万千商家帮你免费找货
0 人在求购买到急需产品
- 详细信息
- 技术资料
- 保存条件:
2-8℃
- 保质期:
长期
- 英文名:
Docetaxel
- 库存:
701
- 供应商:
北京百奥莱博科技有限公司
- CAS号:
114977-28-5
特别声明:本产品及我公司所售其他产品均为科研类试剂产品,严禁用于药物、医疗及其他非科研用途。
多西他赛对照品优惠的品牌:百奥莱博,是优质的标准品对照品产品,用于科研目的生化试验项目,本产品质量好,且极具价格优势,深为用户称道,了解更多多西他赛等标准品对照品产品请联系我司咨询订购。
名称:多西他赛对照品优惠
编号:BP0512
英文名:Docetaxel
产地:国产|进口
品牌:百奥莱博
规格:100mg/支
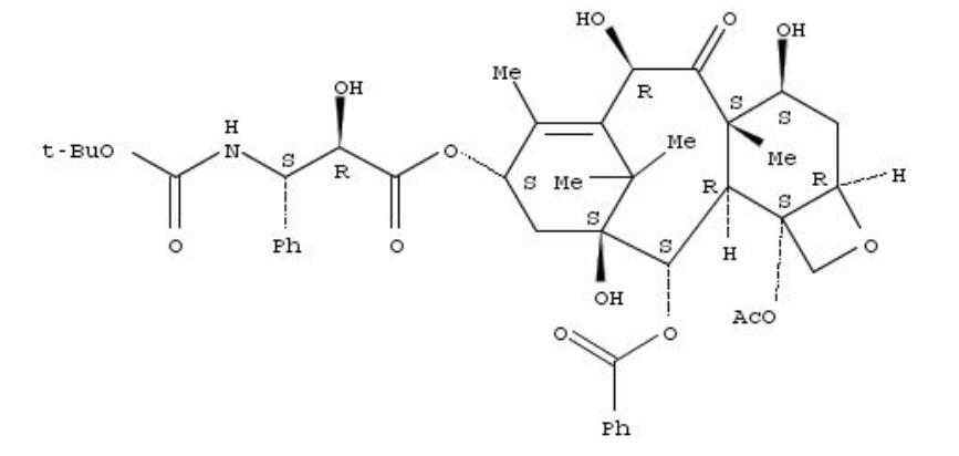
本品为多西他赛化学对照品,供IR鉴别及含量测定用,使用前不需干燥处理,供HPLC法测定,按C43H53NO14计,含量为98.4%。
CAS号:114977-28-5
分子式:C43H53NO14
分子量:807.88
结构式:

包装及装量:棕色安瓿瓶装,每支约100mg。
储存条件:遮光,密封,2-8℃保存。
关于多西他赛对照品优惠的更详细说明,请致电我公司咨询,我们将以最饱满的热情为您提供解答,此外,我公司专业供应下列产品:
ARB13264 小鼠解整合素样金属蛋白酶8(ADAM8)定量分析 Mouse a disintegrin and metalloprotease 8,adam8 ELISA KIT
F010114 小鼠抗伏马菌素B1抗体 Monoclonal Mouse Anti-Fumonisin
ARB13571 兔子白介素10(IL-10)elisa检测 Rabbit interleukin 10,IL-10 ELISA KIT
PY02-081 远藤氏琼脂 250克
RN2501 RNAblood 超纯全血总RNA快速提取试剂盒
晕* Ceftriaxone 191-07-1
ARB14236 猪口蹄疫A型抗原(FMD-A-Ag)含量分析
J0313 兔抗人IgM(H+L)抗血清
F030706 BIOTIN标记兔抗牛酪蛋白抗体 Rabbit Anti-casein*BIOTIN
亚油酸 L-Homophenylalanine 60-33-3
1,3-二*脲 2-Deoxy-D-glucose 102-07-8
ARB14198 大鼠超氧阴离子自由基(O2·)血清中含量检测
F030808 BIOTIN标记山羊抗小鼠IgG1抗体 Goat Anti-Mouse IgG1*BIOTIN
乙二醛缩双(邻*基酚) 5′-UMP,2Na 1149-16-2
L-脯*酸甲酯盐*(代"酸")盐 Ciprofloxacin 2133-40-6
PY02-234 T1N1琼脂 250克
ARB13150 小鼠神经肽Y(NP-Y)定量分析 Mouse neuroPeptide y,np-y ELISA KIT
Microcococcus lysodeikticus cells Tween 60
58-61-7 腺苷 Adenosine
十五醇 MDH 629-76-5
末端转移酶 Spermidine trihydrochloride 9027-67-2
ARB14007 鹿胰岛素样生长因子结合蛋白3(IGFBP-3)代做ELISA实验 Deer insulin-like growth factor binding protein 3,igfbp-3 ELISA KIT
多西他赛对照品优惠关键词:Docetaxel,114977-28-5,多西他赛
·酚磺乙*(代"胺")
编号:BP0108
英文名称:Etamsylate
规格:100mg
本品为酚磺乙*(代"胺")(Etamsylate)的化学对照品,按C10H17NO5S计,含量为99.5%。
分子式:C10H17NO5S
分子量:263.31
CAS号:2624-44-4
包装及装量:棕色小瓶装,每支约100毫克。
储存条件:遮光,密封保存。
注意事项:使用前不需干燥处理。
·脱*卡维丁
编号:BP1277
英文名称:Dehydrocavidine
规格:20mg
本品为酚磺乙*(代"胺")(Etamsylate)的化学对照品,按C10H17NO5S计,含量为99.5%。
分子式:C10H17NO5S
分子量:263.31
CAS号:2624-44-4
包装及装量:棕色小瓶装,每支约100毫克。
储存条件:遮光,密封保存。
注意事项:使用前不需干燥处理。
·酪*酸
编号:BP1782
英文名称:Tyrosine
规格:100mg/瓶
本品为酪*酸化学对照品,供含量以C9H11NO3计为99.8%,供胰酶项下胰蛋白酶效价测定使用。
CAS号:60-18-4
分子式:C9H11NO3
分子量:181.19
包装:棕色西林瓶
规格:100mg/瓶
储存条件:避光,密封保存
·巴豆苷
编号:BP1412
英文名称:Crotonoside
规格:20mg
本品为巴豆苷化学对照品,供含量测定用,含量以96.5%计。
分子式:C10H13N5O5
分子量:283
包装及装量:棕色安瓿瓶。
储存条件:室温保存。
注意事项:使用前无需处理。
多西他赛对照品优惠关键词:Docetaxel,114977-28-5,多西他赛
我公司是一家生物高新技术企业,主要从事免疫学、分子生物学和常规生化试剂的研发、销*(代"售")。致力于为广大高校、科研院所和企事业单位提供一流的科研试剂和完善的技术服务,满足生物化学、分子生物学 、多西他赛、细胞生物学、免疫学ELISA试剂盒等生物科技实验需求。我们诚以100%的热情换您100%的满意!
·门冬*酸*
编号:BP1878
规格:25mg
本品为门冬*酸*化学对照品,供门冬*酸*鉴别用,使用前80℃干燥2小时。
CAS号:14434-35-6
分子式:C4H6KNO4 ,1/2H2O
分子量:180.2
结构式:

包装:棕色西林瓶
规格:每瓶约25mg
储存条件:密封,干燥处保存。
·硫*(代"酸")天仙子胺
编号:BP1514
英文名称:Hyoscyamine sulfate
规格:20mg
本品为硫*(代"酸")天仙子胺化学对照品,供鉴别和含量测定用,含量以97.0%计,使用前不需干燥处理。
分子式:(C17H23NO3)2·H2SO4
分子量:676.82
包装:棕色安瓿瓶
规格:约20mg/支
储存条件:常温、密闭。
注意事项:本品有引湿性,打开包装后一次使用完毕。
·西瑞香素
编号:BP1341
英文名称:Daphnoretin
规格:约20mg/支
本品为西瑞香素化学对照品,供含量测定用,含量以99.4%计。
分子式:C19H12O7
分子量:352.29
包装及装量:棕色瓿。
储存条件:室温干燥保存。
注意事项:置五氧化二磷减压干燥器中干燥 12 小时后使用。
·鬼臼毒素
编号:BP1261
英文名称:Podophllotoxin
规格:20mg
本品为西瑞香素化学对照品,供含量测定用,含量以99.4%计。
分子式:C19H12O7
分子量:352.29
包装及装量:棕色瓿。
储存条件:室温干燥保存。
注意事项:置五氧化二磷减压干燥器中干燥 12 小时后使用。
·非洛地平杂质Ⅰ
编号:BP0854
英文名称:Felodipine impurityⅠ
规格:50mg
本品为非洛地平杂质Ⅰ化学对照品,供检查用,使用前不需干燥处理。供HPLC法测定,按C18H17Cl2NO4计,含量为100%。
分子式:C18H17Cl2NO4
分子量:382.25
结构式:

包装及装量:棕色西林瓶,约50mg/支。
储存条件:遮光,密封保存。
我公司始终坚持“创新,品质,服务,节约,敬业,感恩”的理念。吸收新创意,严把质量关口,全方位的服务跟踪,坚持做出高品质产品。本着“追求、员工、技术、精神、利益”的宗旨。现拥有一批精干的管理人员和一支高素质的专业技术队伍。我们以质量为生命、时间为信誉、价格为竞争力的经营信念,立足于国内外市场。目前已在全国各大院系,和研究单位均有销*(代"售"),也得到了客户的认可。百奥莱博生产的多西他赛等试剂进入飞速发展期,为了更好的服务客户,公司长期储备海量库存,以此助推中国科技的快速发展,更好的造福人类!
我公司倾力为客户提供最优 、最全、最有效的多西他赛等科研试剂产品,质量被全国各大院校科研机构认可。 同时,我们售前,售中,售后全程为您服务。欢迎来电咨询!
北京百莱博科技有限公司专业生产供应销*(代"售")生物试剂、化学试剂、抗原抗体、血清血浆、Elisa试剂盒,更多试剂产品需求,欢迎来电咨询选购多西他赛对照品优惠。
风险提示:丁香通仅作为第三方平台,为商家信息发布提供平台空间。用户咨询产品时请注意保护个人信息及财产安全,合理判断,谨慎选购商品,商家和用户对交易行为负责。对于医疗器械类产品,请先查证核实企业经营资质和医疗器械产品注册证情况。
技术资料暂无技术资料 索取技术资料









