式:

储存条件:-20℃,有效期2年,溶入溶剂后-20℃请尽量在一个月内使用。
关于β-内酰胺酶抑制剂(Potassium clavulanate cellulose)折扣价的更详细说明,请致电我公司咨询,我们将以最饱满的热情为您提供解答,此外,我公司专业供应下列产品:
ARB12711 大鼠磷酸化乙酰辅酶A羧化酶(pACCAse)elisa检测说明书 Rat phosphorylated acetyl-coa catboxylase,paccase ELISA KIT
ARB13721 兔结合珠蛋白/触珠蛋白(Hpt/HP)代做ELISA实验 Rabbit haptoglobin,hpt/hp ELISA KIT
F030106 HRP标记兔抗牛酪蛋白抗体 Rabbit Anti-casein*HRP
B1101 小牛血清(辐照灭菌) 100ml/200ml/500ml/500ml*20瓶
ARB10137 人PL7抗体/抗苏*酰tRNA合成酶(PL7)elisa检测操作说明书 Human anti-pl7-antibody ELISA KIT
*铝酸* Ara-C 13775-52-5
酵母质粒小提试剂盒
ARB10496 人白介素9(IL-9)elisa测定使用说明书 Human interleukin 9,IL-9 ELISA KIT
ARB14215 鹅α干扰素(IFN-α)检测服务
HC0340 单道雷勃彩色移液器(半彩)
SJ0678 Marker Ⅳ
1-(2-吡*(代"啶")偶氮)-2-*酚 Pyronin Y 85-85-8
ARB12528 大鼠破骨细胞分化因子(ODF)定量分析 Rat osteoclast differentiation factor,odf ELISA KIT
ARB13180 小鼠透明质酸结合蛋白(HABP)Elisa方法检测 Mouse hya]uronate binding protein,habp ELISA KIT
5-*-4-*-3-吲哚-β-D-葡萄糖苷 5′-IDP,3Na 114162-64-0
二硫代草酰* Polyarabinogalactan 79-40-3
葡萄糖溶液(1mol/L,无菌) 100ml
ARB10315 人中性粒细胞防御素1-3(HNP1-3)elisa检测说明书 Human neutrophil Peptide 1-3,hnp1-3 ELISA KIT
PY01-050 牛血清白蛋白 1克
无酶细胞消化液 100ml
143-74-8 *酚红 Phenolsulfonphthalein
CYB162004 兔抗人纤维蛋白原(抗血清) 0.5ml
β-内酰胺酶抑制剂(Potassium clavulanate cellulose)折扣价关键词:β-内酰胺酶抑制剂,Potassium clavulanate:cellulose (1:1),Potassium clavulanate cellulose
DP326 深加工食品DNA提取试剂盒
BL0952 胶体金标记羊抗兔IgG抗体
ARB11205 人组织蛋白酶抗体(CAth Ab)elisa测定使用说明书 Human cathepsin antibodies,cath ab ELISA KIT
ARB14257 猪补体4(C4)Elisa方法检测
CYB161070 人血清IgA(液体)70~80%纯度,4mg/ml浓度
59-30-3 叶酸(维生素B9)Folic acid(Vitamin M)
微量样品基因组DNA提取试剂盒(毛发/血渍/漱口水)
ARB10487 人白介素2可溶性受体α链(IL-2sRα/CD25)含量分析 Human soluble interleukin-2 receptor,IL-2srα ELISA KIT
(不需DNA酶消化)"
戊二醛固定液(4%,电镜专用) 100ml|500ml
F020212 兔抗鸡IgY IgG抗体 Rabbit Anti-Chicken IgY
β-葡萄糖苷酶 Sephadex G-200 9001-22-3
ARB12554 大鼠胱天蛋白酶9(CAsp-9)代做ELISA实验 Rat caspase-9,casp-9 ELISA KIT
ARB13247 小鼠硫氧还蛋白还原酶(TrxR)Elisa定量检测 Mouse thioredoxin reductase,trxr ELISA KIT
ARB11609 人脱氧吡*(代"啶")酚/脱氧吡*(代"啶")啉(DPD)elisa检测操作说明书 Human deoxypyridinoline,dpd ELISA KIT
2-*乙*(代"烷")磺酸* Boc-L-Glutamic acid 15484-44-3
*化*溶液(5mol/L,无菌) 500ml
ARB10306 人巨噬细胞炎性蛋白3α(MIP-3α/CCL20)定量分析 Human macrophage inflammatory protein-3α,mip-3α ELISA KIT
ARB12818 小鼠二肽基肽酶Ⅳ(DPPⅣ)检测服务 Mouse dipeptidyl peptldase Ⅳ,dppⅣ ELISA KIT
ARB10834 人抗补体1q抗体(C1q)含量检测 Human anti-complement 1q antibody,c1q ELISA KIT
β-内酰胺酶抑制剂(Potassium clavulanate cellulose)折扣价关键词:β-内酰胺酶抑制剂,Potassium clavulanate:cellulose (1:1),Potassium clavulanate cellulose
ARB10164 人TH糖蛋白(THP)Elisa定量检测 Human t-h glycoprotein,thp ELISA KIT
鸟苷 5-Fluorouracil 118-00-3
25249-54-1 PVPP 聚乙*(代"烯")聚吡*(代"咯")烷铜
BL1211 改良型石炭酸复红染液(*酚品红染液)
核酸沉淀溶液(焦磷酸*法) 100ml
BFD001 猪瘟病毒抗体检测试剂盒
BL1347 BCIP/NBT显色试剂盒
F030429 胶体金标记兔抗人Ig抗体 Rabbit Anti-Human Ig*GOLD
马尿酰-组*酰-亮*酸 Choline oxidase 207386-83-2
BL0831 HRP标记牛血清白蛋白BSA抗体
ARB12623 大鼠维生素C(VC)Elisa方法检测 Rat vitamin c,vc ELISA KIT
77-06-5 Gibberellic Acid(GA3) 赤霉素
ARB11214 人细胞纤维连接蛋白(cFn)ELISA代测服务 Human cellular fibronectin,cfn ELISA KIT
9005-64-5 Tween-20 吐温-20
BL0237 麦芽提取物 Malt Extract
PY02-333 改良月桂基硫*(代"酸")盐胰蛋白胨(MLST)肉汤基础 250克
TTC染色液 1%|2% 50ml|100ml
ARB10289 人小扁豆素结合型甲胎蛋白/甲胎蛋白异质体2(AFP-L2)尿液中含量检测 Human alpha-fetoprotein lens culinaris agglutⅡn 2,afp-l2 ELISA KIT
F030441 胶体金标记小鼠抗鸡IgY(IgG)抗体 Monoclonal Mouse Anti-Chicken IgY*GOLD
α-乳白蛋白 T4 DNA Ligase 9051-29-0
北京百莱博科技有限公司专业生产抑制剂激活剂产品,欢迎来电咨询选购β-内酰胺酶抑制剂(Potassium clavulanate cellulose)折扣价。
风险提示:丁香通仅作为第三方平台,为商家信息发布提供平台空间。用户咨询产品时请注意保护个人信息及财产安全,合理判断,谨慎选购商品,商家和用户对交易行为负责。对于医疗器械类产品,请先查证核实企业经营资质和医疗器械产品注册证情况。
文献和实验Sci Adv:蒋若天 / 温祥毅揭示钾离子通道参与健康和衰老视网膜视觉信号调控新机制
离子通道(Two-pore-domain potassium channel,K2P)是一类四乙胺(Tetraethylammonium, TEA)非敏感性背景钾离子通道家族,不同亚类 K2P 对不同刺激敏感性不同,多种内源性和外源性的刺激可调控 K2P 通道激活,如:机械刺激 、多不饱和脂肪酸刺激 、酸度 pH 刺激等 10。 双孔酸敏感钾离子通道 3 (Tandem pore domain acid-sensitive K channel 3 ,TASK-3) 是 K2P 众多亚家族中的一类。TASK
1、RNase 是RNA制备的杀手 RNase酶非常稳定,是导致RNA降解最主要的物质。它在一些极端的条件可以暂时失活,但限制因素去除后有迅速复性。用常规的高温高压蒸气灭菌方法和蛋白抑制剂都不能是RNase完全失活。它广泛存在于人的皮肤上,因此,在与RNA制备有关的分子生物学实验时,必须戴手套。RNase的又一污染源是取液器。根据取液器制造商的要求对取液器进行处理。一般情况下采用用DEPC配制的70%乙醇擦洗取液器的内部和外部,基本达到
细胞 形状 的药物,将对红细胞 的变形、聚集、沉降和粘滞产生不利影响。最显著的例子就是血管扩张 剂枸橼酸西替帝尔(cetiedil),在低浓度时改善红细胞 的变形性,而在高浓度时改变细胞 膜 阳离子流动使细胞 肿胀而失去变形能力[3]。 2 其它试验是对流变学测量的补充 利用流变学试验在细胞 水平证明药物的影响是非常重要的,但是其敏感性和专一性很有 限,比如说:阻止Ca2+流入和K+流出镰刀状红细胞 的阳离子通道抑制剂能防止细胞 失水,研究其作用时可先将细胞 脱水后,采用5 μm
技术资料暂无技术资料 索取技术资料










