相关产品推荐更多 >
万千商家帮你免费找货
0 人在求购买到急需产品
- 详细信息
- 文献和实验
- 技术资料
- 保存条件:
-20℃
- 保质期:
2年
- 英文名:
5-bromo-2-deoxyuridine (BrdU)
- 库存:
792
- 供应商:
北京百奥莱博科技有限公司
特别声明:本产品及我公司所售其他产品均为科研类试剂产品,严禁用于药物、医疗及其他非科研用途。
北京百奥莱博专业生产销*(代"售")北京现货5-*脱氧尿嘧啶核苷库存,我公司供应的细胞生物学试剂品类齐全,且具有优势价格,欢迎新老客户垂询订购。
名称:北京现货5-*脱氧尿嘧啶核苷库存
编号:SY0504
规格:100mg
产地:国产|进口
英文名:5-bromo-2-deoxyuridine (BrdU)
品牌:百奥莱博
目前常用的细胞增殖标记物有4种,DNA聚合酶α(DNA polymerase α),增殖细胞核抗原(Proliferating cell nuclear antigen,PCNA),Ki-67和5-*脱氧尿嘧啶核苷(Brdu)。其中Brdu为组织细胞非内源性表达存在,应用相对较广。Brdu,也称为*化去氧尿苷,一种合成的胸苷类似物,在S期可替代胸腺嘧啶核苷选择性结合到细胞DNA中。从而检测细胞DNA合成和标记细胞分裂,凋亡等行为。在遗传研究中Brdu可通过活体注射或细胞培养加载,然后使用抗Brdu的单克隆抗体进行特异性标记,ICC或IHC法染色法显示增殖细胞。另外,还能同时结合其它细胞标记物,双重染色,来判断增殖细胞的种类,增殖速度等,对研究细胞动力学有着重要意义。
CAS:59-14-3
分子式:C9H11BrN2O5
分子量:307.10
外观:白色或类白色粉末
熔点:187~189℃
纯度(Purity, HPLC):≥99%
溶解性:溶于1M *氧化铵(50 mg/ml),水(高达10 mg/ml);溶于DMF,DMSO,水(加热)(50-100 mg/ml)
储存条件:-20℃,有效期2年
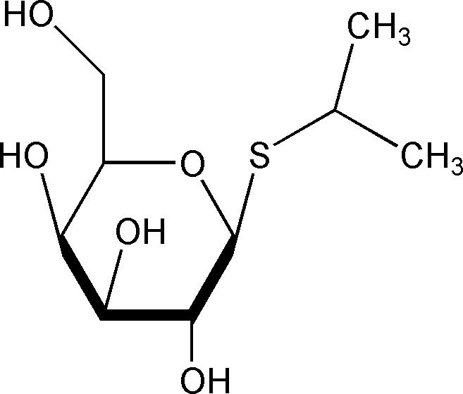
结构式

欲了解更多北京现货5-*脱氧尿嘧啶核苷库存的品牌、产地、价格及说明书等产品信息,请致电北京百奥莱博科技有限公司,我们将竭诚为您服务,另外,以下产品正在火爆促销:
·Percoll
编号:SY0531
规格:100ml
Percoll是一种适用性广且操作灵活简单的低密度梯度分离液,可用来分离细胞,亚细胞颗粒,细菌,病毒,甚至实现受损细胞及其碎片与完整活细胞的分离。Percoll主要由表面包被单层乙*(代"烯")吡*(代"咯")烷酮(PVP)的硅胶颗粒组成,直径15-30 nm,游离PVP的含量仅占1-2%。由于颗粒大小的异质化,离心过程以不同的速率沉淀,自发产生一个匀质化且等渗的梯度,密度在1.0-1.3 g/ml之间。大部分沉淀系数>60S的生物颗粒都可以用Percoll实现分离。
本品是无菌的溶液,呈无色至浅黄色,具有以下几大特点,
1)Percoll形成的梯度密度范围在1.0-1.3 g/ml之间,整个梯度体系都是等渗的;
2)无细胞毒性,化学惰性,不会粘附到细胞膜上;
3)可调节至生理离子强度和pH;
4)温和条件分离细胞,亚细胞颗粒和较大病毒(低至~70S),可保持其活力和形态完整性;
5)只需角转头中速离心即可实现预成梯度或者自发形成梯度分离;
6)Percoll粘度低(10±5 cP at 20℃),能够快速形成梯度和颗粒分离;采用预制梯度分离低速离心力(200-1000×g)仅需数分至数十分钟即可达到满意的分离结果;
7)Percoll稳定性高,未开封的产品室温保存5年有效;开封的产品室温无菌保存至少2年有效;
8)Percoll(未稀释)可重新高压灭菌,120℃,30min;
注意事项
1)Percoll分离推荐使用聚碳酸酯(PC)离心管;Percoll离心后常有二氧化硅颗粒聚集在管底,或者分层时聚集在管壁上。干燥后这些沉淀较难去除,因此建议使用后立即用水冲洗所用设备。
2)Percoll在pH 5.5-10之间性能不受任何干扰。但低于pH 5.5会发生胶凝。二价阳离子也会引起胶凝,而温度升高会加剧此现象发生。
3)只有不含盐离子或蔗糖的Percoll(原液)才能高压灭菌。因为盐离子会引起胶凝,而蔗糖会引起焦糖化。高压灭菌过程尽量减少与空气接触,避免在percoll/空气层间形成固体颗粒,可通过将percoll装在窄口瓶内来避免。如果颗粒已经形成,通过过滤或者低速离心的方式去除。灭菌后溶液的损失可加入相应体积的蒸馏水补足,密度不会受影响。Percoll不可用滤膜除菌。
4)为了您的安全和健康,请穿实验服并戴一次性手套操作。
储存条件:4-30℃,有效期5年
北京现货5-*脱氧尿嘧啶核苷库存关键词:59-14-3,5-bromo-2-deoxyuridine (BrdU),5-*脱氧尿嘧啶核苷
·TUNEL细胞凋亡检测试剂盒(FITC)
编号:SY0475
英文名称:TUNEL Apoptosis Detection Kit (FITC)
规格:20T
本试剂盒应用范围广,可以用于检测冷冻或石蜡切片中的细胞凋亡情况,也可以检测培养的贴壁细胞或悬浮细胞的凋亡情况。
细胞在发生凋亡时,会激活一些DNA内切酶,这些内切酶会切断核小体间的基因组DNA。细胞凋亡时抽提DNA进行电泳检测,可以发现180-200bp的DNA ladder。
TUNEL (TdT mediated dUTP Nick End Labeling)细胞凋亡检测试剂盒(FITC)可以用来检测组织细胞在凋亡晚期过程中细胞核DNA的断裂情况。其原理是在末端脱氧核糖核苷酸转移酶(Terminal Deoxynucleotidyl Transferase, TdT)的作用下,在基因组DNA断裂时暴露出的3´-羟基(3´-OH)末端掺入FITC-12-dUTP,从而可以用荧光显微镜或流式细胞仪检测。
本试剂盒对标记反应进行了优化,采用最佳比例的FITC-12-dUTP和未标记dNTP进行3’-OH末端的核苷酸掺入,使得同一个断裂的DNA片段末端可以形成更长的“标记尾巴”。该“标记尾巴”减少了相邻掺入dNTP上标记基团的空间位阻,增加每个断裂片段上的荧光基团数目,降低荧光基团相邻后可能造成的聚集和淬灭,从而提高检测灵敏度,减少非特异性反应。
试剂盒组份:
5×Equilibration Buffer————750μl
FITC-12-dUTP Labeling Mix———100 μl
Recombinant TdT Enzyme—————20 μl
Proteinase K (2 mg/ml)————40 μl
DNase I (1 U/μl)———————5μl
10×DNase I Buffer——————100 μl
注意事项
1)需自备用于洗涤细胞的PBS,用于封片的抗荧光淬灭封片液,用于固定的4%多聚甲醛。
2)为了您的安全和健康,请穿实验服并戴一次性手套操作。
储存条件:-20℃,有效期一年。
北京现货5-*脱氧尿嘧啶核苷库存关键词:59-14-3,5-bromo-2-deoxyuridine (BrdU),5-*脱氧尿嘧啶核苷
HC0169 载玻片
ARB12352 大鼠迟现抗原(VLA)Elisa分析 Rat very late appearing antigen,vla ELISA KIT
ARB11618 人羟脯*酸(Hyp)含量分析 Human hydroxyproline,hyp ELISA KIT
3-*基-9-乙基咔唑 Amino black 10B 132-32-1
ARB14244 大鼠神经细胞粘附分子配体1(NCAM-L1/CD171)免费代测
ARB12536 大鼠胰岛素(INS)ELISA代测服务 Rat insulin,ins ELISA KIT
ARB13820 豚鼠基质金属蛋白酶抑制因子1(TIMP-1)elisa测定使用说明书 Guinea pig tissue inhibitors of metalloproteinase 1,timp-1 ELISA KIT
ARB13082 小鼠降*素原(PCT)ELISA检测服务 Mouse procalcitonin,pct ELISA KIT
2-亚硝基-1-*酚 Ammoninm nickel sulfate 132-53-6
25322-68-3 PEG3350 聚乙二醇
DEAE葡聚糖凝胶A-50 VC
ARB11061 人转化生长因子β1(TGF-β1)定量分析 Human transforming growth factor β1,tgf-β1 ELISA KIT
PUC18质粒 Vanillic acid
573-58-0 Congo Red 刚果红
NF-218 抗C反应蛋白(CRP)血清
BTN100811 质谱兼容型蛋白银染试剂盒 MS-Comp*(代"a")tible Silver Stain for Protein
鲁米诺 Glycocholic acid hydrate 521-31-3
BL0628 赖*酸-琼脂糖凝胶4B lysine Sepharose 4B
ARB10034 人I型前胶原C末端肽(CICP)Elisa定量检测 Human cross-linked c-teloPeptides of type i collagen,cicp ELISA KIT
ARB13384 牛维生素B12(VB12)含量分析
安息香乙*(代"醚") Iodine trichloride 574-09-4
PY01-039 核黄素(VB2) 10克
我公司生产供应销*(代"售")的细胞凋亡与增殖正全品类优惠促销,十分期待您的咨询选购北京现货5-*脱氧尿嘧啶核苷库存。
风险提示:丁香通仅作为第三方平台,为商家信息发布提供平台空间。用户咨询产品时请注意保护个人信息及财产安全,合理判断,谨慎选购商品,商家和用户对交易行为负责。对于医疗器械类产品,请先查证核实企业经营资质和医疗器械产品注册证情况。
文献和实验相关专题 细胞周期 测可以反应细胞增殖的速度,细胞周期测定的方式有很多,这里总结下BrdU(5-溴脱氧尿嘧啶核苷)渗入法测定细胞周期的原理与操作步骤。 一、原理 细胞周期指细胞一个世代所经历的时间。从一次细胞分裂 结束到下一次分裂结束为一个周期。细胞周期反应了细胞增殖速度。 单个细胞的周期测定可采用缩时摄影的方法,但它不能代表细胞群体的周期,故现多采用其他方法测群体周期。 测定细胞周期的方法很多
姊妹染色单体区分染色法(Sister chromatid differentiation,SCD)是70年代中期发展起来的染色体处理技术。Latt(1973)在培养的细胞中加入5-溴脱氧尿嘧啶核苷(BrdU),当用Hoechst33258 荧光染料染色时,发现了姊妹染色单体的色差反映和它们之间互换的现象。1974年KO Renberg和Froeed-Lender改进了这一技术,建立了较简易的BrdU-Giemsa技术。这种技术用于研究细胞周期、染色体半保留复制、染色体的分子结构和畸变
第19卷 基础 免疫 学 作者:韩淑红邓鸿业徐志伟邓玉兰黄大无丁桂凤 单位:100083 北京医科大学免疫学系 DNA的5-溴,2’-脱氧尿嘧啶核苷(BrdU)标记法近年来作为一种新的、简便、敏感特异的检测方法,在肿瘤生物学、遗传学、分子生物学特别是 细胞增殖 动力学等领域得到广泛应用,在一定程度推动了相关学科的发展.为了满足广泛开展BrdU标记DNA检测对BrdU特异性 单抗 的需要
技术资料暂无技术资料 索取技术资料










