相关产品推荐更多 >
万千商家帮你免费找货
0 人在求购买到急需产品
- 详细信息
- 文献和实验
- 技术资料
- 保存条件:
-20℃
- 保质期:
2年
- 英文名:
UTP Solution(100 mM)
- 库存:
692
- 供应商:
北京百奥莱博科技有限公司
特别声明:本产品及我公司所售其他产品均为科研类试剂产品,严禁用于药物、医疗及其他非科研用途。
北京百奥莱博主要从事生物试剂的生产和销*(代"售"),产品线涵盖尿苷三磷酸溶液(100 mM)(UTP)现货价格在内的分子生物学试剂产品,还包括PCR及荧光定量PCR、核酸提取试剂盒类、样本核酸保护试剂、核酸提取、克隆与转化、蛋白纯化、蛋白检测、免疫组化、细胞凋亡与抗体等。
名称:尿苷三磷酸溶液(100 mM)(UTP)现货价格
品牌:百奥莱博
规格:1ml
编号:SY0054
英文名:UTP Solution(100 mM)
产地:国产|进口
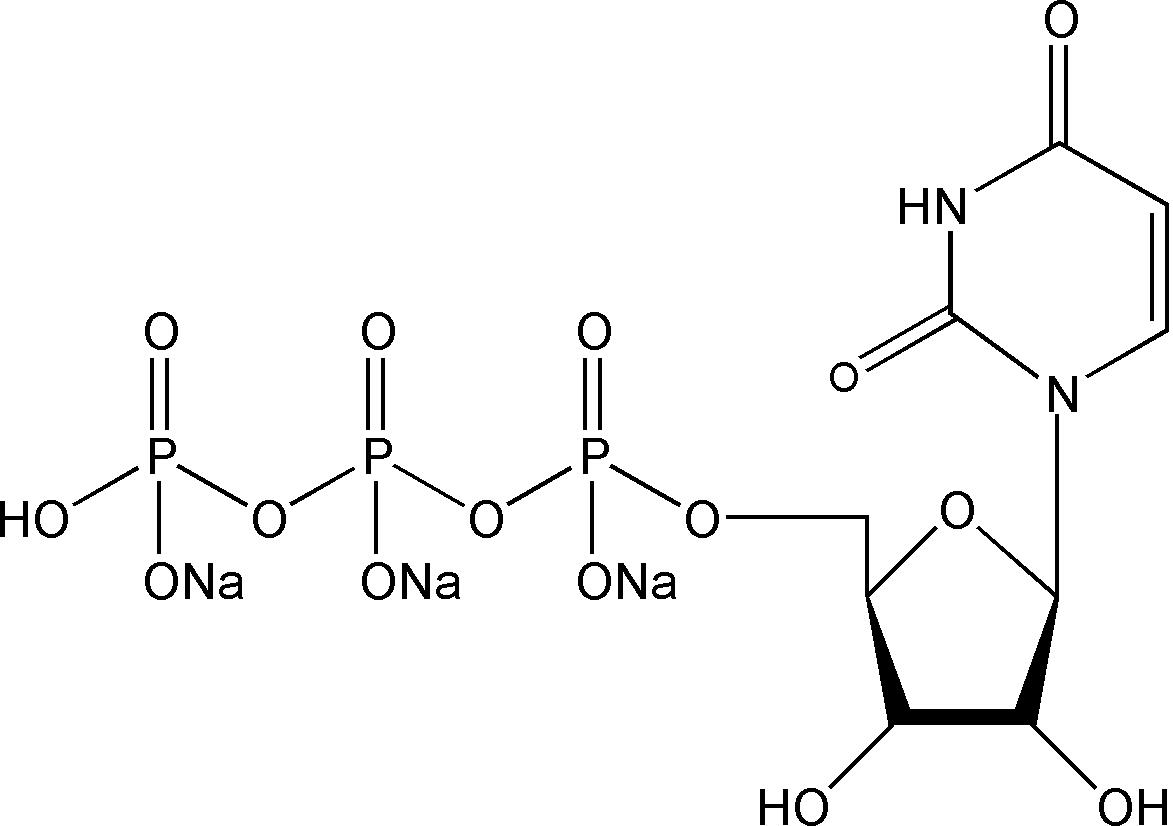
UTP即Uridine-5-triphosphate,中文名为尿苷-5’-三磷酸,可用于分子生物学中多种相关应用,如体外转录、RNA扩增、siRNA合成等。UTP还可参与半乳糖代谢,在此代谢途径中活化形式的UDP-半乳糖转换为UDP-葡萄糖,后者进入糖原合成途径。
本产品为纯度≥99%(HPLC)的UTP三*盐配制所得的无色透明水溶液, pH (25℃)= 7.0±0.1,浓度为100mM,且无DNase和RNase污染。
英文别名:Uridine-5-triphosphate, trisodiu*(代"m") salt
CAS:63-39-8 (acid form); 19817-92-6 (3Na salt)
分子式:C9H12N2Na3O15P3
分子量:550.09 (acid form: 484.09)
纯度:HPLC ≥99%
外观:无色透明液体
结构式:
储存条件:-20℃,有效期2年。
我公司的尿苷三磷酸溶液(100 mM)(UTP)现货价格,性价比高,货期短,送货上门,欢迎您来电咨询购买,另外,我公司还生产供应销*(代"售")下列产品:
·Goldview核酸染料(10000×)
编号:SY0243
英文名称:Goldview Nucleic Acid Gel Stain (10,000×)
规格:1ml
GoldView是一种可替代*化乙锭(EB)的新型核酸染料,采用琼脂糖凝胶电泳检测DNA 时,其与DNA发生结合并产生很强的荧光信号,灵敏度与 EB 相当,使用方法与之完全相同。在紫外透射光下双链DNA呈现绿色荧光,而单链DNA呈现红色荧光。GoldView特别适合大片段(>1 kb)DNA的检测,灵敏度高。也可用于RNA的染色。
使用方法
1) 将100 ml琼脂糖凝胶溶液(浓度一般为0.8%-2%)在微波炉中融化。
2) 加入5-10 μl GoldView(若背景过高可以适当减少用量;若灵敏度过低,可以适当增加用量),轻轻摇匀,避免产生气泡。
3) 冷却至不烫手时倒胶,待琼脂糖凝胶完全凝固后上样电泳。
4) 电泳完毕,使用凝胶成像系统或可见光透射仪观测。注:若使用凝胶成像系统照相时,通过调节光圈、曝光时间选择合适的滤光片,可得到成像清晰、背景较低的照片。
注意事项
1) 胶厚度不宜超过0.5cm,胶太厚会影响检测的灵敏度。
2) 加入GoldView的琼脂糖凝胶反复融化可能会对核酸检测的灵敏度产生一定影响。
3) GoldView特别适用于大片段(>1 kb)DNA的检测。对于更小片段的DNA,特别是<500bp检测信号可能很弱或者无信号。对于<500bp的DNA染色,建议使用SYBR Green I 核酸染料。
4) 含GoldView的凝胶不适合进行胶回收实验。
5) Goldview的主要成分是吖啶橙,具有细胞渗透性,有一定的细胞毒性。建议操作人员使用时做好防护措施,带上手套和口罩。并妥善处理好废弃物。
6) 另提供无毒的EB替代物-Dured核酸染料(SY0244),强烈推荐使用。
7) 为了您的安全和健康,请穿实验服并戴一次性手套操作。
储存条件:RT。
尿苷三磷酸溶液(100 mM)(UTP)现货价格关键词:63-39-8,Uridine-5-triphosphate, trisodiu*(代"m") salt,100 mM,尿苷三磷酸溶液
·快速核酸银染试剂盒
编号:SY0274
英文名称:Rapid Silver Stain Kit for Nucleic Acid
规格:1000ml
分子生物学实验中,常利用银染的方法显示聚丙*(代"烯")酰胺凝胶或者琼脂糖凝胶中的核酸条带,其检测原理是:银离子(Ag+)可与核酸形成稳定的复合物,随后Ag+ 在碱性环境下被还原剂如甲醛还原成银颗粒,后者通过显色可把核酸电泳条带染成黑褐色。该方法检测灵敏度比EB高达200倍,常用于检测SSR标记、SNP标记等。
常规的银染方法由固定、氧化、染色、显影、终止等若干个步骤组成,操作十分繁琐,尤其不适用于大批量实验。而本品的推出可大大改善上述问题,主要体现在:1)超快速,整个过程仅需20分钟;2)操作简单,只有染色和显影两步;3)灵敏度跟常规方法相当,比EB高200倍,能检测到10ng的DNA条带。4)两个成分都是现用现配,可重复性好。
按照本方案提供的配制方法,共可配制试剂A和试剂B分别1000ml。
产品组份:
| 组分名称 | 规格 | 外观 |
| 试剂A 1 | 2g | 干粉 |
| 试剂A 2(10×) | 100ml | 液体 |
| 试剂A 3(10×) | 100ml | 液体 |
| 试剂B 1(10×) | 100ml | 液体 |
| 试剂B2 | 5ml | 液体 |
注意事项:
1)为了您的安全和健康,请穿实验服并戴一次性手套操作。
2)银染主要出现在PAGE胶的表面,因此该方法更适合用于薄胶(0.5-0.75mm)的检测。
3)染色过程中,缓慢的振荡是必要的,一般选择40-60 rpm。
4)凝胶表面的裂纹多是由于压力、手印及表面干燥所致,所以全程操作中都应带手套。
5)PAGE凝胶背景呈均一的黑色多是水中的杂质引起的,所以溶液的配制应使用电导率小于1 μS的去离子水。
6) 如果染色后有呈灰尘或烟雾状灰色或棕色的沉淀出现在凝胶表面,可能是几步漂洗过程不够彻底,或染色过程温度太低。
7)较深的银染背景多是丙*(代"烯")酰胺中的杂质所致。
8)室温操作时,温度的波动往往会干扰银染的效果,恒温水浴可以解决这个问题。
9)染色使用的玻璃器皿必须非常干净,用酸浸泡可以满足要求。
10)银染应尽快照相,随着时间延长,蛋白条带会变浅,而背景会加深。
11)影响硝酸*(代"银")染色效果的因素很多,其使用容器的材质也是一个非常重要的因素。通常玻璃平皿是最理想的银染容器,其化学性质极其稳定,几乎不与银染试剂中的任何成分发生反应,且不具有吸附染料的特性。其次是医用搪瓷盘,瓷釉为无机玻璃质材料,能耐各种浓度的无机酸(包括强氧化性酸)、有机酸、弱碱和强有机溶剂,但不耐酸、碱介质交替使用,而常规银染法就是酸碱介质交替使用,因此搪瓷盘银染效果不如玻璃平皿。塑料种类较多,如果塑料是由含*基官能团的有机物(脲、三聚*胺或*代三聚*胺)与醛类(主要是甲醛)化合物经缩聚反应而得,则这种塑料会在碱性溶液中与有强还原作用的甲醛发生反应,进而使甲醛消耗,减弱银离子与蛋白的结合,降低显色敏感度和显色速度。
操作方法
1 配制试剂A(以100ml为例)
所需要配制的试剂A(即染色液)的体积跟PAGE胶的大小相关,一般的mini-PAGE胶需要20-30mL。本方案以配制100mL试剂A为例进行详述,请根据具体凝胶大小,确定实际所需染色液用量,再按比例改变各组分用量。
以100ml试剂A为例,在一干净烧杯中加入下列组分搅拌混匀即可。试剂A需要新鲜配制。
去离子水:80 mL
试剂A1:0.2 g
试剂A2:10 mL
试剂A3:10 mL
2 配制试剂B(以100ml为例)
所需要配制的试剂B(即显色液)的体积跟PAGE胶的大小相关,一般的mini-PAGE胶需要20-30mL。本方案以配制100ml试剂B为例进行详述,请根据具体凝胶大小,确定实际所需试剂B用量,再按比例改变各组分用量。
以100ml 为例,在一干净烧杯中加入下列组分搅拌混匀即可。试剂B需要新鲜配制。
去离子水:89.5 mL
试剂B1:10 mL
试剂B2:0.5 mL
3 染色
1)PAGE电泳结束后,将PAGE胶转移到装有去离子水的瓷盘中,进行漂洗,2min/次,共2次。
2)将PAGE胶转移到适当体积的试剂A,使试剂A在轻柔摇晃过程中能够淹没PAGE胶。室温染色10min。
3)倒掉试剂A,用去离子水快速漂洗2次,每次30秒。
4)将PAGE胶转移到适当体积的试剂B,使试剂B在轻柔摇晃过程中能够淹没PAGE胶。室温摇晃直到颜色显现,一般需要10min左右。
5)将PAGE胶置于适当背景下照相。
尿苷三磷酸溶液(100 mM)(UTP)现货价格关键词:63-39-8,Uridine-5-triphosphate, trisodiu*(代"m") salt,100 mM,尿苷三磷酸溶液
·SMAD-Luc荧光素酶报告基因质粒
编号:SY0101
英文名称:SMAD luciferase reporter plasmid
规格:1μg
SMAD荧光素酶报告基因(报告基因质粒)(SMAD luciferase reporter plasimd)是用于检测SMAD转录活性水平为目的的报告基因。SMAD(drosophila mothers against decapentaplegic )蛋白家族在将TGF-β信号从细胞表面受体传导至细胞核的过程中起到关键性作用,且不同的Smad介导不同的TGF-β家族成员的信号转导。TGF-β信号通路涉及细胞的增殖和分化 ,在肿瘤发生与进展、细胞外基质形成和免疫调节等过程中发挥重要作用。
SMAD报告基因主要用于检测细胞中Smad调控的信号通路的活性、药物研究以及基因过表达和RNAi的表型分析等。
pGMSMAD-Lu是我公司改造后的哺乳动物真核表达载体,在其多克隆位点插入了多个SMAD结合位点,可以高灵敏度地检测SMAD的激活水平。同时,对载体中预测出的其它转录因子以外的结合位点进行了适当的突变,增加了质粒的转录因子结合特异性。由于质粒体积减小,使得SMAD报告基因质粒更易于转染。
质粒图谱
注意事项
本质粒未经我公司允许不得用于任何商业用途,也不得移交给订货人实验室以外的任何人或单位。
为了您的健康,实验操作时请穿实验服和带一次性手套。
使用说明
1.pSMAD可以采用常规转染方法转染哺乳动物细胞。用荧光素酶检测试剂盒或双荧光素酶检测试剂盒进行检测。
2.SMAD的激活剂,可作为SMAD报告基因的阳性对照。
储存条件:-20℃。
北京百莱博科技有限公司专业生产核酸扩增(PCR)产品,欢迎来电咨询选购尿苷三磷酸溶液(100 mM)(UTP)现货价格。
风险提示:丁香通仅作为第三方平台,为商家信息发布提供平台空间。用户咨询产品时请注意保护个人信息及财产安全,合理判断,谨慎选购商品,商家和用户对交易行为负责。对于医疗器械类产品,请先查证核实企业经营资质和医疗器械产品注册证情况。
文献和实验试剂 A. 生物素标记过氧化物酶 1 瓶 (100ul) 试剂 B. 链霉亲和素 1 瓶 (100ul) 临用前,将试剂A 和 B 与 10ml 的 PBS 缓冲液混匀即可 .( 备注 : 不含二抗 )
polymerase as appropriate 2. Mix then spin down briefly. 3. Incubate at 37'C for 2-3 hours. 4. Add 2 ul DNase I, RNase free to remove DNA template. 5. Incubate at 37'C for 15 minutes. 10X NTP Labeling Mix: 10mM ATP, CTP, GTP, 6.5mM UTP, 3.5mM DIG in Tris
for 15 minutes. 10X NTP Labeling Mix: 10mM ATP, CTP, GTP, 6.5mM UTP, 3.5mM DIG in Tris-HCl, pH 7.5. 10X Transcription Buffer: 400mM Tris-HCl, pH 8.0; 60mM MgCl2, 100mM dithioerythritol, 20mM spermidine, 100mM NaCl, 1U/ml RNase Inhibitor
技术资料暂无技术资料 索取技术资料










