相关产品推荐更多 >
万千商家帮你免费找货
0 人在求购买到急需产品
- 详细信息
- 文献和实验
- 技术资料
- 保存条件:
-20℃
- 保质期:
2年
- 英文名:
Gadopentetate dimeglumine
- 库存:
352
- 供应商:
北京百奥莱博科技有限公司
- CAS号:
86050-77-3
特别声明:本产品及我公司所售其他产品均为科研类试剂产品,严禁用于药物、医疗及其他非科研用途。
百奥莱博专业生产供应北京现货Gadopentetate dimeglumine厂家,我公司销*(代"售")高质量、高纯度的生化试剂,同时价格极具竞争力,满心期待您的咨询订购。
名称:北京现货Gadopentetate dimeglumine厂家
品牌:百奥莱博
编号:M08014
英文名:Gadopentetate dimeglumine
规格:1mL(10mM)|10mg|50mg|100mg|200mg|500mg
Gadopentetate dimeglumine(SH-L-451A)用于核磁共振成像(MRI)中,更清晰地看到血管,器官和其他非骨组织。
注:本品仅可用于科研实验,严禁用于临床医疗及其他用途!
CAS号:86050-77-3
别名:SH-L-451A;Gadopentetic acid dimeglumine salt
纯度:99.40%
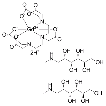
分子式:C₂₈H₅₄GdN₅O₂₀
分子量:938.0
结构式:

储存条件:-20℃,有效期2年,溶入溶剂后-20℃请尽量在一个月内使用。
我公司的北京现货Gadopentetate dimeglumine厂家,性价比高,货期短,送货上门,欢迎您来电咨询购买,另外,我公司还生产供应销*(代"售")下列产品:
聚茴脑磺酸* H-Thr-OMe?HCl 55963-78-5
BL0991 多价胨
BTN130988 EcoR I-Not I-BamH I接头 EcoR I-Not I-BamH I Adaptors
J0308 兔抗大鼠IgG(H+L)抗血清 1ml/10ml
ARB14116 牛过氧化*酶(CAT)Elisa分析
BL0838 羊抗人IgA纯化抗体
利英*克盐 Androsterone 13573-16-5
PY02-369 麦康凯肉汤(USP、EP) 250克
阿特拉津 Ceftriaxone sodiu*(代"m") 1912-24-9
BL0546 PHA-P 植物血球凝集素P
ARB12253 大鼠血管紧张素Ⅱ转化酶(ACEⅡ)含量分析 Rat angiotensin Ⅱ converting enzyme,aceⅡ ELISA KIT
DN0901 中量/大量组织/细胞基因组DNA提取试剂盒
ARB13900 猪血栓调节蛋白(TM)代做ELISA实验 Porcine thrombomodulin,tm ELISA KIT
HC0089 离心管(连盖)
BTN130585 小鼠抗CBP标签单抗 Anti CBP-Tag Mouse Mab
F030636 FITC标记山羊抗猪IgG抗体 Polyclonal Goat Anti-Pig IgG*FITC
北京现货Gadopentetate dimeglumine厂家关键词:Gadopentetic acid dimeglumine salt,SH-L-451A,Gadopentetate dimeglumine
BL1256 50bp DNA Ladder
ARB10501 人白细胞介素10(IL-10)酶联免疫定量检测 Human interleukin 10,IL-10 ELISA KIT
环氧琼脂糖凝胶6B Vitamin A palmitate
BTN90708 即用型高保真PCR试剂盒 Instant HiFi PCR Mix
ARB13570 兔子白介素1(IL-1)代做ELISA实验 Rabbit interleukin 1,IL-1 ELISA KIT
ARB12053 大鼠干扰素诱导蛋白10(IP-10)血清中含量检测 Rat interferon-inducible protein 10,ip-10 ELISA KIT
2,2’-联喹*(代"啉")-4,4’-二羧酸* Trans-zeatin Riboside 979-88-4
ARB12844 小鼠内皮型一氧化*(代"氮")合成酶3(eNOS-3)代做ELISA实验 Mouse endothelial nitric oxide synthase 3,enos-3 ELISA KIT
5-*-6*-3-吲哚-β-D-半乳糖苷 Thymol 93863-88-8
ARB11587 人基质裂解素(ST3)酶标法分析 Human stromelysin-3,st3 ELISA KIT
NF-239 羊抗人IgG荧光抗体
ARB13268 小鼠溶菌酶(LZM)Elisa定量检测 Mouse lysozyme,lzm ELISA KIT
ARB14089 牛白血病(ALV)ELISA检测服务
ARB11079 人肾上腺皮质抗体(ACA)检测服务 Human adrenal cortex antibody,aca ELISA KIT
ARB12331 大鼠角化细胞内分泌因子(KAF)/双调蛋白(AR)elisa检测 Rat keRatinocyte autocrine factor/amphiregulin,kaf/ar ELISA KIT
ARB13596 兔子免疫球蛋白A(IgA)含量分析 Rabbit immunoglobulin a,IgA ELISA KIT
ARB13805 豚鼠转化生长因子β1(TGF-β1)含量检测 Guinea pig transforming growth factor β1,tgf-β1 ELISA KIT
北京现货Gadopentetate dimeglumine厂家关键词:Gadopentetic acid dimeglumine salt,SH-L-451A,Gadopentetate dimeglumine
F030505 FITC标记兔抗牛血清白蛋白抗体 Rabbit Anti-BSA*FITC
肉桂醇 3,5-Dibromo-L-Tyrosine 104-54-1
β-*酚紫 Okadaic acid sodiu*(代"m") salt 7143-21-7
β-丙*酸乙酯盐*(代"酸")盐 Fast Black K Salt 4244-84-2
ARB13510 鱼促肾上腺皮质激素(ACTH)elisa检测说明书 Fish acth ELISA KIT
ARB10451 人生长抑素(SS)酶联免疫定量检测 Human somatostatin,ss ELISA KIT
25952-53-8 乙基二甲基胺丙基碳化二亚胺/1-乙基-(3-二甲基*基丙基)碳二亚胺盐*(代"酸")盐 EDAC
FMOC-L-甲硫*酸 o-Phthalic acid 71989-28-1
ARB12385 大鼠肿瘤坏死因子β(TNF-β)代做ELISA实验 Rat tumor necrosis factor β,tnf-β ELISA KIT
ARB10884 人抗流行性出血热(EHF-Ab)血清中含量检测 Human anti-epidemic hemorrhagic fever virus antibody,ehfab ELISA KIT
E0609 抗凝裂解大牛血(无菌)
BTN130425 *基介质 Pheny Medium
1806-34-4 POPOP 1,4-双(5-*基恶唑)*
F030813 BIOTIN标记兔抗小鼠IgG抗体 Rabbit Anti-Mouse IgG*BIOTIN
ARB13150 小鼠神经肽Y(NP-Y)elisa检测 Mouse neuroPeptide y,np-y ELISA KIT
PY04-017 新鲜番茄汁 5ml×10支 每支添加于95ml改良番茄汁琼脂培养基基础中制成改良番茄汁琼脂培养基,用于乳酸菌菌落总数的测定
L-*甘*酸甲酯盐*(代"酸")盐 Bismuthous oxide 15028-39-4
ARB12188 大鼠白细胞介素5(IL-5)含量测试 Rat interleukin5,IL-5 ELISA KIT
我公司强烈推荐细胞生物学试剂系列产品,热情期待您的咨询选购北京现货Gadopentetate dimeglumine厂家。
风险提示:丁香通仅作为第三方平台,为商家信息发布提供平台空间。用户咨询产品时请注意保护个人信息及财产安全,合理判断,谨慎选购商品,商家和用户对交易行为负责。对于医疗器械类产品,请先查证核实企业经营资质和医疗器械产品注册证情况。
文献和实验当今,盐雾箱厂家的发展趋势无疑就三个字:自动化。面对科技水平,功能的不断提高,智能化日趋明显,仪器独立工作的能力也进入一个新的里程。 盐雾箱厂家与控制系统未来发展的关注点应当是: 1、功能安全 近年�功能安全的重要发展是,大量经过功能安全认证的仪表推向市场。为了争取竞争中有利地位,几乎所有盐雾箱厂家制造商都会开展功能安全的研究。 2、自动化仪表与企业的信息化 自动化仪表技术包括信息采集、处理和应用。“企业信息化”实际上是企业信息的集成和整合。这是
单层敞开式摇瓶机厂家报价? 产品说明: JY-25-54单层敞开式摇床是同类产品中技术较先进和质量完善可靠的产品,造型美观大方,数显测速,转速可任意设定,操作简便,实为生物工程、医药、卫生、微生物学等行业科研和生产使用的理想仪器. 主要特征: 1、精湛的制作工艺,确保机械运转更稳定更可靠。 2、单层敞开式摇床机芯采用优质铸铁和NSK进口轴承使机械更坚固耐用。 3、交流感应长寿命电机、款、宽调速、恒力矩、无碳刷、免保养。 4、独特的电机过热,温度失控自动断电
数显电热鼓风干燥箱 本仪器是厂矿,试验室科研单位用于烘干各种材料的必备仪器,前门带观察孔,内胆采用不锈钢焊接而成,温度数显自控,直观等优点。 主要技术参数: 1、温控范围:50-300℃ 2、温控精度:±1℃ 3、加热器两组(瓦数根据箱子大小而定) 4、工作压力:220V 380V 5、箱内尺寸:各种规格全部生产 北京中诺远东科技有限公司 全国销售热线:4006-828-938 销售传真:010-82893844
技术资料暂无技术资料 索取技术资料










