相关产品推荐更多 >
万千商家帮你免费找货
0 人在求购买到急需产品
- 详细信息
- 文献和实验
- 技术资料
- 保存条件:
常温运输
- 保质期:
一年
- 英文名:
p-nitrophenyl phosphate,disodium salt
- 库存:
804
- 供应商:
北京百奥莱博科技有限公司
特别声明:本产品及我公司所售其他产品均为科研类试剂产品,严禁用于药物、医疗及其他非科研用途。
BTN131116型pNPP干粉价格由专业试剂供应商北京百奥莱博提供,用于生化科研试验,本产品质量好,且极具价格优势,深为用户称道,了解更多pNPP干粉等蛋白质研究产品请联系我司咨询订购。
名称:BTN131116型pNPP干粉价格
产地:国产|进口
编号:BTN131116
品牌:百奥莱博
规格:1g
pNPP在ELISA应用中作为检测碱性磷酸酶的底物而被广泛使用。当碱性磷酸酶与PNPP反应后,形成黄色水溶性反应产物。该产物在405nm有光吸收,并可使用传统方法终止反应。其反应原理如下:

储存条件:常温运输,避光保存,有效期一年。
欲咨询购买BTN131116型pNPP干粉价格,请致电北京百奥莱博科技有限公司,为您提供最全面周到的产品服务,除此之外,我公司正在促销以下产品:
·DNA marker(300-10000bp)
编号:BTN70503Z
英文名称:DNA ladder(300-10000bp)
规格:50次
本系列产品用作凝胶电泳中双链线状DNA的分子量大小参照。它们是由一系列大小不同的单一DNA片段混合组成。成分中已经含有上样缓冲液,所以可以直接上样电泳。得到的电泳条带长度准确,明亮清晰,背景较低,稳定性很好。每次加样量为5μL,可用于相对定量。本系列产品与各种琼脂糖和各种电泳缓冲液兼容。
储存条件:低温运输、-20℃保存,有效期一年。
使用方法:直接上样电泳,每次加样量为5μL。
使用效果:

注:2000bp条带为20ng/uL,其余每条带为10ng/uL
疑难解答:
a)如对带型要求较高,建议使用0.8-1.5%琼脂糖凝胶(对SuperBuffer-2缓冲液,电压为250-400V)或1.5-2.0%琼脂糖凝胶(对TAE或TBE缓冲液,电压为80V),同时适当延长电泳时间。
b)电泳图象的质量与琼脂糖、电泳缓冲液有关。请采用高质量的琼脂糖,同时要经常更换电泳缓冲液。
c)本产品条带均匀,亮度相当,但在EB胶中长时间电泳有可能会出现250bp以下的条带变淡。可以通过先电泳再染色,加大EB浓度等方法解决。
BTN131116型pNPP干粉价格关键词:pNPP干粉,BTN131116,p-nitrophenyl phosphate,disodiu*(代"m") salt
·Afu尿嘧啶-DNA糖基化酶
编号:BTN130648
英文名称:Afu Uracil-DNA Glycosylase
规格:200U
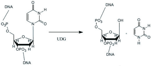
Afu尿嘧啶-DNA糖基化酶(Afu UDG)是E.coli尿嘧啶-DNA糖基化酶(UDG)热稳定的同源蛋白,来源于闪烁古生球菌。该酶从含尿嘧啶的DNA上催化释放尿嘧啶,能有效地水解双链和单链DNA上的尿嘧啶。其反应示意图如下:

产品特点:
1.热稳定;
2.从双链或单链DNA上切下尿嘧啶。
储存条件:低温运输,-20℃保存,有效期一年。
活性定义:1单位指每分钟从含尿嘧啶双链DNA上催化释放60pmol尿嘧啶所需要的酶量。
BTN131116型pNPP干粉价格关键词:pNPP干粉,BTN131116,p-nitrophenyl phosphate,disodiu*(代"m") salt
·cDNA第一链合成试剂盒(逆转录试剂盒)(RT试剂盒)
编号:BTN60906
英文名称:1st-Strand cDNA Synthesis Kit
规格:50次
本试剂盒提供合成cDNA第一链所需要的全部试剂。其原理是用突变的莫洛尼氏鼠白血病病毒反转录酶(M-MuLV RT)高效合成mRNA的全长cDNA拷贝。
产品特点:
1. 使用突变的反转录酶,内源RNase H活性低。
2. 最长可合成13Kb的cDNA。
3.可以使用oligo-dT、随机引物和RNA 专一性引物三种引物(前两种本试剂盒提供)。
4. 总RNA、poly(A)+RNA或特殊RNA 均可作为模板。
5.可用于cDNA文库构建、RT-PCR、探针标记等。
试剂盒组成:
| 成分 | 规格 |
| MMLV(含RI) | 100μl |
| RT Buffer(含dNTP) | 300μl |
| Oligo(dT)18引物(0.5μg/μL) | 50μl |
| Random Primer(0.2μg/μL) | 50μl |
| RNase-free水 | 1ml |
| 说明书 | 1份 |
储存条件:低温运输,-20℃保存,有效期一年。
使用方法:
一:合成PCR用的1st-strand cDNA
1. 按下表配制RT反应体系:
| RNA 模板 | |
| 总RNA | 100-500ng |
| 或poly(A)mRNA | 10-500ng |
| 或专一的RNA | 0.01pg-500ng |
| 注意:RNA样品不能含有基因组DNA污染。 | |
引物
| Oligo(dT)18(0.5μg/μL) | 1μl |
| 或随机引物(0.2μg/μL) | 1μl |
| 或RNA 模板专一性引物 | 15-20 pmol |
| 注意:随机引物与RNA 模板的比例跟cDNA 合成的平均长度成反比。 | |
| RNase-free水 | 补水到13μL |
2. 70℃保温5分钟后立即冰浴。
3. 再加入5μl RT Buffer(含dNTP)。
4. 37℃保温5分钟。对富含二级结构的高GC RNA 模板,可以改成45℃保温5分钟。如果使用随机引物,则改成25℃ 5分钟。
5. 加入2μL MMLV逆转录酶(含RI),反应终体积为20μL。
6. 42℃保温60分钟(但如果使用随机引物,需要先25℃保温10分钟,然后再转移到42℃保温60分钟)。此步为RT反应。
7. 70℃保温10分钟以终止反应,然后放置在冰上待用。合成的cDNA可以直接作为PCR 模板使用,不需要纯化。
二:合成建文库用的1st-strand cDNA
1. 按下表配制RT反应体系:
| RNA模板 | |
| poly(A)mRNA | 1μg |
| 或专一的RNA | 0.5-1μg |
| 注意:RNA样品不能含有基因组DNA污染。 | |
| 引物 | |
| Oligo(dT)18(0.5μg/μL) | 1μl |
| 或随机引物(0.2μg/μL) | 1μl |
| 或RNA模板专一性引物 | 100 pmol |
| 注意:随机引物于RNA模板的比例跟cDNA合成的平均长度成反比。 | |
| RNase-free水 | 补水到13μL |
2. 70℃保温5分钟后立即冰浴。
3. 再加入5μl RT Buffer(含dNTP)。
4. 37℃保温5分钟。对富含二级结构的高GC RNA模板,可以改成45℃保温5分钟。如果使用随机引物,则改成25℃ 5分钟)。
5. 加入2μl MMLV逆转录酶(含RI),反应终体积为20μL。
6. 42℃保温60分钟(但如果使用随机引物,需要先25℃保温10分钟,然后再转移到42℃保温60分钟)。此步为RT反应。
7. 70℃保温10分钟以终止反应,放置在冰上待用。合成的cDNA可以用于第二链cDNA的合成或放置在-20℃长期保存。
三:用对照模板合成cDNA(需要用同位素,需要对照的客户需要单独跟我司联系)
1. 按下表配制RT反应体系:
| 对照RNA模板(0.5μg/μL) | 2μl 引物 |
|
| Oligo(dT)18(0.5μg/μL) | 1μl | |
| 或随机引物(0.2μg/μL) | 1μl | |
| 或对照专用引物 | 2μl | |
| RNase-free水 | 补水到13μl |
2. 70℃保温5分钟后立即冰浴。
3. 再加入5μL RT Buffer(含标记dNTP,本试剂不提供)。
4. 37℃保温5分钟。如果使用随机引物,则保温温度只能是25℃。
5. 加入2μL MMLV 逆转录酶(含RI),反应终体积为20μL。
6. 42℃保温60分钟(但如果使用随机引物,需要先25℃保温10分钟,然后再转移到42℃保温60分钟)。
7. 加1μL 0.5M EDTA,放置在冰上待用。
8.电泳检测。合成的cDNA的量一般有加入RNA总量的50%以上,电泳一般能出现1.1Kb的片段(如果使用随机引物,将出现多个小片段)。
我公司正在火爆促销蛋白质研究系列产品,欢迎您的垂询选购BTN131116型pNPP干粉价格。
风险提示:丁香通仅作为第三方平台,为商家信息发布提供平台空间。用户咨询产品时请注意保护个人信息及财产安全,合理判断,谨慎选购商品,商家和用户对交易行为负责。对于医疗器械类产品,请先查证核实企业经营资质和医疗器械产品注册证情况。
文献和实验/bbs/post/view?bid=65&id=5010726&sty=1&tpg=21&age=0 [求助]如何用pnpp检测磷酸酶活性? 查过一些文献还是不很清楚 http://www.dxy.cn/bbs/post/view?bid=65&id=5014135&sty=1&tpg=20&age=0 [求助]关于荧光蛋白的体外检测 我有一个蛋白与荧光蛋白在酵母中融合表达,分泌在上清液中。我想请问各位高手,能不能有什么简单易行的方法可以检测该蛋白的存在?(比如说用荧
技术资料暂无技术资料 索取技术资料









