相关产品推荐更多 >
万千商家帮你免费找货
0 人在求购买到急需产品
- 详细信息
- 文献和实验
- 技术资料
- 保存条件:
-20℃避光干燥
- 保质期:
一年
- 英文名:
DiO (DiOC18(3))
- 库存:
234
- 供应商:
北京百奥莱博科技有限公司
特别声明:本产品及我公司所售其他产品均为科研类试剂产品,严禁用于药物、医疗及其他非科研用途。
北京百奥莱博专注于生命科学和生物技术领域,致力于为客户提供包括SY0560型细胞膜绿色荧光探针现货在内的一系列分子生物学试剂产品,并提供一系列相关的技术服务。
名称:SY0560型细胞膜绿色荧光探针现货
产地:国产|进口
规格:10mg
编号:SY0560
品牌:百奥莱博
DiO是一种亲脂性的荧光染料,可以用来染细胞膜和其它脂溶性生物结构。进入细胞膜后,DiO在整个细胞膜上扩散,最佳浓度时可以使整个细胞膜染色。DiO在进入细胞膜之前荧光非常弱,当与细胞膜结合后其荧光强度大大增强,被激发后可以发出绿色的荧光,具有很高的淬灭常数和激发态寿命。可以用标准的FITC滤光片检测。
DiO通常不会明显影响细胞的生存力,因此被广泛用于正向或逆向的,活的或固定的神经等细胞或组织的示踪剂或长期示踪剂(long-term tracer)。除了最简单的细胞膜荧光标记外,还可以用于检测细胞的融合和粘附,检测发育或移植过程中细胞迁移,通过FRAP(Fluorescence Recovery After Photobleaching)检测脂在细胞膜上的扩散,检测细胞毒性和标记脂蛋白等。
CAS :34215-57-1
分子式:C53H85ClN2O6
分子量:881.72
外观:橘色至红色固体
Ex/Em:484/501 nm
推荐滤光器:XF23-Omega, 31001-Chroma
纯度:>97%
溶解性:溶于DMF,DMSO,甲醇
储存条件:-20℃避光干燥,有效期一年。
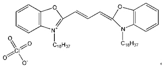
结构式

除SY0560型细胞膜绿色荧光探针现货外,我公司正在打折促销以下产品:
·Oct4-Luc荧光素酶报告基因质粒
编号:SY0096
英文名称:Oct4 luciferase reporter plasmid
规格:1μg
Oct4荧光素酶报告基因(报告基因质粒)(Oct4 luciferase reporter plasimd)是用于检测Oct4转录活性水平为目的的报告基因。Oct4是参与调控胚胎干细胞自我更新和维持其全能性的最为重要的转录因子之一,同时也是体外建立诱导多功能干细胞(iPS)的关键基因。
Oct4报告基因主要用于检测Oct4在细胞中的转录活性、药物研究以及基因过表达和RNAi的表型分析等。
pGMOct4-Lu是我公司改造后的哺乳动物真核表达载体,在其多克隆位点插入了多个Oct4结合位点,可以高灵敏度地检测Oct4的激活水平。同时,对载体中预测出的其它转录因子以外的结合位点进行了适当的突变,增加了质粒的转录因子结合特异性。由于质粒体积减小,使得Oct4报告基因质粒更易于转染。
质粒图谱

注意事项
本质粒未经我公司允许不得用于任何商业用途,也不得移交给订货人实验室以外的任何人或单位。
为了您的健康,实验操作时请穿实验服和带一次性手套。
使用说明
pGMOct4-Lu可以采用常规转染方法转染哺乳动物细胞。用荧光素酶检测试剂盒或双荧光素酶检测试剂盒进行检测。
储存条件:-20℃。
SY0560型细胞膜绿色荧光探针现货关键词:DiO (DiOC18(3)),细胞膜绿色荧光探针,SY0560
PKA缓冲液(10×) 100ml
10043-35-*(代"3") Boric Acid 硼*(代"酸")
E0618 抗凝裂解绵羊血
50-70-4 D-山梨醇 D-Sorbitol
ARB11351 人类似60S核糖体蛋白L21(LOC382344)Elisa定量检测 Human mus musculus similar to 60s ribosomal protein l12,loc382344 ELISA KIT
植物核蛋白/细胞器蛋白提取试剂盒 50T|100T
ARB10633 人血清淀粉样蛋白A3(SAA3)Elisa方法检测 Human serum amyloid a3,saa3 ELISA KIT
BL1339 ECL Plus荧光检测试剂(ECL超敏发光液)
BL1429 20×TBS
抑胃肽酶溶液(Pepstain,1mg/ml) 1ml
ARB12720 大鼠髓鞘碱性蛋白(MBP)Elisa定量检测 Rat myelin basic protein ELISA KIT
核糖核酸酶抑制剂 Tropaeolin O sodiu*(代"m") salt
J0102 猪抗口蹄疫病毒(FMDV)血清 10000ml/25000ml
ARB13009 小鼠抗胰蛋白酶(AT)免费代测 Mouse anti-trypsin,at ELISA KIT
ARB13293 小鼠糖化血红蛋白A1c 代做ELISA实验 Mouse glycated hemoglobin a1c ELISA KIT
偶氮脒类引发剂V30 2-Ketobutyric acid 10288-28-5
四乙基碘化铵 Pyrrolidine dithiocarboxylic acid sodiu*(代"m") salt dihydrate 68-05-3
ARB13083 小鼠降*素基因相关肽(CGRP)尿液中含量检测 Mouse calcitonin gene related Peptide,cgrp ELISA KIT
SY0560型细胞膜绿色荧光探针现货关键词:DiO (DiOC18(3)),细胞膜绿色荧光探针,SY0560
L-*丙*酸乙酯盐*(代"酸")盐 DL-Homophenylalanine 3182-93-2
533-67-5 2-deoxy-D-glucose 2-脱氧-D-核糖
胭脂红指示剂 100ml
BL0905 FITC标记羊抗鸡IgG抗体
Nα-FMOC-Nω-PBF-L-精*酸 BOC-Leu-Gly-Arg?Pna?HC1 154445-77-9
ARB11222 人细胞角蛋白20(CK-20)elisa检测说明书 Human cytokeRatin 20,ck-20 ELISA KIT
SJ0328 GMP Na2 5"-单磷酸鸟苷二*盐水合物
ARB11682 人超敏游离雌三醇(uE3)Elisa定量检测 Human ultra estriol,ue3 ELISA KIT
FAB固定液 500ml
ARB13505 罗氏沼虾诺达病毒(MrNV)酶标法分析 Macrobrachium rosenbergⅡ nodavirus,mrnv ELISA KIT
61-90-5 L-Leucine L-亮*酸
考马斯亮蓝G250 L-Lysine acetate salt 6104-58-1
血液基因组DNA提取试剂盒(柱式法)
ARB13653 兔子瘦素(LEP)酶联免疫定量检测 Rabbit leptin,lep ELISA KIT
ARB12002 大鼠S-100 蛋白含量检测 Rat soluble protein-100,s-100 ELISA KIT
ARB12100 大鼠去甲肾上腺素(NE)elisa测定使用说明书 Rat noradrenaline ELISA KIT
我公司正在优惠促销探针标记及检测等系列产品,期待您的咨询选购SY0560型细胞膜绿色荧光探针现货。
风险提示:丁香通仅作为第三方平台,为商家信息发布提供平台空间。用户咨询产品时请注意保护个人信息及财产安全,合理判断,谨慎选购商品,商家和用户对交易行为负责。对于医疗器械类产品,请先查证核实企业经营资质和医疗器械产品注册证情况。
文献和实验小鼠同一脑区两类细胞的活动不同的神经元类型。6、GCaMP-X:无损伤钙离子探针,可保护依赖于L型钙通道的兴奋-转录耦合免受干扰,同时仍表现出部分GCaMP的优良Ca2+感应特性。二、电压成像(voltage imaging)细胞内钙离子浓度变化和细胞膜电位的变化是细胞活动的两个重要指标,由于钙信号衰减较慢,并不能充分表征神经元的动作电位,而且阈值以下的电压信号完全被忽略,于是科学家们利用细胞膜电位改变作为信号进行荧光成像。1)电压成像技术原理细胞膜电位变化是细胞活动最基本的信号,当膜电位变化时,细胞膜
化荧光结合蛋白结合的荧光素产生蓝光并激发GFP 产生绿色荧光。优点:GFP在多种苛性条件下都很稳定,分子量小,大量表达对细胞没有毒性等特点,使其在现代细胞生物学和分子生物学研究领域的应用具有广泛前景,被喻为十分有用的活分子探针,在基因标记、基因表达控制、转基因的动植物研究、蛋白在细胞中功能的定位及蛋白间相互作用等方面有十分广泛的用途。绿色荧光蛋白在生命科学研究中的应用1 GFP 在建立基因转化技术及在研究基因表达方面的应用GFP 在各种异源细胞中表达后均可检测到荧光的发射, 且对寄主细胞不存在毒性
TMR 543/569 5)Texas Red 德州红 595/615 BODIPY TR592/618 6)PE 藻红蛋白 565/578 7)cy3 490/530 8)cy5 650/690 (1)细胞表面抗原、胞内某种蛋白 免役荧光标记: 与抗体耦联, 直标: 一抗+荧光探针 间标: 二抗+荧光探针 如: 微管蛋白 抗 tublin抗体+荧光探针 肌动蛋白 Palloidine+荧光探针 (2)细胞膜表面受体 配体+荧光探针
技术资料暂无技术资料 索取技术资料









