万千商家帮你免费找货
0 人在求购买到急需产品
- 详细信息
- 文献和实验
- 技术资料
- 保存条件:
冷藏
- 保质期:
长期
- 英文名:
Streptomycin
- 库存:
708
- 供应商:
北京百奥莱博科技有限公司
- CAS号:
3810-74-0
特别声明:本产品及我公司所售其他产品均为科研类试剂产品,严禁用于药物、医疗及其他非科研用途。
百奥莱博公司致力于为全国科研单位提供药典标准品、对照品、标准溶液、标准样品、对照培养基、国家标准品等可靠标准物质,其中链霉素标准品特价优惠的品质过硬,在广大科研人员中有口皆碑!
名称:链霉素标准品特价优惠
编号:BP1554
品牌:百奥莱博
产地:国产|进口
规格:200mg/支
本品为链霉素标准品,供抗生素微生物效价测定用,含量以链霉素单位计,每毫克相当于726单位,使用前不需干燥处理。
CAS号:3810-74-0
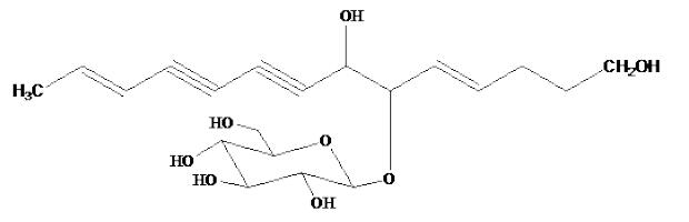
分子式:(C21H39N7O12)2·3H2SO4
分子量:1457.40
结构式:

包装:白色安瓿
规格:约200mg/支
储存条件:2-8℃遮光保存
想要了解更多关于链霉素标准品特价优惠的价格、品牌、厂家、说明书、促销信息,请和我们联系。此外我公司还销*(代"售")下面的产品:
·铁蛋白
编号:BP1940
英文名称:Ferritin
规格:790ng/支
本品为铁蛋白免疫测定用标准品,以高纯度铁蛋白为原料制备,供铁蛋白免疫分析使用,适用于化学发光、时间分辨免疫荧光等方法。
性状:白色冻干粉末
包装:白色安瓿瓶
规格:每支安瓿内含铁蛋白约790ng,本品为冻干品。
特性量值:溯源至铁蛋白国际标准品(NIBSC94/572),经协作标定,每支安瓿内铁蛋白免疫活性为790ng。
使用方法和要求:建议使用时以1.0mL蒸馏水将内容物完全溶解,充分混合后使用。
储存条件:-20℃,避免反复冻融。
请按说明书规定使用,
·柠檬苦素(吴茱萸内酯)
编号:BP1089
英文名称:Limonin(Evodin)
规格:约20mg/支
本品为柠檬苦素(吴茱萸内酯)化学对照品,供含量测定用,使用前不需干燥处理。含量以97.9%计。
CAS号:1180-71-8
分子式:C26H30O8
分子量:470.51
结构式:

包装:棕色安瓿瓶
规格:约20毫克/支
储存条件:冷冻保存
注意事项:本品甲醇溶液不稳定,临用现配。
·盐*(代"酸")噻*匹定
编号:BP0412
英文名称:Ticlopidine Hydrochloride
规格:100mg
本品为柠檬苦素(吴茱萸内酯)化学对照品,供含量测定用,使用前不需干燥处理。含量以97.9%计。
CAS号:1180-71-8
分子式:C26H30O8
分子量:470.51
结构式:

包装:棕色安瓿瓶
规格:约20毫克/支
储存条件:冷冻保存
注意事项:本品甲醇溶液不稳定,临用现配。
·党参炔苷
编号:BP1324
英文名称:Lobetyolin
规格:10mg/支
本品为党参炔苷化学对照品,供相关物质鉴别用,使用前不需干燥处理。
CAS号:136085-37-5
分子式:C20H28O8
分子量:396.43
结构式:

包装:棕色安瓿瓶。
装量:约10mg/支
储存条件:冷冻
链霉素标准品特价优惠关键词:Streptomycin,链霉素,3810-74-0
我公司始终坚持“创新,品质,服务,节约,敬业,感恩”的理念。吸收新创意,严把质量关口,全方位的服务跟踪,坚持做出高品质产品。本着“追求、员工、技术、精神、利益”的宗旨。现拥有一批精干的管理人员和一支高素质的专业技术队伍。我们以质量为生命、时间为信誉、价格为竞争力的经营信念,立足于国内外市场。目前已在全国各大院系,和研究单位均有销*(代"售"),也得到了客户的认可。百奥莱博生产的链霉素等试剂进入飞速发展期,为了更好的服务客户,公司长期储备海量库存,以此助推中国科技的快速发展,更好的造福人类!
胆酸*(猪) Cholic acid 206986-87-0
9031-72-5 乙醇脱*酶 Alcohol Dehydrogenase
HC0047 1.8ml冻存管内旋
F030411 胶体金标记山羊抗小鼠IgA抗体 Goat Anti-Mouse IgA*GOLD
ARB12985 小鼠抗IVIgG抗体定量分析 Mouse anti-ivigG antibody ELISA KIT
HC0083 PCR八连排管(平盖)
ARB13357 牛白介素2(IL-2)elisa测定使用说明书 Bovine interleukin 2,IL-2 ELISA KIT
十六烷基三甲基*化铵 Inosine 5"-Monophosphate Disodiu*(代"m") Salt Hydrate 57-09-0
F030606 FITC标记山羊抗小鼠IgG2a抗体 Goat Anti-Mouse IgG2a*FITC
ARB13345 牛β-羟基丁酸(Bhb)ELISA检测服务
4-羟基偶氮* Calcium Glycinate 1689-82-3
ARB12158 大鼠白介素1受体拮抗剂(IL1RA)酶免分析 Rat interleukin 1 receptor antagonist, IL-1ra ELISA KIT
BL1090 新生牛血清
SJ0769 麦芽侵粉
PY04-075 *霉素溶液 10mg/支×10支 " 每支添加于100ml孟加拉红琼脂培养基基础中。
PY01-036 抗坏血酸 AR|BR 25克
ARB12718 大鼠髓过氧化物酶特异性抗中性粒细胞胞质抗体IgG(MPO-ANCA IgG)Elisa分析 Rat myeloperoxidase-antineutrophil cytoplasmic antibody igg,mpo-anca igG ELISA KIT
茉莉酮酸甲酯 Abietic acid 1211-29-6或39924-52-2
链霉素标准品特价优惠关键词:Streptomycin,链霉素,3810-74-0
链霉素为高校实验室,各大科研单位专用试剂,不得用于生产或者其它用途,本公司提供各种品牌的进口的试剂来满足不同客户的需求,欢迎前来订购!
5-乙酰基-2-*吡*(代"啶") Ascorbyl palmitate 139042-59-4
甲*-4-磺酸 L-Tyrosine methyl ester hydrochloride 6192-52-5
SJ0734 牛外周血细胞分离液
F040203 人类乙型肝炎病毒重组C抗原 HBcAg
蓝色琼脂糖凝胶6FF WSC
9048-46-8 牛血清白蛋白(全组分) Albumin Bovine
BTN101112 柱式水样DNAOUT Column Water DNAOUT
硅钨酸 8-Hydroxyquinaldine 12027-43-9
SJ0676 Marker Ⅱ
NF-220 羊抗人CP血清
ARB11234 人细胞凋亡抑制因子(IAP)尿液中含量检测 Human inhibitor of apoptosis,iap ELISA KIT
PY02-044 庆大霉素培养基基础 250克
*化银 PLP 7783-90-6
间甲氧基*乙酸 Carboxymethyl cellulose CM-23 1798-09-0
BTN90208 SURE感受态细胞 SURE Competent Cell
BL0112 10000*gelgreen核酸染料
我公司主要从事免疫学、分子生物学和常规生化试剂的研发、销*(代"售")。并代理销*(代"售")R&D、Sigma、Amresco 、Gibco、Pharmacia、HyClone、GIBCO等多个国外知名品牌,致力于为广大高校、科研院所和企事业单位提供一流的科研试剂和完善的技术服务,满足生物化学、分子生物学 、细胞生物学、免疫学等生物科技实验需求。 公司主要产品:试剂盒:链霉素、ELISA试剂盒、分子生物学试剂、细胞凋亡试剂盒。各种动物血清:NBQQ、HyClone、GIBCO胎牛血清。抗体:进口原装抗体、进口分装抗体、单克隆抗体、多克隆抗体、一抗、二抗。 我们立足于生命科学领域,全力打造高品质生物科技产品链和技术服务链,立志成为生命科学研究领域的问题解决专家。
我公司强烈推荐标准品对照品系列产品,热情期待您的咨询选购链霉素标准品特价优惠。
风险提示:丁香通仅作为第三方平台,为商家信息发布提供平台空间。用户咨询产品时请注意保护个人信息及财产安全,合理判断,谨慎选购商品,商家和用户对交易行为负责。对于医疗器械类产品,请先查证核实企业经营资质和医疗器械产品注册证情况。
文献和实验相关专题 生物帮之抗体制备 (一)抗原 制备 Ig是免疫球蛋白,对异种动物而言,是良好的抗原 物质。可以刺激异种动物产生抗Ig血清,经适当提取后,产生抗Ig抗体,又叫第二抗体或抗抗体。在多数的间接标记反应中,均需制备抗Ig抗体。 (二)材料与试剂 1.提取的动物Ig 2.弗氏完全佐剂和弗氏不完全佐剂 3.青霉素和链霉素 4.实验动物 兔 5.其它材料
(一)抗原制备 Ig是免疫球蛋白,对异种动物而言,是良好的抗原物质。可以刺激异种动物产生抗Ig血清,经适当提取后,产生抗Ig抗体,又叫第二抗体或抗抗体。在多数的间接标记反应中,均需制备抗Ig抗体。 (二)材料与 试剂 1.提取的动物Ig 2.弗氏完全佐剂和弗氏不完全佐剂 3.青霉素和链霉素 4.实验动物 兔 5.其它材料及 试剂
质分子量标准(19-119KD) (50次)--每支 280元 五. 秋季部分产品特价促销单 具体产品和价格如下: 一. DNA分子量标准产品: DNA分子量标准 规格 优惠价 DL2000 50次 58元 参照片断(bp):100 、250、500、750、1000、2000bp Marker1 50次 58元 参照片断(bp):100 、200、300、400、500、600bp Marker2 50次 58元 参照片断(bp):100 、300、500
技术资料暂无技术资料 索取技术资料









