相关产品推荐更多 >
万千商家帮你免费找货
0 人在求购买到急需产品
- 详细信息
- 技术资料
- 保存条件:
冷藏
- 保质期:
长期
- 英文名:
Mandelic Acid
- 库存:
690
- 供应商:
北京百奥莱博科技有限公司
特别声明:本产品及我公司所售其他产品均为科研类试剂产品,严禁用于药物、医疗及其他非科研用途。
北京百奥莱博公司供应包括扁桃酸对照品促销在内的化学标准品,化学对照品,杂志对照品,HPLC标准品,UV标准品等高品质标准品、对照品
名称:扁桃酸对照品促销
产地:国产|进口
规格:100mg
编号:BP0728
关于扁桃酸对照品促销的更详细说明,请致电我公司咨询,我们将以最饱满的热情为您提供解答,此外,我公司专业供应下列产品:
ARB11008 人补体片断3A(C3A)含量分析 Human complement fragment 3a,c3a ELISA KIT
5′-腺苷一磷酸 L-Norvaline 61-19-8或149022-20-8
ARB13513 鱼类甲状腺素(T4)免费代测 Fish thyroxine,t4 ELISA KIT
对*基*甲*(代"酸")* H-Pro-OBzl?HCl 555-06-6
J0304 兔抗马IgG(H+L)抗血清 1ml/10ml
ARB11256 人胃粘液素(GM)elisa测定使用说明书 Human gastric mucin,gm ELISA KIT
ARB11746 人嗜铬蛋白A(CgA)Elisa方法检测 Human chromogranin,cga ELISA KIT
ARB11626 人粒细胞巨噬细胞集落刺激因子(GM-CSF)elisa检测说明书 Human granulocyte-macrophage colony stimulating factor,gm-csf ELISA KIT
PY02-318 3%*化*赖*酸脱羧酶试验培养基 5克
RN3401 DNASE I 柱上消化试剂盒(RNase free)
F030304 胶体金标记小鼠抗HIS抗体 Monoclonal Mouse Anti-His*GOLD
ARB12523 大鼠热休克蛋白糖蛋白96(HSP gp96)检测服务 Rat heat shock protein glycoprotein 96,hsp gp96 ELISA KIT
ARB14008 绵羊白介素1(IL-1)含量检测 Sheep interleukin 1,IL-1 ELISA KIT
SJ0234 DMEM/F-12
BTN100602 干粉型LB培养基 LB Medium Powder
酒石酸** Repel-Silane 868-14-4
F020223 兔抗豚鼠IgG抗体 Rabbit Anti-Guinea Pig IgG
ARB12874 小鼠可溶性肌球蛋白重链1(sMHC-1)血清中含量检测 Mouse soluble myosin heavy chain 1,smhc-1 ELISA KIT
偶氮脒类引发剂V59 Amprolium hydrochloride 13472-08-*(代"7")
PY02-013-1 营养肉汤(GB) 250克
145224-94-8 MES 2-(N-玛啡啉)乙磺酸
BL0850 兔抗山羊IgG纯化抗体
扁桃酸对照品促销关键词:扁桃酸,BP0728,Mandelic Acid
ARB13436 鸡戊型肝炎(HEV)酶联免疫定量检测
7235-40-7 β-胡萝卜素(原装) β-Carotene
107-35-7 牛磺酸
ARB14049 猴白介素17(IL-17)Elisa定量检测
BTN101102 改良Lowry法蛋白定量试剂盒 Enhanced Lowry Assay Kit
水杨酸*酯 5-HIAA 118-55-8
D-天冬*酸 Carbonate Buffer solution 1783-96-6
结晶紫 Hippuric Acid 548-62-9
547-50-8 Methyl Orange 甲基橙
ARB11274 人骨桥素(OPN)Elisa分析 Human osteopontin,opn ELISA KIT
达旦黄 Carboxypeptidase Y(Yeast) 1829-00-1
68990-09-0 BeefExtract 牛肉膏
F030838 BIOTIN标记山羊人IgM抗体 Polyclonal Goat Anti-Human IgG FC*BIOTIN
2,4,6-三甲基*甲酰二*氧磷 Phenylfluorone 75980-60-8
73049-39-5 DNA(calf thymus) 小牛胸腺DNA
ARB11053 人表面膜免疫球蛋白M(mIgM)ELISA代测服务 Human membrane igm,migM ELISA KIT
ARB10572 人百日咳IgM(PT-IgM)elisa测定使用说明书
F020202 山羊抗小鼠IgG1抗体 Goat Anti-Mouse IgG1
F030504 FITC标记小鼠抗HIS抗体 Monoclonal Mouse Anti-His*FITC
对*基*甲*(代"酸")甲酯 Luciferase firefly 619-45-4
BL1290 蛋白酶K溶液(10mg/ml)
扁桃酸对照品促销关键词:扁桃酸,BP0728,Mandelic Acid
扁桃酸等产品报价含税含运费,全程免费技术支持。我公司产品种类齐全,提供订制包装,免费快递送货上门,质量保证,欢迎来电购买!
·盐*(代"酸")*丙嗪
编号:BP0363
英文名称:Chlorpromazine Hydrochloride
规格:100mg
本品为盐*(代"酸")*丙嗪化学对照品,供*丙嗪异丙嗪分光光度法含量测定时作对照用。
CAS号:69-09-0
分子式:C17H19ClN2S·HCl
分子量:355.33
包装及装量:棕色西林瓶。100mg/支。
储存条件:遮光,密闭保存。
注意事项:使用前不需要干燥,可直接使用。本品有引湿性,建议打开包装后一次使用完毕。
·泛影酸
编号:BP0020
英文名称:Diatrizoic Acid
规格:100mg
本品为泛影酸(DiatrizoicAcid)化学对照品,供TLC鉴别使用。
分子式:C11H9I3N2O4·2H2O
分子量:649.95
CAS号:117-96-4(无水物)
包装及装量:棕色小瓶装,每支约100毫克。
储存条件:遮光,密封保存。
注意事项:使用前不需干燥处理。
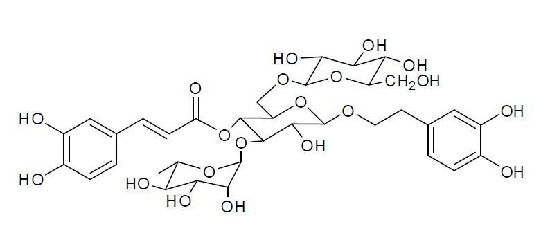
·松果菊苷
编号:BP1280
英文名称:Echinacoside
规格:20mg/支
本品为松果菊苷化学对照品,供鉴别及含量测定用,含量以89.7%计,使用前不需干燥处理。
CAS号:82854-37-3
分子式:C35H46O20
分子量:786.73
结构式:

包装:棕色安瓿瓶
规格:约20mg/支
储存条件:冷处(2-10℃)保存
注意事项:本品有引湿性,打开包装后一次使用完毕。
·牛皮特征肽A
编号:BP1479
英文名称:Peptide A(784-798)bovine
规格:20mg/支
本品为牛皮特征肽A化学对照品,供含量测定用,含量以94.8%计,使用前不需干燥处理。
分子量:1281.36
包装:棕色安瓿瓶
规格:约20mg/支
储存条件:冷冻保存
注意事项:本品有引湿性,建议打开包装后一次使用完毕。
扁桃酸怎样保存?
一般试剂可保存在玻璃瓶内; 对玻璃有强烈腐蚀作用的试剂,如**酸、*氧化*应保存在聚乙*(代"烯")塑料瓶内; 易被空气氧化、分化、潮解的试剂应密封保存;易感光分解的试剂应用有色玻璃瓶贮存并藏于暗处; 易受热分解及低沸点溶剂,应存于冷处; 剧毒试剂应存于保险箱; 有放射性的试剂应存于铅罐中。如果化学试剂保管不当,就会失效变质,影响实验的效果,并造成物质的浪费,甚至有时还会发生事故。因此,科学地保管好试剂对于保证实验顺利进行,获得 可靠的实验数据具有非常重要的意义。
扁桃酸是我们热销产品之一,品牌代理,品质保证,专业性强,实验全程无忧。我公司已为中国市场提供数万种高端试剂,我们有能力提供毫克级,克级,甚至公斤级。试剂产品相关信息齐全,欢迎来电咨询、选购。
我公司正在优惠促销标准品对照品等系列产品,期待您的咨询选购扁桃酸对照品促销。
风险提示:丁香通仅作为第三方平台,为商家信息发布提供平台空间。用户咨询产品时请注意保护个人信息及财产安全,合理判断,谨慎选购商品,商家和用户对交易行为负责。对于医疗器械类产品,请先查证核实企业经营资质和医疗器械产品注册证情况。
技术资料暂无技术资料 索取技术资料










