相关产品推荐更多 >
万千商家帮你免费找货
0 人在求购买到急需产品
- 详细信息
- 文献和实验
- 技术资料
- 保存条件:
-20℃
- 保质期:
长期
- 英文名:
IL6-promoter luciferase reporter plasmid
- 库存:
540
- 供应商:
北京百奥莱博科技有限公司
特别声明:本产品及我公司所售其他产品均为科研类试剂产品,严禁用于药物、医疗及其他非科研用途。
北京百奥莱博专业生产销*(代"售")北京促销IL6-promoter-Luc荧光素酶报告基因质粒价格,我公司供应的细胞生物学试剂品类齐全,且具有优势价格,欢迎新老客户垂询订购。
名称:北京促销IL6-promoter-Luc荧光素酶报告基因质粒价格
编号:SY0109
产地:国产|进口
品牌:百奥莱博
英文名:IL6-promoter luciferase reporter plasmid
IL6-Promoter荧光素酶报告基因(报告基因质粒)(IL6-Promoter luciferase reporter plasimd)是用于检测human IL6-Promoter激活水平为目的的报告基因。IL6(Interleukin 6)白细胞介素-6,简称白介素6,是一种重要的细胞炎性细胞因子,在炎性疾病的发生发展中起了重要的作用,常作为炎性反应的重要指标。
IL6-Promoter报告基因主要应用于Jak/Stat信号通路的研究等和human IL6-Promoter激活水平的检测等。
pGMIL6-Promoter-Lu是我公司改造后的哺乳动物真核表达载体,在其多克隆位点插入了human IL6启动子,可以高灵敏度地检测human IL6-Promoter的激活水平。同时,对载体中预测出的其它转录因子以外的结合位点进行了适当的突变,增加了质粒对转录因子结合的特异性。另外,由于质粒体积减小,使得IL6-Promoter报告基因质粒更易于转染。
质粒图谱

注意事项
本质粒未经我公司允许不得用于任何商业用途,也不得移交给订货人实验室以外的任何人或单位。
为了您的健康,实验操作时请穿实验服和带一次性手套。
使用说明
pGMIL6-promoter-Lu可以采用常规转染方法转染哺乳动物细胞。用荧光素酶检测试剂盒或双荧光素酶检测试剂盒进行检测。
储存条件:-20℃。
想要了解更多关于北京促销IL6-promoter-Luc荧光素酶报告基因质粒价格的价格、品牌、厂家、说明书、促销信息,请和我们联系。此外我公司还销*(代"售")下面的产品:
·YY1 Luc荧光素酶报告基因质粒
编号:SY0143
英文名称:YY1Luciferase Reporter Plasmid
规格:1μg
YY1 Luc荧光素酶报告基因质粒(YY1 luciferase reporter plasmid)是用于检测YY1转录活性水平为目的的报告基因。YY1是锌指蛋白类转录因子GLI-Kruppel家族成员之一,主要参与细胞增殖调控、细胞分化以及胚胎发育等。
YY1 Luc荧光素酶报告基因质粒主要应用于YY1信号通路、药物研究、相关基因的调控和功能的研究。
pGMYY1-Lu是我公司改造后的哺乳动物真核表达载体,在其多克隆位点插入了多个YY1结合位点,可以高灵敏度地检测YY1的激活水平。同时,对载体中预测出的其它转录因子以外的结合位点进行了适当的突变,增加了质粒的转录因子结合特异性。另外,由于质粒体积减小,使得YY1报告基因质粒更易于转染。
质粒图谱

使用说明
pGMYY1-Lu可以采用常规转染方法转染哺乳动物细胞。用荧光素酶检测试剂盒或双荧光素酶检测试剂盒进行检测。
注意事项
本质粒未经我公司允许不得用于任何商业用途,也不得移交给订货人实验室以外的任何人或单位。
为了您的健康,实验操作时请穿实验服和带一次性手套。
储存条件:-20℃。
北京促销IL6-promoter-Luc荧光素酶报告基因质粒价格关键词:IL6-promoter luciferase reporter plasmid,SY0109,IL6-promoter-Luc荧光素酶报告基因质粒
H0501 大牛血浆(去红细胞、无菌过滤)
F030111 HRP标记羊抗乙肝核心抗原抗体 HRP*Polyclonal Goat Anti-HBcAg
ARB11135 人肽聚糖(PG)含量检测 Human peptidoglycan,pg ELISA KIT
BTN131146 山羊抗人IgG(H+L),碱性磷酸酶标记 Goat Anti-Human IgG(H+L),AP
BTN100213 DNA嵌套缺失试剂盒 DNA Nested Deletion Kit
ARB12741 小鼠Ⅱ型胶原(Col Ⅱ)含量分析 Mouse collagen type Ⅱ,col Ⅱ ELISA KIT
复合酶稳定剂AES TTP
PY02-389 RVR10肉汤 250克
维生素B5 Anthraquinone 137-08-6
BL1167 全血基因组DNA提取试剂盒
L-*甘*醇 Cibacron Blue F3G-A 20989-17-7
DP418 RNAsin
北京促销IL6-promoter-Luc荧光素酶报告基因质粒价格关键词:IL6-promoter luciferase reporter plasmid,SY0109,IL6-promoter-Luc荧光素酶报告基因质粒
·多聚L-赖*酸(分子量15万~30万)
编号:SY0461
英文名称:Poly-L-lysine, Mw 150,000-300,000
规格:25mg
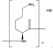
本品为多聚-L-赖*酸(Poly-L-lysine),分子量为150,000-300,000,适用于细胞培养。另外,以**酸(HBr)的形式提供,约1个赖*酸残基结合1分子的**酸,使其以稳定的结晶固体形式提供,并具有更强的水溶性。用作细胞培养基质,推荐使用量为:对于25cm2的培养板需要0.1mg/ml的聚赖*酸溶液约0.5ml-1.0ml。
多聚赖*酸(poly-lysine)是一种带正电荷的*基酸聚合物,能够结合于DNA,红细胞膜或任何带负电荷蛋白,是一种非特异性的细胞粘附因子,促进细胞吸附到固相基质上。作用机理在于其可增强细胞膜表面的负电荷离子和固相基质表面(如细胞培养皿,载玻片等)的静电相互作用。当吸附到培养表面后,多聚赖*酸提高用于细胞结合的阳离子结合位点数。多聚赖*酸分子量的大小与粘度相关,即分子量较低,粘度较低;分子量较高,粘度较高,提供的粘附位点也较多。分子量>30,000的聚赖*酸适用于促进细胞粘附到固体基质。
多聚赖*酸(poly-lysine)有两种常见亚型,D-和L-型。由于多聚赖*酸是细胞结合的非特异性粘附因子,因此两种亚型都可用作包被固体基质,在细胞培养中都可促进细胞的贴壁生长。
中文别名:多聚赖*酸溶液(L型)
英文别名:Poly-L-lysine Solution; PLL; Poly-L-lysine hydrobromide Solution
CAS:25988-63-0
分子式:L-Lys-(L-Lys)n-L-Lys·xHBr
分子量:150,000-300,000
外观:白色至类白色粉末
溶解性:溶于水(50mg/ml)
储存条件:-20℃干燥,有效期4年
结构式

注意事项
1)注意在细胞培养相关应用中,某些细胞会消化多聚 L-赖*酸并吸收,摄入过多的多聚 L-赖*酸会产生一定的细胞毒性。因此,遇到这种情况需选用多聚 D-赖*酸(Poly-D-lysine),如多聚D-赖*酸(5 mg/ml),分子量:150,000-300,000,细胞培养级,货号:SY0464。
2)将若想去除本品中的HBr,可将本品溶于中性缓冲液,可透析除去盐离子。
3)为了您的安全和健康,请穿实验服并戴一次性手套操作。
北京百莱博科技有限公司专业生产报告基因检测产品,欢迎来电咨询选购北京促销IL6-promoter-Luc荧光素酶报告基因质粒价格。
风险提示:丁香通仅作为第三方平台,为商家信息发布提供平台空间。用户咨询产品时请注意保护个人信息及财产安全,合理判断,谨慎选购商品,商家和用户对交易行为负责。对于医疗器械类产品,请先查证核实企业经营资质和医疗器械产品注册证情况。
文献和实验者:zhao22840718to smile1688:启动子上下游你怎么选的? 转录起始位点下游多少碱基?参与者:smile1688我是根据人的转录起始位点推测我这个物种上的转录起始位置,我插入的片断应该包括转录起始位点下游150bp,上游大概1000bp左右了。但是这也是我一直怀疑的一个推测,我正在用实验证明。谢谢zhao22840718。参与者:zhao22840718我感觉这下游的150bp挺重要的,不要有ATG.个人看法,如果ATG和Luc ORF不同,可能造成移码.导致没有荧光信号.参与者:smile1688
技术资料暂无技术资料 索取技术资料










