万千商家帮你免费找货
0 人在求购买到急需产品
- 详细信息
- 文献和实验
- 技术资料
- 保存条件:
阴凉干燥
- 保质期:
长期
- 英文名:
Sunset yellow
- 库存:
820
- 供应商:
北京百奥莱博科技有限公司
- CAS号:
2783-94-0
特别声明:本产品及我公司所售其他产品均为科研类试剂产品,严禁用于药物、医疗及其他非科研用途。
北京日落黄标准品价格由专业试剂供应商北京百奥莱博提供,用于生化科研试验,本产品质量好,且极具价格优势,深为用户称道,了解更多日落黄等标准品对照品产品请联系我司咨询订购。
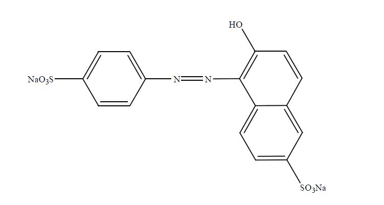
名称:北京日落黄标准品价格
编号:BP2163
产地:国产|进口
英文名:Sunset yellow
本品为日落黄化学对照品,供乌梅(炙乌梅)补充检验方法用,含量以86.9%计,使用前不需干燥处理。
CAS号:2783-94-0
分子式:C16H10N2Na2O7S2
分子量:451.97
结构式:

包装:棕色安瓿瓶
规格:约50mg/支
储存条件:阴凉处保存
注意事项:本品极具引湿性,建议打开包装一次使用完毕。
欲了解更多北京日落黄标准品价格的品牌、产地、价格及说明书等产品信息,请致电北京百奥莱博科技有限公司,我们将竭诚为您服务,另外,以下产品正在火爆促销:
·磷酸奥司他韦杂质Ⅰ
编号:BP0987
英文名称:Oseltamivir Phosphate Impurity Ⅰ(Methyl (3R,4R,5S)-4-acetamido-5-amino-3-(1-ethylpropoxy)cyclohex-1-ene-1-carboxylate Phosphate)" title="Oseltamivir Phosphate Impurity Ⅰ(Methyl (3R,4R,5S)-4-acetamido-5-amino-3-(1-ethylpropoxy)cyclohex-1-ene-1-carboxylate
规格:30mg/支"
·盐*(代"酸")齐拉西酮
编号:BP0657
英文名称:Ziprasidone Hydrochloride
规格:100mg
·20(S)-人参皂苷F2
编号:BP1346
英文名称:20(S)-Ginsenoside F2
规格:约20mg/支
本品为20(S)-人参皂苷F2化学对照品,供鉴别和含量测定用,含量以94.8%计,使用前不需干燥处理。
CAS号:62025-49-4
分子式:C42H72O13
分子量:785.01
结构式:

包装:棕色安瓿瓶
规格:约20mg/支
储存条件:冷冻保存
注意事项:本品有引湿性,开封后一次使用完毕。
·大蒜素
编号:BP0307
英文名称:Alltride
规格:0.5ml
本品为大蒜素(Alltride)化学对照品,供HPLC和GC法含量测定用。
分子式:CHS6103
分子量:178.33
包装及装量:安瓿,0.5ml/支
储存条件:4℃避光保存。开启后请一次使用完毕。
·三(壬基酚)亚磷酸酯(抗氧剂1178)
编号:BP2106
英文名称:Tris(nonylphenyl) phosphite
规格:1ml/支
本品为大蒜素(Alltride)化学对照品,供HPLC和GC法含量测定用。
分子式:CHS6103
分子量:178.33
包装及装量:安瓿,0.5ml/支
储存条件:4℃避光保存。开启后请一次使用完毕。
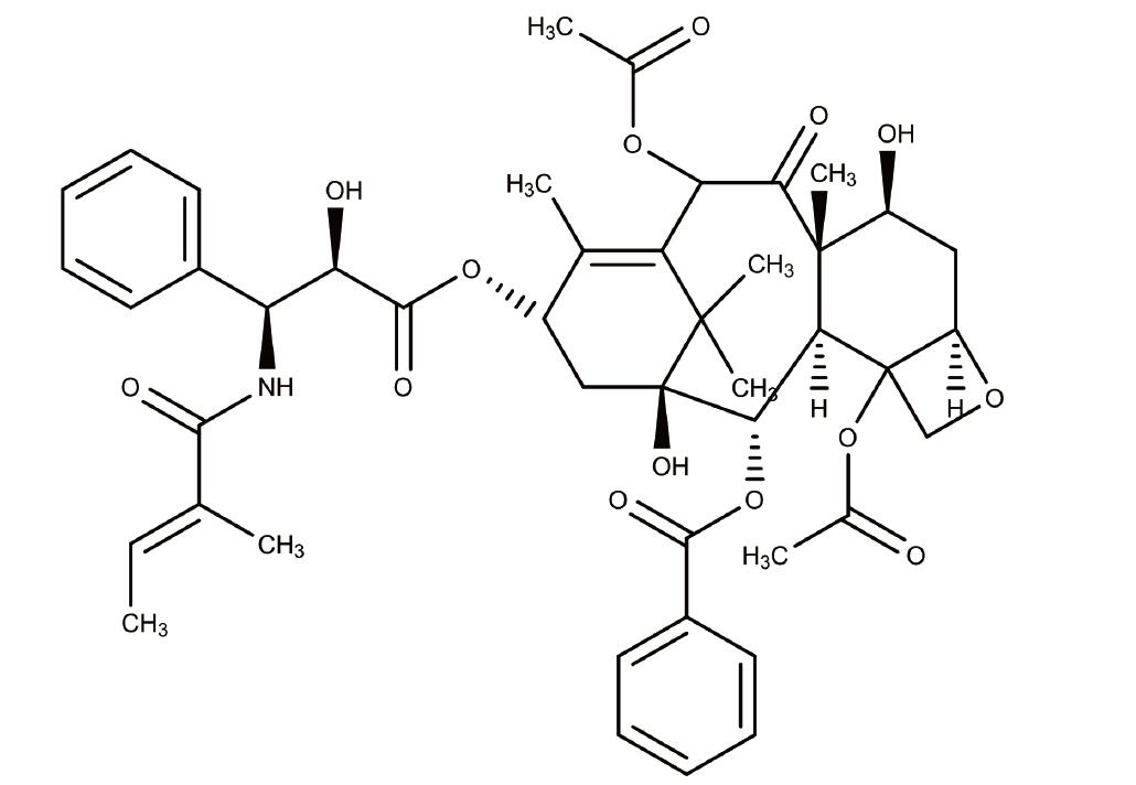
·三尖杉宁碱(紫杉醇杂质I)
编号:BP0700
英文名称:Cephalomannine
规格:20mg/支
本品为三尖杉宁碱(紫杉醇杂质I)化学对照品,供HPLC法系统适用性试验用,使用前不需干燥处理。
CAS号:71610-00-9
分子式:C45H53NO14
分子量:831.90
结构式:

包装:棕色西林瓶。
规格:约20毫克/支。
储存条件:遮光,密封,在冷处保存。
北京日落黄标准品价格关键词:日落黄,Sunset yellow,2783-94-0
我公司竭诚为广大科研用户提供最全面,最优质,价格最具优势的日落黄,免费为您提供全程技术指导,解决您的后顾之忧。公司供应各种高品质科研试剂及各种规格包装定制,如有所需请联系我们。
ARB12300 大鼠抗红细胞抗体(RBC)elisa检测操作说明书 Rat anti-red cell antibody ELISA KIT
BL1227 D-Hanks,不含**,含酚红(HBSS)
PY02-038 *化*孔雀绿增菌液(MM) 250克
68-94-0 次黄嘌呤 Hypoxanthine
ARB13891 猪传染性胃肠炎抗原(TGE-Ag)酶免分析
CYB164024 羊抗牛IgG(1:500~1000)-HRP
ARB14257 猪补体4(C4)elisa检测操作说明书
CBZ-L-色*酸 Pentadecanoic acid 7432-21-5
辛可宁 5"-GDP,2Na 118-10-5
藜芦醇 (+)-Catechin hydrate 93-03-8
25322-68-3 PEG3350 聚乙二醇
PY01-155 核糖核酸酶A(100u/mg) 0.1克
ARB12378 大鼠乳铁传递蛋白/乳铁蛋白(LF/LTF)Elisa定量检测 Rat lactoferrin,ltf/lf ELISA KIT
单硬脂酸甘油酯 Actin from rabbit muscle 123-94-4
北京日落黄标准品价格关键词:日落黄,Sunset yellow,2783-94-0
我公司位于北京市海淀区,是一家专业从事生化试剂、分子生物学试剂、实验耗材研发、销*(代"售")、服务为一体的生物科技公司,公司主要经营的进口品牌包括Sigma,Invitrogen,Roche,Abcam,BD, R&D,GE,Amresco,Merck等;产品涉及化工原料、生化试剂、分子克隆相关试剂、细胞培养及检测常用试剂、实验室常用耗材等。百奥莱博秉承博采众长、诚信为本、德行天下的宗旨服务于客户。公司合作单位及客户包括各大医院、科研机构、大专院校、制药单位、医学检验单位、卫生防疫、生物技术公司、食品单位等诸多领域,正逐步成长为一流的生化试剂和耗材供应商。 我们将一如既往的为您提供优质的产品和完善的售后服务。
·R-甲磺酸罗哌卡因
编号:BP0745
英文名称:R-Ropivacaine Mesylate
规格:20mg
本品为R-甲磺酸罗哌卡因化学对照品,供甲磺酸罗哌卡因国家标准中异构体杂质检查时,作定位用。
分子式:C17H26N2O·CH3SO3H
分子量:370.51
结构式:
装量:20mg/支
储存条件:避光,密闭保存
注意事项:本品使用前不需干燥
·碘化*
编号:BP0159
英文名称:Potassium Iodide
规格:约100毫克
本品为碘化*(PotassiumIodide)化学对照品,供含量测定用。碘化*(KI)为99.6%。
分子式:KI
分子量:166.00
CAS号:7681-11-0
包装及装量:棕色小瓶,每支约100毫克
储存条件:避光,室温密闭保存
注意事项:本品105℃干燥2小时后称取,避光操作。
·D-焦谷*酸
编号:BP0603
英文名称:D-Pyroglutamic Aicd
规格:50mg/支
本品为D-焦谷*酸化学对照品,供HPLC检查用,以C19H25N3O6S计,含量为99.7%,使用前不需干燥处理。
CAS号:4042-36-8
分子式:C19H25N3O6S
分子量:129.11
包装:棕色西林瓶装
规格:约50毫克/支。
储存条件:遮光,密封保存。
·罗库*铵杂质I
编号:BP0969
英文名称:Rocuronium Bromide Impurity I(3α-hydroxy-2β-(morpholin-4-yl)-16β-(pyrrolidin-1-yl)-5α-androstan-17β-yl acetate)" title="Rocuronium Bromide Impurity I(3α-hydroxy-2β-(morpholin-4-yl)-16β-(pyrrolidin-1-yl)-5α-androstan-17β-yl acetate)"
规格:20毫克/支"
本品为D-焦谷*酸化学对照品,供HPLC检查用,以C19H25N3O6S计,含量为99.7%,使用前不需干燥处理。
CAS号:4042-36-8
分子式:C19H25N3O6S
分子量:129.11
包装:棕色西林瓶装
规格:约50毫克/支。
储存条件:遮光,密封保存。
·孔雀石绿草酸盐
编号:BP2200
英文名称:Malachite Green Oxalate Salt
规格:50mg/支
本品为孔雀石绿草酸盐化学对照品,供HPLC法检查用,使用前不需干燥处理。
CAS号:2437-29-8
分子式:C23H25N2·C2HO4·0.5C2H2O4
分子量:463.50
结构式:

包装:棕色安瓿瓶
规格:约50毫克/支
储存条件:遮光、密闭、冷处(2-10℃保存)。
注意事项:本品略有引湿性,建议打开包装一次性使用完毕。
日落黄等试剂产品的使用注意事项:
(1)、所有试剂、溶液以及样品的包装上必须要有标签。标签要完整、清晰,表明试剂的名称、规格、质量。
(2)、溶液除了表明品名外,还应表明浓度、配置日期等。万一标签脱落,应照原样贴牢。决定不允许在容器内装入与标签不相符的物品。
(3)、无标签的试剂必须取小样检定后才可使用。不能使用的化学试剂要慎重处理,不能随意乱倒。为了保证试剂不受污染,应当用清洁的牛角勺或不锈钢小勺从试剂瓶中取出试剂,绝不可以用手抓取。若试剂结块,可用洁净的玻璃棒或瓷药铲将其捣碎后取出。
(4)液体试剂可用洗干净的量筒到取,不要用吸管伸入原试剂中吸取液体。从试剂瓶中取出的、没有用完的声誉药品,不可再倒回原瓶。
我公司生产供应销*(代"售")的标准品对照品产品正全系列现货促销,满分期待您的垂询选购北京日落黄标准品价格。
风险提示:丁香通仅作为第三方平台,为商家信息发布提供平台空间。用户咨询产品时请注意保护个人信息及财产安全,合理判断,谨慎选购商品,商家和用户对交易行为负责。对于医疗器械类产品,请先查证核实企业经营资质和医疗器械产品注册证情况。
文献和实验北京时间 7 月 12 日,中国科学院深圳先进技术研究院司同课题组与伊利诺伊大学厄巴纳-香槟分校 Jonathan V. Sweedler 教授团队合作,在 FASEB J 国际学术期刊上发表研究论文 Profiling of D-alanine production by the microbial isolates of rat gut microbiota。 文章建立了酶法定性快筛和手性色谱-质谱联用(chiral LC-MS/MS)准确定量的两级分析方法,对 38 株大鼠肠菌产
了此抗体检测标准系统,完成了标准阳性血清中特异性抗Hp尿素酶抗体的定量工作。 1 材料和方法 1.1 材料 抗Hp抗体阳性及阴性血清各50份,经实验室酶联免疫吸附实验(ELISA)和免疫印迹分析(Western blots)证实。10736份其它血清采自北京和河南的四个人群现场。Hp尿素酶抗原(HpU)由本实验室分离纯化。酶标板采用美国Linbro/Titertek酶标板。IgG标准品购自百泰生物技术公司,为日本北里研究所产品,IgG含量为15.5g/L。参考血清由多份抗
检测站抽样样品另加4O×0.000001浓度的DM.A。 1.2 主要药品及仪器 硅胶G:青岛海洋化工有限公司制造(CP)。DM.A标准品:中国兽医药品监察所提供。0.25%茚三酮溶液:0.25 g茚三酮溶于100 ml95%乙醇中,避光保存。0.1%蒽酮溶液:0.1g蒽酮溶于100ml浓硫酸中,现配现用。邻苯二甲醛溶液:0.2 g邻苯二甲醛溶于4O ml pHl0乙醇中加2-巯基乙醇0.4 mlpHl0乙醇:5Oμl 45%NaOH水溶液加到195 ml95%乙醇中制得。
技术资料暂无技术资料 索取技术资料










