相关产品推荐更多 >
万千商家帮你免费找货
0 人在求购买到急需产品
- 详细信息
- 文献和实验
- 技术资料
- 保存条件:
避光保存
- 英文名:
S-Butyrylthiocholine iodide
- 库存:
38
- 供应商:
上海机纯实业有限公司
- CAS号:
1866-16-6
- 规格:
5g/1g
| 规格: | 5g | 产品价格: | ¥375.0 |
|---|---|---|---|
| 规格: | 1g | 产品价格: | ¥135.0 |
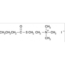
产品名: S-碘化丁酰硫代胆碱 98%
英文名: S-Butyrylthiocholine iodide
CAS号:1866-16-6
分子式:C9H20INOS
分子量:317.23
Beilstein号:3729509
EC号: 217-475-7
MDL号:MFCD00011845
PubChem编号:24891692
属性
溶解性 Soluble in water (50 mg/ml).
敏感性 对光及湿度敏感
存贮条件 储存温度-20°C,充氩保存
熔点 172-176°C
密度 否
荧光 否
IC50 否
pK Values 否
描述
别名 丁基硫代喹啉;S-丁酰基巯乙基碘化三甲基铵;S-正丁酰基硫代碘化胆碱;碘化-S-丁酰硫代胆碱;(2-巯乙基)三化铵丁酸酯 ;(2-Mercaptoethyl)trimethylammonium iodide butyrate;Butyrylthiocholine Iodide;S-Butyrylthiocholine Iodide
产品介绍 S-Butyrylthiocholine Iodide is a chromogenic substrate for AChE(cholinesterases) and BChE(cholinesterases). Cleavage is measured colorimetrically at 405 nm.
用途 A chromogenic substrate for cholinesterases.
S-碘化丁酰硫代胆碱 98%当心以下因素:
n 配置对照品溶液的容器或溶剂被污染
n 高效液相进样阀被污染
n 色谱柱填充物出现断裂等
n 进样器被污染
n 盛放流动相的容器或配置溶剂被污染
S-碘化丁酰硫代胆碱 98%检测流程:
客户提出检测需求→客户提供相关资料→技术人员合同评审→客服人员合同报价→双方签订检测合同→客户提供检测样品→检测人员检测分析→质量人员质量控制→授权人员签发检测报告→客服人员交付客户。
S-碘化丁酰硫代胆碱 98%退换货(包含有质量问题的商品)时,请务必将商品的内带附件、赠品(如有)、保修卡、说明书、发票、检测报告(针对需凭检测报告办理退换货的商品)等随同商品一起退回。
风险提示:丁香通仅作为第三方平台,为商家信息发布提供平台空间。用户咨询产品时请注意保护个人信息及财产安全,合理判断,谨慎选购商品,商家和用户对交易行为负责。对于医疗器械类产品,请先查证核实企业经营资质和医疗器械产品注册证情况。
文献和实验Nature 子刊:确定男性避孕关键基因,敲除后 98% 精子形态异常
的是,缺乏该基因也会引起严重的不育症,导致一种称为少精症的病症。这是人类男性不育症中最常见的情况,显示产生的精子数量减少、活动速度减慢和精子形状扭曲,因此精子无法与卵子融合。 在这项研究中,在雄性小鼠中敲除基因 Arrdc5 后,其产生的精子数量减少了 28%,移动速度比正常小鼠慢了 2.8 倍,大约 98% 的精子头部和中段异常。该结果表明,该基因编码的蛋白质是正常精子生产所必需的。 图片来源:Nature Communications 该研究团队表示,他们已经申请了一项临时专利,用于开发
前列地尔是当今国际上公认的新一代广谱内源性药物,临床用于多种疾病的治疗或辅助用药,我国每年的前列地尔制剂销售额达20亿。前列地尔也叫前列腺素E1,水溶性差,不耐热,对血管有强烈刺激性。前列地尔脂肪乳可以克服粉针剂药物利用度低,副作用大的缺陷。然而,由于前列地尔特殊的理化性质,普通的脂肪乳载药量低,热压灭菌过程中药物会转化为前列腺素A。PC-98T是日本丘比株式会社专为前列地尔而研制出的一款乳化剂,是磷脂酰胆碱含量不少于98%的纯白色粉末状高纯度蛋黄卵磷脂,也是我国有注册批文的纯度最高的蛋黄
1、仪器组成及开机1.1 仪器组成WB-98A型片剂脆碎度测定仪由右鼓(R)、左鼓(L)(也称圆筒)、挡板、显示窗、防脱钮、定位销等组成。1.2 开机使用时接通电源。2、测定操作2.1 接通电源线后,指示灯亮,开启电源开关,同时听到一声鸣响,时间显示4min(04:00)。2.2 如特殊需要,可通过时间设定键调整,每按一次,时间可增加或减少1min。2.3 将待测样品按药典附录规定小心除去片剂表面松散的粉末或颗粒,精密称定。2.4 取下防脱钮,摘下圆筒并打开,放入样品,将圆筒重新安装在转轴
技术资料暂无技术资料 索取技术资料










