相关产品推荐更多 >
万千商家帮你免费找货
0 人在求购买到急需产品
- 详细信息
- 文献和实验
- 技术资料
- 保存条件:
-20℃
- 保质期:
2年
- 英文名:
O-Acetylserine
- 库存:
832
- 供应商:
北京百奥莱博科技有限公司
- CAS号:
5147-00-2
特别声明:本产品及我公司所售其他产品均为科研类试剂产品,严禁用于药物、医疗及其他非科研用途。
百奥莱博专业生产销*(代"售")O-Acetylserine厂家价格,我公司是生物试剂、化学试剂专业供应商,立足北京,服务全国的高校、研究所、医院、企业科研部门,欢迎各位老师来电垂询订购。
名称:O-Acetylserine厂家价格
规格:1mL(10mM)|100mg|500mg
产地:国产|进口
编号:M07211
O-Acetylserine(O-Acetyl-L-serine)是细菌和植物中合成常见*基酸半胱*酸的中间体。
注:本品仅可用于科研实验,严禁用于临床医疗及其他用途!
CAS号:5147-00-2
别名:O-Acetyl-L-serine
纯度:98.0%
分子式:C₅H₉NO₄
分子量:147.13
结构式:

储存条件:-20℃,有效期2年,溶入溶剂后-20℃请尽量在一个月内使用。
更多有关O-Acetylserine厂家价格的价格及使用说明等,请联系我们的业务经理王欣女士咨询,我公司还销*(代"售")以下产品:
·泽泻醇B醋酸酯(Alisol-B23-acetate)
编号:M07607
英文名称:Alisol B 23-acetate
规格:1mL(10mM)|10mg|50mg
泽泻醇B醋酸酯(Alisol-B23-acetate)是一种三萜类化合物,能够通过激活法尼醇受体促进受损的肝脏再生。
注:本品仅可用于科研实验,严禁用于临床医疗及其他用途!
CAS号:26575-95-1
别名:23-Acetylalismol B;23-O-Acetylalisol B;Alisol B monoacetate
分子式:C₃₂H₅₀O₅
分子量:514.74
结构式:

储存条件:-20℃,有效期2年,溶入溶剂后-20℃请尽量在一个月内使用。
O-Acetylserine厂家价格关键词:5147-00-2,O-Acetylserine,O-Acetyl-L-serine
·JNK激酶抑制剂(IQ-1S free acid)
编号:M04032
英文名称:IQ-1S free acid
规格:1mL(10mM)|5mg|10mg|25mg|50mg|100mg
IQ-1S(free acid)是JNK激酶的抑制剂,特别是JNK3.对于JNK1,2和3,Kd值分别是390,360和87nM.
注:本品仅可用于科研实验,严禁用于临床医疗及其他用途!
CAS号:23146-22-7
分子式:C₁₅H₉N₃O
分子量:247.25
结构式:

储存条件:-20℃,有效期2年,溶入溶剂后-20℃请尽量在一个月内使用。
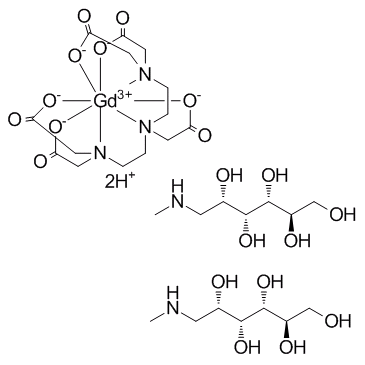
·Gadopentetate dimeglumine
编号:M08014
英文名称:Gadopentetate dimeglumine
规格:1mL(10mM)|10mg|50mg|100mg|200mg|500mg
Gadopentetate dimeglumine(SH-L-451A)用于核磁共振成像(MRI)中,更清晰地看到血管,器官和其他非骨组织。
注:本品仅可用于科研实验,严禁用于临床医疗及其他用途!
CAS号:86050-77-3
别名:SH-L-451A;Gadopentetic acid dimeglumine salt
纯度:99.40%
分子式:C₂₈H₅₄GdN₅O₂₀
分子量:938.0
结构式:

储存条件:-20℃,有效期2年,溶入溶剂后-20℃请尽量在一个月内使用。
O-Acetylserine厂家价格关键词:5147-00-2,O-Acetylserine,O-Acetyl-L-serine
HC0253 多道可调移液器整支可消毒系列
ARB11861 人糖连抗原199(CA199)尿液中含量检测 Human ca199 ELISA KIT
BTN130808 显影粉 Developing Solution,Powder
PY01-121 酸性蛋白酶(1:50000) 250克
ARB11435 人热休克蛋白糖蛋白96(HSP gp96)ELISA检测服务 Human heat shock protein glycoprotein 96,hsp gp96 ELISA KIT
ARB12700 大鼠糖皮质激素受体α(GR-α)酶免分析 Rat glucocorticoid receptor-α,gr-α ELISA KIT
BL1170 通用基因组DNA提取试剂盒
BL0852 兔抗大鼠IgG纯化抗体
F020202 山羊抗小鼠IgG1抗体 Goat Anti-Mouse IgG1
ARB10166 人Toll样受体9(TLR-9/CD289)elisa检测操作说明书 Human toll-like receptor 9,tlr-9 ELISA KIT
L-苏*酸甲酯盐*(代"酸")盐 Estradiol 39994-75-7
B0101 胎牛血清(辐照灭菌) 100ml/200ml/500ml/500ml*20瓶
北京百莱博科技有限公司是细胞生物学试剂产品的专业生产供应销*(代"售")商,恭候您的咨询选购O-Acetylserine厂家价格。
风险提示:丁香通仅作为第三方平台,为商家信息发布提供平台空间。用户咨询产品时请注意保护个人信息及财产安全,合理判断,谨慎选购商品,商家和用户对交易行为负责。对于医疗器械类产品,请先查证核实企业经营资质和医疗器械产品注册证情况。
文献和实验1、【仪器名称】:台式动物麻醉机。 2、【仪器型号】:50260。 3、【生产厂家】:美国。 4、【检测适用范围】:仅用于小型啮齿类动物麻醉。 5、【仪器使用优点、缺点】: 50260 VMC三氟氯溴乙烷气体麻醉机包括氧气和N 2 O气流表,流速1~
,1cm光程) ≤ 0.001 0.01 --- 蒸发残渣105O±2C O), mg/L --- ≤ 1.0 2.0 可溶性硅(以SiO2计) mg/L
连续变倍。价格多少的可用?goooogle:德国莱卡有一款才8100块人民币,投射光反射光都有,体积也小巧,可以放在无菌台里操作。4~40倍放大。小卫:我的一台荧光显微镜(带CCD的),最近拍片老是看上去有脏东西,刚开始以为是目镜,但擦过还是没用,后来发现是CCD上脏了。我采用了很多种方法擦洗好象都擦不了,不知道怎么办。有没有好的解决方法呀?中国龙之心:镜片模糊可以用二甲苯处理。topgun99:常规处理显微镜可以用二甲苯,但荧光显微镜(CCD)最好谨慎些,具体的方法应该咨询生产厂家。cornea
技术资料暂无技术资料 索取技术资料










