相关产品推荐更多 >
万千商家帮你免费找货
0 人在求购买到急需产品
- 详细信息
- 文献和实验
- 技术资料
- 保存条件:
干冰运输、-80℃保存
- 保质期:
长期
- 英文名:
E.coli OrigamiB(DE3) Chemical Competent Cell
- 库存:
879
- 供应商:
北京百奥莱博科技有限公司
特别声明:本产品及我公司所售其他产品均为科研类试剂产品,严禁用于药物、医疗及其他非科研用途。
百奥莱博专业生产供应大肠杆菌OrigamiB(DE3)化学感受态细胞特价优惠,我公司销*(代"售")全品类的分子生物学试剂,价格优惠,欢迎广大科研工作者垂询订购。
名称:大肠杆菌OrigamiB(DE3)化学感受态细胞特价优惠
编号:BTN120520
产地:国产|进口
英文名:E.coli OrigamiB(DE3) Chemical Competent Cell
品牌:百奥莱博
规格:10*100μl
本产品是采用大肠杆菌Origami B(DE3)菌株经特殊工艺处理得到的感受态细胞,可用于DNA的化学转化。使用pUC19质粒检测本产品,转化效率可达107。本感受态细胞具有卡那霉素和四环素抗性。
菌株基因型为:F-ompT hsdSB(rB- mB-)gal dcm lacY1 ahpC(DE3)gor522::Tn10trxB(KanR,TetR)。
储存条件:干冰运输、-80℃保存,有效期半年。
自备试剂:目的DNA、SOC或LB培养基等。
使用方法:
1. 取感受态细胞置于冰浴中。一次转化感受态细胞的建议用量为50-100μL,根据实际情况分装使用。
以下实验以50μL感受态细胞为例。
2. 待感受态细胞融化后,向感受态细胞悬液中加入目的DNA(根据实际情况加入适量的DNA,通常100μl感受态细胞能够被1 ng超螺旋质粒DNA 所饱和),用移液器轻轻吹打混匀,冰浴30分钟。
3. 42℃热击45秒,迅速将离心管转移到冰浴中,冰上静置2-3分钟。
4. 每个离心管中加入450μl 无菌的SOC或LB培养基(不含抗生素),混匀后置于37℃摇床,150rpm 振荡培养45分钟使菌体复苏。
5. 根据实验需求,取适量已转化的感受态细胞,加到含相应抗生素的SOC或LB 固体琼脂培养基上,用无菌的涂布棒将细胞均匀涂开,将平板置于37℃直至液体被吸收,倒置培养,37℃培养12-16小时。
注意事项:
1. 涂布用量可根据具体实验调整。若转化的DNA 总量较多,可取少量转化产物涂布平板;若转化的DNA 总量较少,可取200-300μl转化产物涂布平板。若预计的克隆数较少,可通过离心(4,000rpm,2分钟)后吸除部分培养液,悬浮菌体后将其涂布于平板中。
2. 新制备的固体培养基不易涂干,可将平板正置于37℃直至液体被吸收后再倒置培养。
3. 涂布剩余的菌液可置于4℃保存,如果次日的转化菌落数过少,可以将剩下的菌液再涂布新培养基进行培养。
欲咨询购买大肠杆菌OrigamiB(DE3)化学感受态细胞特价优惠,请致电北京百奥莱博科技有限公司,为您提供最全面周到的产品服务,除此之外,我公司正在促销以下产品:
·电泳级Tricine干粉
编号:BTN90311
英文名称:Tricine,EG Powder
规格:100g
本产品是电泳级的Tricine,即三(羟甲基)甲基甘*酸,主要用于多肽电泳时替代SDS-PAGE中的Glycine,故又叫Tricine-SDS-PAGE电泳。主要用于配制电泳液。

储存条件:常温运输和保存,有效期两年。
·Zetterqvist固定液
编号:BTN131280
英文名称:Zetterqvist Fixative Solution
规格:250mL
本产品为常用固定液,主要成分为巴比*(代"妥")*、乙酸*等。此固定液是活检及动物实验较好的固定液,固定效果较单纯甲醛更好。固定时间一般15分钟-1小时为宜。
储存条件:常温运输和保存,有效期一年。
·柱式水样DNA提取试剂盒
编号:BTN101112
英文名称:Liquid sample DNA column extraction kit
规格:50次
本产品为常用固定液,主要成分为巴比*(代"妥")*、乙酸*等。此固定液是活检及动物实验较好的固定液,固定效果较单纯甲醛更好。固定时间一般15分钟-1小时为宜。
储存条件:常温运输和保存,有效期一年。
·T7核酸外切酶
编号:BTN130632
英文名称:T7 Exonulease
规格:1000U
本产品作用于双链DNA,沿 5´→3´方向催化去除 5´单核苷酸,它既能从5´末端起始消化,也能从双链DNA的切刻或缺口处起始消化。它既能降解 5´磷酸化 DNA 也能降解 5´去磷酸化DNA。据报道,它能沿 5´→3´方向降解RNA/DNA杂交双链上的RNA或DNA,但不能降解双链或单链RNA。该酶纯化自含TYB12内含肽融合子的E.coli菌株。
产品特点:
1.5´→3´核酸外切酶活性。
2.切下DNA的5´单核苷酸。
产品组成:
| 成分 | 规格 |
| T7核酸外切酶(10U/μL) | 1000U |
| 10×反应Buffer | 1ml |
| 说明书 | 1份 |
储存条件:低温运输,-20℃保存,有效期一年。
活性定义:1单位指在50μL反应体系中,25℃条件下,30分钟内能从双链DNA底物上催化产生1nmol的酸溶性脱氧核糖核苷酸所需要的酶量。
大肠杆菌OrigamiB(DE3)化学感受态细胞特价优惠关键词:E.coli OrigamiB(DE3) Chemical Competent Cell,大肠杆菌OrigamiB,BTN120520,大肠杆菌OrigamiB(DE3)化学感受态细胞
·平末端DNA加A试剂盒
编号:BTN60105
英文名称:dA Tailing Kit
规格:50次
本产品利用Taq DNA polymerase的不依赖于模板的末端转移酶活性,在只有dATP 存在的情况下,在平末端的DNA片段加上一个dA 尾巴,使平末端片段也能被T载体克隆。其流程图如下:
产品特点:
1. 简单,2×Tailing Buffer中含有所需要的所有成分,不需要单独准备。
2.适用于任何平末端的DNA片段,包括Pfu DNA polymerase等酶合成的DNA片段。
3.产物可以直接用于与T载体的连接。
试剂盒组成:
| 成分 | 规格 |
| Taq DNA polymerase(5U/μL) | 50μl |
| 2×Tailing Buffer | 1.25ml |
| 说明书 | 1份 |
储存条件:低温运输,-20℃保存,有效期一年。
使用方法:
一:反应前纯化处理:
用Vent,Deep Vent,Pfu,Pwo等具有3 到5外切活性的DNA聚合酶扩增得到的DNA片段,必须经过彻底的去除残留的酶的处理过程(如酚/*仿抽提或Proteinase K处理),否则它们将在加A反应时,切除掉加上的A尾巴,干扰反应。可以采取胶回收和酚/*仿抽提法等常规方法纯化,最后溶解在水或TE中,终浓度以0.1μg/μL为宜。
二:加A反应
在干净的0.5mL或1.5mL离心管中,分别加入下列成分:
| 回收的DNA片段 | 0.2-2ug |
| 2×dA Tailing Buffer | 25μL |
| Taq DNA polymerase(5U/μL) | 1μL |
| 补水到 | 50μL |
| 72℃保温2小时 | |
三:反应后处理
加A反应后,Taq DNA pol
大肠杆菌OrigamiB(DE3)化学感受态细胞特价优惠关键词:E.coli OrigamiB(DE3) Chemical Competent Cell,大肠杆菌OrigamiB,BTN120520,大肠杆菌OrigamiB(DE3)化学感受态细胞
·通用洗柱液
编号:BTN60408
规格:250mL
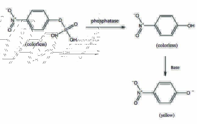
·pNPP干粉
编号:BTN131116
英文名称:p-nitrophenyl phosphate,disodiu*(代"m") salt
规格:1g
pNPP在ELISA应用中作为检测碱性磷酸酶的底物而被广泛使用。当碱性磷酸酶与PNPP反应后,形成黄色水溶性反应产物。该产物在405nm有光吸收,并可使用传统方法终止反应。其反应原理如下:
储存条件:常温运输,避光保存,有效期一年。
·生物素化山羊抗亲和素
编号:BTN131103
英文名称:Biotin Goat Anti Avidin Antibody
规格:0.5mg
本产品为生物素标记的山羊抗亲和素抗体,通过抗原表位或生物素结合位点与亲和素结合。本产品可以用来放大荧光信号。也是组织染色或细胞分选分析应用的理想选择。
储存条件:低温运输,-20℃保存,有效期一年。
·PCR污染清除剂
编号:BTN140648
英文名称:DNA Contamination Scavenger
规格:250mL
微量核酸污染导致的PCR假阳性是广大实验者最头痛的问题之一。为解决此难题,本公司开发了本款PCR污染清除剂,本产品无毒、无腐蚀性,可将裸露的核酸完全降解至无法作为扩增模板的小片段,且无法恢复,从而彻底消除PCR 过程中由于各种环境污染而导致的假阳性扩增。
产品特点:
1.本产品为非酶类试剂,所有组分可生物降解、无毒无害。不含有机溶剂或者挥发性物质,不含无机酸或者碱性物质,不会对金属形成腐蚀。
2.产品中各组分协同作用,快速、非序列特异性的降解核酸污染。
3.使用简单,操作方便。喷洒或浸泡处理15分钟即可完成清除作用。
4.可广泛用于清除实验操作台、仪器、塑料和玻璃器皿、移液器、解剖刀、镊子、手套等各种实验器材表面的DNA污染。
5.与传统的PCR污染清除方法,如:稀酸处理法、紫外照射法、尿嘧啶糖苷酶(UNG)法和酶解变性等相比,本产品具有能彻底破坏DNA分子、有效清除小片段核酸等优点。
储存条件:常温运输和保存,有效期两年。
使用方法:
注意:以下操作均需要戴手套进行。本产品可重复使用5-10次,使用后建议密封保存。
工作平台的清洁:
直接将本产品喷于台面,最少15分钟后用普通吸水纸擦净,最后用吸水纸擦净,晾干。
实验仪器的清洁:
用浸有本品的纸擦拭仪器表面,再用吸水纸擦净,晾干。用本品处理金属器械的时间不能超过15分钟。
玻璃和塑料器皿的清洁:
将器皿浸泡在本产品中,静置处理最少15分钟后取出,再用蒸馏水浸泡二次以上,倒立晾干后备用。
移液枪的清洁:
根据生产厂家的使用手卸下移液枪的前端,留下接口塞和圈套后将其浸放在本产品中最少15分钟,再用蒸馏水彻底冲洗后,晾干,装回移液枪。
塑料离心管和滴头的清洁:
将反应塑料离心管和滴头充分浸泡在本产品中最少15分钟以上(最好不要有气泡),然后蒸馏水充分浸泡两次,试管或离心管可立即使用或干燥后备用。
我公司正在优惠促销克隆与表达等系列产品,期待您的咨询选购大肠杆菌OrigamiB(DE3)化学感受态细胞特价优惠。
风险提示:丁香通仅作为第三方平台,为商家信息发布提供平台空间。用户咨询产品时请注意保护个人信息及财产安全,合理判断,谨慎选购商品,商家和用户对交易行为负责。对于医疗器械类产品,请先查证核实企业经营资质和医疗器械产品注册证情况。
文献和实验实验目的1.了解转化的概念及其在分子生物学研究中的意义。2.学习氯化钙法制备大肠杆菌感受态细胞的方法。3.学习将外源质粒 DNA 转入受体菌细胞并筛选转化体的方法。实验原理转化( Transformation )是将异源 DNA 分子引入另一细胞品系,使受体细胞获得新的遗传性状的一种手段,它是微生物遗传、分子遗传、基因工程等研究的基本实验技术。转化中的受体细胞: 转化过程所用的受体细胞一般是限制性修饰系统缺陷的变异株,即不含限制性内切酶和甲基化酶的突变株,常用 RM 符号表示。转化方法:电击
外源基因在大肠杆菌中的诱导表达和降解物阻遏作用 【实验目的】 1.了解外源基因在原核细胞中表达的基础理论。 2.掌握乳糖操纵子的调节机制和操作方法。 【实验
化学试剂(如CaCl2)制备的感受态细胞,通过热击处理将载体DNA分子导入大肠杆菌细胞中. 实验中使用的主要仪器:电热恒温水槽 超净工作台 台式离心机 电热恒温震荡器 电热恒温 培养箱 2 热击 DNA连接产物与大肠杆菌 感受态细胞 冰浴30min后,放置42摄氏度水浴锅中,热击90秒,后迅速将大肠杆菌转移到冰水中放置2-3min. 3 大肠杆菌复苏 上步热击后,一般都要对菌体进行一次复苏过程
技术资料暂无技术资料 索取技术资料










