万千商家帮你免费找货
0 人在求购买到急需产品
- 详细信息
- 文献和实验
- 技术资料
- 保存条件:
低温
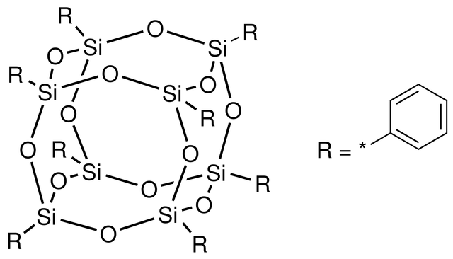
- 英文名:
Phenyl-POSS
- 库存:
20
- 供应商:
上海机纯实业有限公司
- CAS号:
5256-79-1
- 规格:
25g
英文名:Phenyl-POSS
别名: 苯基-POSS ;八苯基-POSS
CAS号: 5256-79-1
分子式: C48H40O12Si8
分子量: 1033.51
MDL: MFCD00308870
介绍: 溶于四氢呋喃(THF).
熔点: >350℃
比重: 1.35
储存条件: Store under inert gas.
用途: 杂化纳米硅烷添加剂.
苯基-POSS感谢您一直以来对我们公司的信任,我们也将会以的质量,优惠的价格回报您,跟您报价都是当前市场的价格,如果后期价格上涨,请您谅解,为了节约采购成本,在现有库存的情况下,您可以选择多备一些货,产品很走俏,一个价格,希望您能够理解!
风险提示:丁香通仅作为第三方平台,为商家信息发布提供平台空间。用户咨询产品时请注意保护个人信息及财产安全,合理判断,谨慎选购商品,商家和用户对交易行为负责。对于医疗器械类产品,请先查证核实企业经营资质和医疗器械产品注册证情况。
文献和实验苯环连有三个直链碳的苯基丙烷骨架(C6 — C— C— C)所构成的天然有机化合物之总称。多数是以植物代谢产物而被发现的。在高等植物体内,主要是靠由苯丙氨酸解氨酶形成的桂皮酸合成其衍生物,进而再合成香豆素类等各种类苯基丙烷,木聚糖是苯基丙烷骨架的二聚体,木质素是由许多木聚糖不规则地聚合成的高分子化合物。类苯基丙烷也作为缩酚酸类( depside,如绿原酸等)和配糖体广泛分布于植物组织中。
一、原理氯化三苯基四氮唑(TTC)是标准氧化还原电位为80mV的氧化还原物质,溶于水中成为无色溶液,但还原后即生成红色而不溶于水的三苯基甲 (TTF),如下式: 生成的TTF比较稳定,不会被空气中的氧自动氧化,所以TTC被广泛地用作酶试验的氢受体,植物根所引起的TTC还原,可因加入琥珀酸、延胡索酸、苹果酸得到增强,而被丙二酸、碘乙酸所抑制。所以TTC还原量能表示脱氢酶活性,并作为根系活力的指标。二、仪器与用具分光光度计;分析天平(感量0.1mg);恒温箱1台;研钵1套;100ml三角瓶;漏斗
C15 H12 O。苯叉乙酞苯生物有紫铆因( bu-tein, 3, 4, 2′, 4-四氢苯基苯乙烯酮,在菊科植物黄色大丽花和波斯菊等花中含糖苷的黄色色素)、红花素( carthamone,在菊科的红色花冠的红色色素中,旧称 carthamin)等植物的色素,总称苯基苯乙烯酮类。据认为苯基苯乙烯酮的骨架结构是黄烷酮、黄酮、花色素等的结构原型,化学上有密切关系。它们均具有 C6-C3- C6的碳架、总称为类黄酮。根据示踪实验证明,苯基苯乙烯酮类是由类苯丙酸与 3分子的乙酸
技术资料暂无技术资料 索取技术资料










