万千商家帮你免费找货
0 人在求购买到急需产品
- 详细信息
- 文献和实验
- 技术资料
- 保存条件:
-20℃
- 保质期:
一年
- 英文名:
DAB Peroxidase Substrate Kit for IHC (Yellow Color)
- 库存:
822
- 供应商:
北京百奥莱博科技有限公司
特别声明:本产品及我公司所售其他产品均为科研类试剂产品,严禁用于药物、医疗及其他非科研用途。
北京百奥莱博专注于生命科学和生物技术领域,致力于为客户提供包括北京DAB显色试剂盒黄色(IHC)哪里卖在内的一系列细胞生物学试剂产品,并提供一系列相关的技术服务。
名称:北京DAB显色试剂盒黄色(IHC)哪里卖
英文名:DAB Peroxidase Substrate Kit for IHC (Yellow Color)
品牌:百奥莱博
编号:SY0760
规格:1Kit
DAB即二*基联*(代"*")*(代"胺")(3,3’-diaminobenzidine),辣根过氧化物酶(Peroxidase)最常用的生色底物,显色呈鲜艳的棕黄色,可用于免疫组化及各种印迹显色法。本试剂盒采用液体性滴瓶包装,使用方便,并且减少了接触有潜在毒性的DAB。
产品组份:
20×DAB浓缩液————3ml
20×H2O2浓缩液———3ml
20×TBS缓冲液————3ml
操作方法
1)抗原-过氧化物酶标记抗体复合物形成后,对组织用TBS 或PBS充分洗涤,5min/次,共4次。
2)往1ml 蒸馏水加显色剂A,B,C 各50μl,混匀后即得到完整的DAB工作液。加至标本上。一般显色10-30min。若无背景出现则可继续显色。
3)显色后蒸馏水充分洗涤以终止反应。必要时苏木素复染1min左右。水洗。
4)脱水,透明,中性树胶封片,显微镜观察。
储存条件:-20℃,有效期一年。
更多有关北京DAB显色试剂盒黄色(IHC)哪里卖的价格及使用说明等,请联系我们的业务经理王欣女士咨询,我公司还销*(代"售")以下产品:
·CHAPS
编号:SY0303
规格:1g
CHAPS是一种非变性两性离子去垢剂、蛋白质裂解液,用于溶解膜蛋白以及打断蛋白-蛋白之间的相互作用。分子结构中具有一个胆酸和硫代甜菜碱。在紫外区的低吸光性成为用紫外方法检测膜蛋白的首选去垢剂。具有低胶束分子量(6150)和高临界胶束浓度(6-10 mM),透析可除去。常用于等电聚焦和双向电泳等实验。通常将介于 2-4% (w/v) 间的浓度用于等电聚焦凝胶。
产品性质:
CAS:75621-03-3
分子式:C32H58N2O7S
分子量:614.9
溶解性:溶于水(100 mg/ml)
临界胶束浓度(CMC):6-10 mM(高CMC值的去污剂通过稀释可容易去除;低CMC值的去污剂有利于根据分子量进行分离)。
结构式:

储存条件:室温。
·牛血清白蛋白(标准级别)
编号:SY0451
英文名称:BSA, Standard Grade
规格:25g
本品为标准级别的牛血清白蛋白(BSA, Standard Grade),可以满足大部分常规实验需求,如用作免疫封闭剂、组织细胞培养添加剂、蛋白/酶稳定剂以及蛋白定量标准品。
牛血清白蛋白,英文名称为Bovine Serum Albumin,也称Bovine albumin,或Cohn Fraction V,简称BSA。BSA有着极其广泛的实验室应用,在免疫实验中常用作封闭剂,包括ELISA、WB(Western Blot)。作为载体蛋白,将其交联于半抗原和其他弱抗原可以使它们在抗体生产中具有更强的免疫原性。在限制性内切酶消化反应中,BSA常常被用作一些酶的反应稳定剂,并且能防止它粘附到管壁和枪头上。BSA也常用于生物制药的生产过程或者作为营养物用于细胞和微生物培养。除此之外,还作为蛋白定量检测的标准品使用。我们提供的BSA产品,使用优质牛血浆,利用热休克法(Heat Shock)法制备而成。
CAS::9048-46-8
分子量(M. Wt.):66 kDa
外观:类白色或浅褐色粉末
湿度::≤5.0%
pH值(pH Value):6.8-7.2(1%(w/v)in 0.15M NaCl)
白蛋白(Albumin):≥98%(电泳)
总蛋白(Protein):≥98%
重金属(Heavy Metals):≤1ppm
溶解性:易溶于水
储存条件:4℃密封,有效期至少5年
北京DAB显色试剂盒黄色(IHC)哪里卖关键词:DAB显色试剂盒黄色(IHC),SY0760,DAB Peroxidase Substrate Kit for IHC (Yellow Color
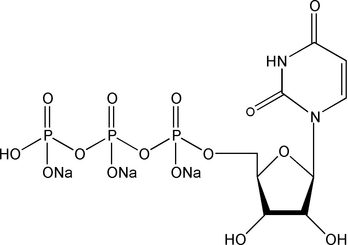
·尿苷三磷酸溶液(100 mM)(UTP)
编号:SY0054
英文名称:UTP Solution(100 mM)
规格:1ml
UTP即Uridine-5-triphosphate,中文名为尿苷-5’-三磷酸,可用于分子生物学中多种相关应用,如体外转录、RNA扩增、siRNA合成等。UTP还可参与半乳糖代谢,在此代谢途径中活化形式的UDP-半乳糖转换为UDP-葡萄糖,后者进入糖原合成途径。
本产品为纯度≥99%(HPLC)的UTP三*盐配制所得的无色透明水溶液, pH (25℃)= 7.0±0.1,浓度为100mM,且无DNase和RNase污染。
英文别名:Uridine-5-triphosphate, trisodiu*(代"m") salt
CAS:63-39-8 (acid form); 19817-92-6 (3Na salt)
分子式:C9H12N2Na3O15P3
分子量:550.09 (acid form: 484.09)
纯度:HPLC ≥99%
外观:无色透明液体
结构式:
储存条件:-20℃,有效期2年。
北京DAB显色试剂盒黄色(IHC)哪里卖关键词:DAB显色试剂盒黄色(IHC),SY0760,DAB Peroxidase Substrate Kit for IHC (Yellow Color
PY02-196 碱性琼脂 250克
ARB12810 小鼠乙型肝炎e抗体(HBeAb)定量分析 Mouse hepatitis b virus e antibody,hbeab ELISA KIT
NF-213 羊抗人C5血清
ARB11027 人尿激酶型纤溶酶原激活物受体(PLAUR/uPAR)elisa检测操作说明书 Human urokinase-type plasminogen activator receptor,plaur/upar ELISA KIT
113-24-6 Pyruvic Acid 丙*(代"酮")酸*
1-*基环丙*(代"烷")羧酸 Cloxacillin sodiu*(代"m") salt hydrate 22059-21-8
ARB10521 人白细胞共同抗原(LCA/CD45)elisa测定使用说明书 Human leukocyte common antigen,lca/cd45 ELISA KIT
9003-98-9 DnaseI(2000u/mg)
丁香醛 AMPSO 134-96-3
ARB11147 人肿瘤坏死因子相关激活诱导因子(TRANCE)尿液中含量检测 Human tnf related activation induced cytokine,trance ELISA KIT
PY01-092 木糖醇 100克
F030207 HRP标记山羊抗小鼠IgG2b抗体 Goat Anti-Mouse IgG2b*HRP
BL0795 马IgG抗原(干粉)
ARB11488 人胰激肽原酶(PK)检测服务 Human pancreatickininogenase,pk ELISA KIT
蛋白酶K Epoxy-activated Sepharose 6B 39450-01-6
环磷酸腺苷 Lithocholic acid 60-92-4
CYB162021 兔抗马IgG(抗血清) 0.5ml
2′-叠氮脱氧尿苷 Decyl-β-D-glucopyranoside 26929-65-7
我公司正在优惠促销免疫检测等系列产品,期待您的咨询选购北京DAB显色试剂盒黄色(IHC)哪里卖。
风险提示:丁香通仅作为第三方平台,为商家信息发布提供平台空间。用户咨询产品时请注意保护个人信息及财产安全,合理判断,谨慎选购商品,商家和用户对交易行为负责。对于医疗器械类产品,请先查证核实企业经营资质和医疗器械产品注册证情况。
文献和实验drlxg 诸位战友,因课题需要进行小鼠标本的RhoA、RhoC、Rac1蛋白的免疫组化染色,但查过多家公司的抗体,大多用于westernbot、免疫荧光等试验方法,极少直接标明可用于免疫组化,请问可否能用适合免疫荧光的抗体做免疫组化染色?另不知哪位能有上述三种抗体或其一,因经费紧张买不起大包装的抗体呀!多谢!!:) dianaofyezi 可以试试用免疫荧光的抗体做IHC,但是如果抗体的供货商没有明确标明能够做IHC
液体。 7) 滴加Ⅰ抗,室温1小时或者4℃过夜或者37℃1小时(4℃过夜后在37℃复温45分钟)。 8) PBS洗三次每次2分钟。 9) 滴加生物素化二抗,20℃~37℃20分钟。 10)PBC洗3次每次2分钟。 11)滴加试剂SABC,20℃~37℃20分钟。 12)PBS洗4次每次5分钟。 13)DAB显色:DAB显色试剂盒或者自配显色剂显色(镜下掌握显色程度)。 14)蒸馏水洗。苏木素复染2分钟、盐酸酒精分化。 15)脱水、透明、封片、镜检。
%乙醇分化,直至洗去切片上的浮色为止,蒸馏水洗。 (3) 用稀释1倍的明矾苏木精浅染核1min或稍长。 (4) 用滤纸将切片及周围的水分吸干。 (5) 用甘油或甘油明胶封固。 结果判定:脂肪呈桔黄色或桔红色,细胞核浅蓝色。 (二)免疫组织化学(immunohistochemistry, IHC):是指应用免疫学和传统的组织化学的原理,利用抗原抗体特异性结合反应对组织、细胞中的特定抗原(或抗体)进行定位和定性的一种染色技术。具有较高的敏感
技术资料暂无技术资料 索取技术资料










