相关产品推荐更多 >
万千商家帮你免费找货
0 人在求购买到急需产品
- 详细信息
- 文献和实验
- 技术资料
- 保存条件:
冷藏
- 保质期:
长期
- 英文名:
EveGreen(20×水溶液)
- 库存:
432
- 供应商:
北京百奥莱博科技有限公司
特别声明:本产品及我公司所售其他产品均为科研类试剂产品,严禁用于药物、医疗及其他非科研用途。
EveGreen (20×in water)(国产,进口)由老牌试剂供应北京百奥莱博供货并提供技术支持,本产品用于生化科研试验,本产品质量好,且极具价格优势,深为用户称道,了解更多EveGreen (20×in water)等核酸电泳和回收产品请联系我司咨询订购。
名称:EveGreen (20×in water)(国产,进口)
规格:500μl
产地:国产|进口
品牌:百奥莱博
英文名:EveGreen(20×水溶液)
编号:SY0258
veGreen是一种新一代用于实时定量PCR(qPCR)的DNA结合染料。该染料基于“按要求释放”DNA结合技术设计,结构上由两个单体染料分子通过一个弹性臂连接成一个二聚体,在没有DNA存在时,该结构呈无荧光环状结构,一旦有DNA出现,则恢复随机形态并与DNA结合发出强烈的绿色荧光。
与市场上其他荧光染料如FAM、SYBR Green I相比,EveGreen具有更卓越的特性:1)极高的灵敏度:在推荐浓度下使用时可以获得比SYBR Green I更强的PCR扩增信号。2)PCR抑制性极小,非常适合多重PCR及HRM分析:智能化“按要求释放”DNA结合技术使得EveGreen对PCR的抑制远小于SYBR Green I。因此,使用EveGreen进行的qPCR实验可以使用快速PCR步骤。同时,EveGreen在实验中可以使用较高的浓度,从而获得远强于SYBR Green I扩增信号。较高浓度的EveGreen也消除了“染料重分布”的缺陷,在推荐浓度下使用时,无扩增子之间的染料迁移现象,使EveGreen既可用于多重PCR,也可用于高分辨率(高清晰)熔解曲线分析(HRM)。3)超强稳定性:在正常的储存、操作和PCR过程中不会被破坏。在缓冲溶液中的染料可以安全的储存在室温或冰箱里,也可以反复冻融。4)安全性好:细胞膜穿透性测试表明,EveGreen几乎不能穿透细胞膜,安全性高。且EveGreen没有诱变性和细胞毒性。5)优越的兼容性:和SYBR Green I光谱相似,和各知名品牌的qPCR仪器兼容。用EveGreen 替代SYBR Green I,无需改变任何目前使用的操作步骤和仪器设备。qPCR完成后,无需加入其它核酸染料便能直接在凝胶成像系统下观察分析。
此外,EveGreen是目前仅有的可以用于微滴式数字PCR系统的染料,在微流控PCR,恒温扩增,毛细管电泳,DNA定量以及细胞活力鉴定等领域也具有卓越的表现。本品以20×EveGreen水溶液形式提供。
我公司的EveGreen (20×in water)(国产,进口),性价比高,货期短,送货上门,欢迎您来电咨询购买,另外,我公司还生产供应销*(代"售")下列产品:
69-65-8 D-Mannitol D-甘露醇
L-酪*酸乙酯盐*(代"酸")盐 Ethyl p-toluene sulfonate 4089-07-0
495-69-2 Hippuric Acid 马尿酸
D-葡萄糖-6-磷酸单*盐 Hematoxylin 54010-71-8
ARB13495 鸡脂多糖/内毒素(LPS)定量分析 Chicken lipopolysaccharides,lps ELISA KIT
68990-09-0 牛肉膏
对羟基*丙*(代"酮") o-Cresolphthalein 70-70-2
BL0977 狗外周血淋巴细胞分离液
F030218 HRP标记兔抗猪IgG抗体 Rabbit Anti-Pig IgG*HRP
ARB12346 大鼠层连蛋白/板层素(LN)尿液中含量检测 Rat laminin,ln ELISA KIT
SJ0130 Cellulose DE-52 纤维素 DE-52
ARB11676 人趋化因子(frActAlkIne/CX3CL1)Elisa定量检测 Human fractalkine/cx3cl1 ELISA KIT
ARB14074 人腺病毒Ⅳ抗体(AdenovIrus Ⅳ-Ab)含量检测
BL0931 RBITC标记兔抗猴IgG抗体
EveGreen (20×in water)(国产,进口)关键词:20×in water,EveGreen ,SY0258,EveGreen(20×水溶液),EveGreen (20×in water)
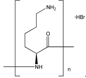
·多聚L-赖*酸(分子量15万~30万)
编号:SY0461
英文名称:Poly-L-lysine, Mw 150,000-300,000
规格:25mg
本品为多聚-L-赖*酸(Poly-L-lysine),分子量为150,000-300,000,适用于细胞培养。另外,以**酸(HBr)的形式提供,约1个赖*酸残基结合1分子的**酸,使其以稳定的结晶固体形式提供,并具有更强的水溶性。用作细胞培养基质,推荐使用量为:对于25cm2的培养板需要0.1mg/ml的聚赖*酸溶液约0.5ml-1.0ml。
多聚赖*酸(poly-lysine)是一种带正电荷的*基酸聚合物,能够结合于DNA,红细胞膜或任何带负电荷蛋白,是一种非特异性的细胞粘附因子,促进细胞吸附到固相基质上。作用机理在于其可增强细胞膜表面的负电荷离子和固相基质表面(如细胞培养皿,载玻片等)的静电相互作用。当吸附到培养表面后,多聚赖*酸提高用于细胞结合的阳离子结合位点数。多聚赖*酸分子量的大小与粘度相关,即分子量较低,粘度较低;分子量较高,粘度较高,提供的粘附位点也较多。分子量>30,000的聚赖*酸适用于促进细胞粘附到固体基质。
多聚赖*酸(poly-lysine)有两种常见亚型,D-和L-型。由于多聚赖*酸是细胞结合的非特异性粘附因子,因此两种亚型都可用作包被固体基质,在细胞培养中都可促进细胞的贴壁生长。
中文别名:多聚赖*酸溶液(L型)
英文别名:Poly-L-lysine Solution; PLL; Poly-L-lysine hydrobromide Solution
CAS:25988-63-0
分子式:L-Lys-(L-Lys)n-L-Lys·xHBr
分子量:150,000-300,000
外观:白色至类白色粉末
溶解性:溶于水(50mg/ml)
储存条件:-20℃干燥,有效期4年
结构式

注意事项
1)注意在细胞培养相关应用中,某些细胞会消化多聚 L-赖*酸并吸收,摄入过多的多聚 L-赖*酸会产生一定的细胞毒性。因此,遇到这种情况需选用多聚 D-赖*酸(Poly-D-lysine),如多聚D-赖*酸(5 mg/ml),分子量:150,000-300,000,细胞培养级,货号:SY0464。
2)将若想去除本品中的HBr,可将本品溶于中性缓冲液,可透析除去盐离子。
3)为了您的安全和健康,请穿实验服并戴一次性手套操作。
EveGreen (20×in water)(国产,进口)关键词:20×in water,EveGreen ,SY0258,EveGreen(20×水溶液),EveGreen (20×in water)
·BSA标准品(2mg/ml)
编号:SY0301
英文名称:Bovine Serum Albumin Standard(2mg/ml)
规格:10ml
本标准品为溶于PBS, pH 7.4的BSA溶液。BSA标准品是一种高质量的校准品,广泛用于总蛋白测定实验中来建立标准曲线和校准控制。BSA普遍认可为总蛋白定量的校准蛋白,此标准品可用作BCA,Bradford或其他蛋白测定实验中的蛋白浓度校准标准液。标准曲线的建立和校准对照用。此标准品的浓度为2mg/ml。
储存条件:-20℃。
·AhR-Luc荧光素酶报告基因质粒
编号:SY0095
英文名称:AhR luciferase reporter plasmid
规格:1μg
AhR荧光素酶报告基因(报告基因质粒)(AhR luciferase reporter plasimd)是用于检测AhR转录活性水平为目的的报告基因。芳香族化合物受体(Aryl
hydrocarbon receptor, AhR)是一个核受体转录因子。AhR广泛地参与多种细胞内的信号通路,包括核受体信号通路,缺氧诱导因子(hypoxia-inducible factor,HIF)信号通路,p53信号通
路以及细胞周期信号通路等。AhR通过对细胞内不同信号通路的调节作用从而影响了细胞的生长,增殖以及分化等过程。另外,AhR与癌症的发生和发展也密切相关,在许多的肿瘤细胞中都
发现了AhR的异常表达。
AhR报告基因主要用于检测细胞中AhR的转录活性、药物研究以及基因过表达和RNAi的表性分析等。
pGMAhR-Lu是我公司改造后的哺乳动物真核表达载体,在其多克隆位点插入了多个AhR结合位点,可以高灵敏度地检测AhR的激活水平。同时,对载体中预测出的其它转录因子以外的结
合位点进行了适当的突变,增加了质粒的转录因子结合特异性。由于质粒体积减小,使得AhR报告基因质粒更易于转染。
质粒图谱

注意事项
本质粒未经我公司允许不得用于任何商业用途,也不得移交给订货人实验室以外的任何人或单位。
为了您的健康,实验操作时请穿实验服和带一次性手套。
使用说明
pGMAhR-Lu可以采用常规转染方法转染哺乳动物细胞。用荧光素酶检测试剂盒或双荧光素酶检测试剂盒进行检测。
储存条件:-20℃。
我公司正在打折促销核酸电泳和回收全系列产品,恭候您的咨询选购EveGreen (20×in water)(国产,进口)。
风险提示:丁香通仅作为第三方平台,为商家信息发布提供平台空间。用户咨询产品时请注意保护个人信息及财产安全,合理判断,谨慎选购商品,商家和用户对交易行为负责。对于医疗器械类产品,请先查证核实企业经营资质和医疗器械产品注册证情况。
文献和实验国产新冠药物登顶 NEJM,疗效不输 Paxlovid,且不良事件更少
病毒的药物——VV116,其作为对严重急性呼吸综合征具有有效活性的口服抗病毒药物,同时是我国首个国产靶向新冠病毒 RNA 复制酶的小分子药物抑制剂。 2022 年 12 月 28 日,上海瑞金医院赵任教授、宁光院士、上海仁济医院皋源教授等团队联合在国际医学顶刊 NEJM 杂志上发表研究论文 VV116 versus Nirmatrelvir–Ritonavir for Oral Treatment of Covid-19。 该研究首次报告感染奥密克戎病毒且具有高危症状的患者的 3 期临床
189 本国产 SCI 大盘点,原来国产 SCI 这么优秀了!
实验菌整理了很多资料,带大家一起去盘点所有的国产 SCI!经过这么些年的不断发展,国产 SCI 已经不容小觑了,全球所有的 SCI 杂志有近 9000 本,而 2019 年国产 SCI 期刊共 189 本,生物医学类国产 SCI 期刊共计 64 本!5 分以上的期刊一共有 8 本,具体如下:3-5 分的期刊一共有 14 本,具体如下:2-3 分的期刊一共有 9 本,具体如下:1-2 分的期刊一共有 20 本,具体如下:1 分以下的期刊一共有 13 本,具体如下:国产 SCI 现状分析1、高分
品?辣鸡!酵素就是酶,活素水就是加了氢气的水,磁化水就是杯底有块磁铁的水,蜂蜜就是糖,酸碱体质是伪科学,五行蔬菜汤就是脱水蔬菜……当然,鸿茅药酒惹不起惹不起10. 大多时候能言善辩,特定条件及其怯场面对台下几百号专家学者可以做到口若悬河滔滔不绝有理有据侃侃而谈,单独面对异性却磕磕巴巴不知道说啥。(本条仅限于描述部分博士)11. 不看玛丽苏网文/国产雷剧「我爷爷 12 岁那年死在日本侵略者的刺刀下」「八百里开外一枪干掉鬼子机枪手」这种刷智商下限的东西,绝对不能忍!13. 不关心明星,却热衷学者八卦
技术资料暂无技术资料 索取技术资料










