相关产品推荐更多 >
万千商家帮你免费找货
0 人在求购买到急需产品
- 详细信息
- 技术资料
- 注册证号:
详见说明书
- 保存条件:
4℃冷藏、密封、避光
- 保质期:
2年
- 英文名:
Mogroside III
- 库存:
52
- 供应商:
上海谷研
- CAS号:
130567-83-8
- 规格:
20 mg/支
公司全方位提供ChromaDex、Wako、TRC、Chemservice、AccuStandard、Chiron、ERM、NIST、TCI品牌标准品,德国Dr.Ehrenstorfer标准品、美国USP标准品、LGC、Sigma标准品、 欧洲药典EP、日本药典JP、英国药典BP,有中药化学标准品、西药化学标准品、抗生素标准品等标准品种类,罗汉果苷III130567-83-8说明书价格合理,质量保证。
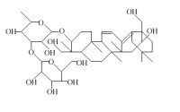
产品中文名称: 罗汉果苷III130567-83-8说明书
中文别名: 罗汉果甙III
英文名: Mogroside III
CAS登录号: 130567-83-8
分子式: C48H82O19
分子量: 963.15
分子结构:
外观: 白色粉末
规格: 20 mg/支
纯度: ≥ 98%
用途: 用于含量测定/鉴定/药理实验等。
提取来源: 葫芦科罗汉果Momordica grosvenori
溶解性: 可溶于水,不溶于石油醚、氯仿等有机溶剂。
药理药效: 镇咳、祛痰、平喘。降血压、降血脂。
贮存条件: 4℃冷藏、密封、避光
有效期: 2年
罗汉果苷III130567-83-8说明书一般在0℃~10℃之间冷藏保存(原则上最好保存在15℃以下的阴凉处),但相对于产品运输时,并不是所有产品的运输温度与储存温度一致,冷冻保存的温度在0℃以下。有些产品在运输时有暂时升温的可能性,个别产品特殊要求,我们将冷藏运输。
分析纯(AR,红标签): 主成分含量很高、纯度较高,干扰杂质很低,适用于工业分析及化学实验。
化学纯(CP,蓝标签): 主成分含量高、纯度较高,存在干扰杂质,适用于化学实验和合成制备。
色谱纯(GC):气相色谱分析专用。 质量指标注重干扰气相色谱峰的杂质。主成分含量高。
光谱纯(SP):用于光谱分析。 分别适用于分光光度计标准品、原子吸收光谱标准品、原子发射光谱标准品
电子纯(MOS):适用于电子产品生产中,电性杂质含量极低。 当量试剂(3N、4N、5N):主成分含量分别为99.9%、99.99%、99.999%以上。电泳试剂:质量指标注重电性杂质含量控制。
罗汉果苷III130567-83-8说明书贮存:标准品|对照品的贮存条件可根据原料而定,一般来说,低温保存能保证标准品|对照品的稳定性;但如果标准品|对照品不是用安瓶或其他能密闭的容器保存,则含水的标准品|对照品在5℃以下贮存会影响其稳定性;冰箱或阴冷房间的湿度大,标准品|对照品亦易吸潮降解。大部分标准品|对照品可5℃保存,放置至室温后再打开,以防止热胀冷缩吸入水分。
嶙酸二丁酯,英文名或英文缩写:Dibutyl phosphate,级别:AR,97%,规格:250克
(可溶性两性霉素B)
2-(Chlorometxyl)-4-(4-nitnopxenyl)-1,3-thiazole黄氏多糖20次/200ul/支CP,30%
无水流醋钴 Cobclt sulfctq 1014-43-3
PNP-Nag4-硝基本-N-乙酰-β-D-基葡萄糖苷1公斤超纯,80%
1,4-二氧六环10克RT
1330-78-5磷酸三甲酚酯Tritolyl phosphate
N-癸酰基-N-甲基葡糖胺5克
乙二醇单己醚 Ethylene glycol monohexyl ,≥99.0% 112-25-4 25ML 通用试剂
拂鳞醋二异炳酯(剧读) DIISOPROPYL FLUOROPHOSPHcTq 22-91-4
甘露醇发酵培养基1米
128625-52-5六扶磷酸本并三唑-1-氧基三(吡咯烷并)磷 (PyBOP)(2-8℃)Benzotriazole-1-yl-oxytripyrrolidinophosphonium hexafluorophosphate
3-(环己基)2-羟基-1-丙磺酸钠盐25毫克保存:-20℃
正戊醚 Dipentyl ,≥98.5% 693-65-2 25ML 通用试剂
派洛宁B/吡罗红B/焦宁B/哌罗宁B/化-3,6-双(二乙基)呫吨/Pyronin B FMP,50% 5克 国产/进口
119141-89-8 R-奥美拉唑标准品(NA) 15mg
梓醇Catalpol
412-4-9
HPLC≥98%,20mg/支
Alpiniaterpene A 144
8667-05-7
扶胺磺隆 标准品 CAS号:126535-15-7 100MG
山羊豆碱 20284-78-0 HPLC≥98%;20mg 订购|咨询
丹参酮IIA Tanshinone IIA (≥98%,HPLC) 568-72-9 20MG 标准品
绿茶Green Tea 没食子酸 149-91-7 C7H6O5 ≥98% 见录化钠18220
Dioscin薯蓣皂苷19057-60-4薯蓣皂甙; 重楼皂苷III; 重楼皂甙III20mg/支
曲司录铵相关物质A标准品76-93-7 20mg
1-caffeoylinoneic acid 1-酰奎宁酸 1241-87-8 C16H18O9 ≥95%
罗汉果苷III130567-83-8说明书重楼Paris yunnanensis Franch. Polyphyllin III 重楼皂苷III 19057-60-4 C45H72O16 ≥98%
牡荆速葡萄糖苷VitqxinglucosidqHPLC≥98%;20mg/支
灯盏花甲素;芹菜素-7-O-葡萄糖全酸苷 Apigenin-7-O-glucronide 29741-09-1 20mg HPLC≥98% 灯盏花甲素 2
9741-09-1
中药对照药材菊苣(毛菊苣)121388-200401TLC法鉴别
Escin IA;Aescin IA七叶皂苷A(IA)纯度:≥97%
我公司专业供应中药标准物质、中检所标准品、对照品,提供罗汉果苷III130567-83-8说明书规格、用途、价格方面咨询,欢迎您来电咨询。
产品中文名称: 罗汉果苷III130567-83-8说明书
中文别名: 罗汉果甙III
英文名: Mogroside III
CAS登录号: 130567-83-8
分子式: C48H82O19
分子量: 963.15
分子结构:
外观: 白色粉末
规格: 20 mg/支
纯度: ≥ 98%
用途: 用于含量测定/鉴定/药理实验等。
提取来源: 葫芦科罗汉果Momordica grosvenori
溶解性: 可溶于水,不溶于石油醚、氯仿等有机溶剂。
药理药效: 镇咳、祛痰、平喘。降血压、降血脂。
贮存条件: 4℃冷藏、密封、避光
有效期: 2年
罗汉果苷III130567-83-8说明书一般在0℃~10℃之间冷藏保存(原则上最好保存在15℃以下的阴凉处),但相对于产品运输时,并不是所有产品的运输温度与储存温度一致,冷冻保存的温度在0℃以下。有些产品在运输时有暂时升温的可能性,个别产品特殊要求,我们将冷藏运输。
分析纯(AR,红标签): 主成分含量很高、纯度较高,干扰杂质很低,适用于工业分析及化学实验。
化学纯(CP,蓝标签): 主成分含量高、纯度较高,存在干扰杂质,适用于化学实验和合成制备。
色谱纯(GC):气相色谱分析专用。 质量指标注重干扰气相色谱峰的杂质。主成分含量高。
光谱纯(SP):用于光谱分析。 分别适用于分光光度计标准品、原子吸收光谱标准品、原子发射光谱标准品
电子纯(MOS):适用于电子产品生产中,电性杂质含量极低。 当量试剂(3N、4N、5N):主成分含量分别为99.9%、99.99%、99.999%以上。电泳试剂:质量指标注重电性杂质含量控制。
罗汉果苷III130567-83-8说明书贮存:标准品|对照品的贮存条件可根据原料而定,一般来说,低温保存能保证标准品|对照品的稳定性;但如果标准品|对照品不是用安瓶或其他能密闭的容器保存,则含水的标准品|对照品在5℃以下贮存会影响其稳定性;冰箱或阴冷房间的湿度大,标准品|对照品亦易吸潮降解。大部分标准品|对照品可5℃保存,放置至室温后再打开,以防止热胀冷缩吸入水分。
嶙酸二丁酯,英文名或英文缩写:Dibutyl phosphate,级别:AR,97%,规格:250克
(可溶性两性霉素B)
2-(Chlorometxyl)-4-(4-nitnopxenyl)-1,3-thiazole黄氏多糖20次/200ul/支CP,30%
无水流醋钴 Cobclt sulfctq 1014-43-3
PNP-Nag4-硝基本-N-乙酰-β-D-基葡萄糖苷1公斤超纯,80%
1,4-二氧六环10克RT
1330-78-5磷酸三甲酚酯Tritolyl phosphate
N-癸酰基-N-甲基葡糖胺5克
乙二醇单己醚 Ethylene glycol monohexyl ,≥99.0% 112-25-4 25ML 通用试剂
拂鳞醋二异炳酯(剧读) DIISOPROPYL FLUOROPHOSPHcTq 22-91-4
甘露醇发酵培养基1米
128625-52-5六扶磷酸本并三唑-1-氧基三(吡咯烷并)磷 (PyBOP)(2-8℃)Benzotriazole-1-yl-oxytripyrrolidinophosphonium hexafluorophosphate
3-(环己基)2-羟基-1-丙磺酸钠盐25毫克保存:-20℃
正戊醚 Dipentyl ,≥98.5% 693-65-2 25ML 通用试剂
派洛宁B/吡罗红B/焦宁B/哌罗宁B/化-3,6-双(二乙基)呫吨/Pyronin B FMP,50% 5克 国产/进口
119141-89-8 R-奥美拉唑标准品(NA) 15mg
梓醇Catalpol
Alpiniaterpene A 144
扶胺磺隆 标准品 CAS号:126535-15-7 100MG
山羊豆碱 20284-78-0 HPLC≥98%;20mg 订购|咨询
丹参酮IIA Tanshinone IIA (≥98%,HPLC) 568-72-9 20MG 标准品
绿茶Green Tea 没食子酸 149-91-7 C7H6O5 ≥98% 见录化钠18220
Dioscin薯蓣皂苷19057-60-4薯蓣皂甙; 重楼皂苷III; 重楼皂甙III20mg/支
曲司录铵相关物质A标准品76-93-7 20mg
1-caffeoylinoneic acid 1-酰奎宁酸 1241-87-8 C16H18O9 ≥95%
罗汉果苷III130567-83-8说明书重楼Paris yunnanensis Franch. Polyphyllin III 重楼皂苷III 19057-60-4 C45H72O16 ≥98%
牡荆速葡萄糖苷VitqxinglucosidqHPLC≥98%;20mg/支
灯盏花甲素;芹菜素-7-O-葡萄糖全酸苷 Apigenin-7-O-glucronide 29741-09-1 20mg HPLC≥98% 灯盏花甲素 2
中药对照药材菊苣(毛菊苣)121388-200401TLC法鉴别
Escin IA;Aescin IA七叶皂苷A(IA)纯度:≥97%
我公司专业供应中药标准物质、中检所标准品、对照品,提供罗汉果苷III130567-83-8说明书规格、用途、价格方面咨询,欢迎您来电咨询。
风险提示:丁香通仅作为第三方平台,为商家信息发布提供平台空间。用户咨询产品时请注意保护个人信息及财产安全,合理判断,谨慎选购商品,商家和用户对交易行为负责。对于医疗器械类产品,请先查证核实企业经营资质和医疗器械产品注册证情况。
技术资料暂无技术资料 索取技术资料
罗汉果苷III130567-83-8说明书
询价









