万千商家帮你免费找货
0 人在求购买到急需产品
- 详细信息
- 文献和实验
- 技术资料
- 保存条件:
阴凉干燥
- 保质期:
长期
- 英文名:
Andrographolide
- 库存:
370
- 供应商:
北京百奥莱博科技有限公司
- CAS号:
5508-58-7
特别声明:本产品及我公司所售其他产品均为科研类试剂产品,严禁用于药物、医疗及其他非科研用途。
穿心莲内酯对照品北京厂家现货是高品质的标准品对照品产品,由北京百奥莱博供应,用于生化科研试验,本产品质量好,且极具价格优势,深为用户称道,了解更多穿心莲内酯等标准品对照品产品请联系我司咨询订购。
北京百奥莱博科技有限公司专业生产供应穿心莲内酯对照品北京厂家现货,产品信息:
类别:标准品对照品
英文名:Andrographolide
| 产品名 | CAS号 | 包装规格 |
| 穿心莲内酯 | 5508-58-7 | 约20mg/支 |
品牌:百奥莱博
规格:约20mg/支
英文名:Andrographolide
编号:BP1088
产地:国产|进口
本品为穿心莲内酯化学对照品,供鉴别和含量测定用,使用前不需干燥处理。含量以99.7%计。
CAS号:5508-58-7
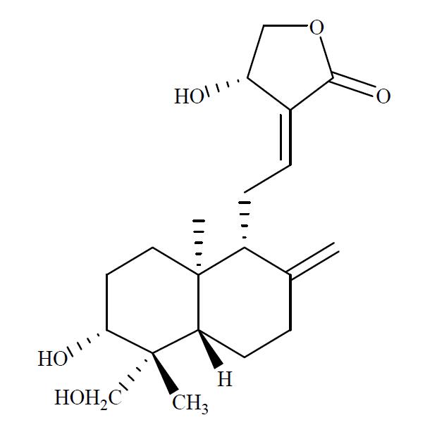
分子式:C20H30O5
分子量:350.45
结构式:

包装:棕色安瓿
规格:约20mg/支
储存条件:冷冻保存
穿心莲内酯对照品北京厂家现货专业优质供应商:北京百奥莱博科技有限公司
关键词:Andrographolide,5508-58-7,穿心莲内酯
本公司免费技术支持,由专业的技术人员和销*(代"售")人员为科研用户提供全面的技术支持和完善的售前、售中、售后服务。百奥莱博暑期大促,凡够买我司各种生物试剂、抗体、ELISA试剂盒、抗原、血清、血浆、穿心莲内酯、脱纤维血、抗凝血、裂解血、分子生物学试剂、培养基等优质试剂,均可享受超低会员价,各种高品质科研试剂及各种规格包装均可定制,如有需要请联系我们。
除穿心莲内酯对照品北京厂家现货外,我公司正在打折促销以下产品:
| 编号 | 名称 | 英文名称 |
| BP1279 | 老龙皮酸(网脊衣酸A) | Retigeric Acid A |
| BP0239 | 阿司咪唑 | Astemizole |
| BP0613 | 盐*(代"酸")罗格列酮杂质 | Rosiglitazone Hydrochloride Impurity |
| BP1870 | *乙酰谷*酰胺 | Phenylacetyl Glutamine |
| BP0062 | 盐*(代"酸")克仑特*(代"罗") | Clenbuterol Hydrochloride |
| BP1229 | 重楼皂苷VI | Chonglou saponin VI |
| BP0097 | 醋酸可的松 | Cortisone Acetate |
| BP1874 | 尖吻蝮蛇血凝酶 | Haemocoagulase Agkistrodon |
| BP2052 | 枸橼酸三乙酯 | Triethyl Citrate |
| BP1561 | 两性霉素B | Amphotericin B |
| BP1333 | 当药苷 | Sweroside |
| BP0229 | 尿素 | Urea |
| BP1597 | 新霉胺 | Neamine |
| BP1200 | 小茴香油 | Fennel essential oil |
| BP1471 | 狼毒乙素 | 2,4-dihydroxy-6-methoxy-3-methylacetophenone |
| BP1030 | 丁香酚 | Eugenol |
| BP1375 | 紫苏醛 | Perilladehyde |
| BP2025 | 甘油 | Glycerol |
| BP0181 | 盐*(代"酸")罗通定 | Rotundine hydrochloride |
| BP1953 | 醋酸特利加压素 | Terlipressin acetate |
我公司强烈推荐标准品对照品系列产品,热情期待您的咨询选购穿心莲内酯对照品北京厂家现货。
风险提示:丁香通仅作为第三方平台,为商家信息发布提供平台空间。用户咨询产品时请注意保护个人信息及财产安全,合理判断,谨慎选购商品,商家和用户对交易行为负责。对于医疗器械类产品,请先查证核实企业经营资质和医疗器械产品注册证情况。
文献和实验液相色谱-蒸发光散射检测法测定其黄芪甲苷的含量,报道如下。 1 仪器与试药 LC�10ATvp高效液相色谱仪(日本岛津公司);ELSD�2000蒸发光检测器(美国Alltech);黄芪甲苷对照品(中国药品生物制品检定所提供,批号为110781�200311,为含量测定用);乙腈为色谱纯,水为经Milli�Q过0.22μm膜净化的超纯水,其它试剂均为分析纯。心舒康片样品(厂家提供)。 2 方法与结果 2.1 色谱条件 色谱柱为Agilent HC�
混合器(海门麒麟医用仪器厂);日本A&D电子分析天平。 心达康对照品:槲皮素、山奈素和异鼠李素(中国药品生物制品检定所,供含量测定用);心达康片样品(四川雅达药业股份有限公司提供,批号:050501、050502、050503,总黄酮标示量为5mg/片)。 甲醇(色谱纯);水为重蒸水;其他试剂均为分析纯。 2 方法和结果 2.1 对照品溶液的制备 分别取心达康对照品(槲皮素、山奈素、异属李素)适量,用甲醇配成含槲皮素19.69
器、绘图仪,绘出的峰是通过手工测量计算峰面积。后来的高压泵精度很高并可编程进行梯度洗脱,柱填料从单一品种发展至几百种类型,检测器从单波长至可变波长检测器、可得三维色谱图的二极管阵列检测器、可确证物质结构的质谱检测器。数据处理不再用绘图仪,逐渐取而代之的是最简单的积分仪、计算机、工作站及网络处理系统。 目前常见的HPLC仪生产厂家国外有Waters公司、Agilent公司(原HP公司)、岛津公司等,国内有大连依利特公司、上海分析仪器厂、北京分析仪器厂等。 一、输液泵 1.
技术资料暂无技术资料 索取技术资料










