万千商家帮你免费找货
0 人在求购买到急需产品
- 详细信息
- 询价记录
- 文献和实验
- 技术资料
- 保存条件:
低温运输、-20℃保存
- 保质期:
一年
- 英文名:
Cy5-dCTP Solution
- 库存:
大量
- 供应商:
联迈生物
- 规格:
25 μL
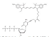
Cy5-dCTP溶液,10mM分子结构

本产品是浓度为10 mM的 Cy5-dCTP的溶液。可在各种DNA聚合酶作用下掺入到新合成的DNA产物中。
Cy5-dCTP溶液,10mM低温运输和-20℃保存、有效期一年。
风险提示:丁香通仅作为第三方平台,为商家信息发布提供平台空间。用户咨询产品时请注意保护个人信息及财产安全,合理判断,谨慎选购商品,商家和用户对交易行为负责。对于医疗器械类产品,请先查证核实企业经营资质和医疗器械产品注册证情况。
- 作者
- 内容
- 询问日期
文献和实验ORNL MICROARRAY HYBRIDIZATION PROTOCOLS
for 10min Immediately neutralize the mix with 5ml of 1M Tris-HCl, pH= 7.5 ・ If only using single label, add 38.5ml of 10mM Tris-HCl, pH=8.0, 1mM EDTA (Volume = 67ml) ・ For dual labels, combine the Cy3 with the Cy5 (Volume = 57ul). Then rinse Cy
RNA FISH on cultured cells in interphase
of the probes into DNA fragments - cy3 or cy5 probe This protocol is based on and uses the reagents from Prime-It II Random Primer Labeling Kit (Stratagene) and cy3 or cy5-dCTP from Amersham Biosciences. Denature 1µg DNA in 23µl H2 O at 95°C
Amplification and Labelling with Cy dyes
mix 1 (for 2 reactions): 2ml 5X T7 Sequenase buffer 3ml 10mM dNTP mix 1.5ml 0.1M DTT 3ml 500mg/ml BSA 0.6ml 13U/ml T7 Sequenase Reaction mix 2 (for 2 reactions): 1.4ml Sequenase dilution buffer 0.6ml 13U/ml T7 Sequenase Program themalcycler
技术资料暂无技术资料 索取技术资料






