相关产品推荐更多 >
万千商家帮你免费找货
0 人在求购买到急需产品
- 详细信息
- 文献和实验
- 技术资料
- 保存条件:
密闭保存
- 保质期:
半年
- 英文名:
Dioctyl Phthalate
- 库存:
10000
- 供应商:
北京华科盛精细化工产品贸易有限公司
- CAS号:
117-81-7
- 规格:
500ml
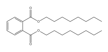
- 中文名
- 邻苯二甲酸二辛酯
- 外文名
- Dioctyl Phthalate
- 别 名
- 1,2-苯二甲酸二辛酯、邻苯二甲酸二辛酯
- 化学式
- C24H38O4
- 分子量
- 390.5561
- CAS登录号
- 117-81-7
- EINECS登录号
- 204-211-0
- 熔 点
- -25 ℃
- 沸 点
- 416.36℃
- 溶解性
- 不溶于水,可混溶于多数有机溶剂。
- 密 度
- 0.985g/cm³
- 外 观
- 无色透明液体
- 闪 点
- 222.29℃
- 应 用
- 用作塑料增塑剂、溶剂、气相色谱固定液
- 安全性描述
- S23;S24/25
- 危险性符号
- R60;R61
- UN危险货物编号
-
3082主要性质
分子结构式:无色透明液体比重0.9861(20/20 )熔点-50 °C [1]沸点 386°C(常压) [1]质量指标: GB11406-89表 邻苯二甲酸二辛酯性能指标项 目 优 级 品 一 级 品外 观 透明、无可见杂质的油状液体色度(铂-钴)号 ≤ 30 40酯含量 % ≥ 99.5 99密度(p20)g/cm3 0.982-0.988 0.982-0.988酸度(以苯二甲酸计)% ≤ 0.01 0.015加热减量% ≤ 0.2 0.3闪点℃ ≥ 195 192热处理后色度(铂-钴)号 ≤ 100 -体积电阻系数 . cm ≥ 1x10″ -电气级DOP:具有通用级DOP的全部性能外,还具有很好的电绝缘性能,主要用于生产电线和电。食品级DOP:主要用于生产食品包装材料。医用级DOP:主要用于生产医疗卫生制品,如一次性医疗器具及医用包装材料等。邻苯二甲基二辛酯标准液
风险提示:丁香通仅作为第三方平台,为商家信息发布提供平台空间。用户咨询产品时请注意保护个人信息及财产安全,合理判断,谨慎选购商品,商家和用户对交易行为负责。对于医疗器械类产品,请先查证核实企业经营资质和医疗器械产品注册证情况。
文献和实验)Hallcomiol M- 二甲基双十八烷基皂士 Bentone34 癸二腈 Sebaconitrile 癸二酸 二(2-乙氧基乙)酯 Bis-(2-ethoxyethyl)Sebacate.BEES 癸二酸二辛酯Dioctyl Sebacate(DOS) 环氧树脂EPON- 已二酸二(2-甲氧基乙)酯 Bis-(2-moethoxyethyl)adipate(bmea) 已二酸二(2-乙氧基乙)酯 Bis-(2-moethoxyethyl)adipate(bmea) 甲基硅氧烷与聚乙醇丁二酸共聚
.................................. Dinonylphthalate(DNP) 邻苯二甲酸二辛酯.................................. Diocyl phthalate(DOP) 邻苯二甲酸二(2-乙基已)酯 ....................Bis(2-ethylthexyl)phthalate 邻苯二甲酸二异癸酯............................ Diisodecyl phthalate(DDP) 磷酸邻三甲苯
据悉,新加坡大陆化学公司日前宣布,计划投资中国广东省将其生物 柴油 装置转产为邻苯二甲酸二辛酯(DOP)装置。 生物 柴油装置中现有生产技术将被替代,成为新的3万吨/年DOP装置生产技术。该生物 柴油装置现从植物油生产非石油基燃料。 该公司新的DOP装置的2-乙基己醇(2-EH)原料现来自于中国供应商。2-乙基己醇与邻苯二甲酸酐是生产DOP的两种原料。
技术资料暂无技术资料 索取技术资料










