相关产品推荐更多 >
万千商家帮你免费找货
0 人在求购买到急需产品
- 详细信息
- 文献和实验
- 技术资料
- 保存条件:
冷藏
- 保质期:
长期
- 英文名:
Scopoletin
- 库存:
406
- 供应商:
北京百奥莱博科技有限公司
特别声明:本产品及我公司所售其他产品均为科研类试剂产品,严禁用于药物、医疗及其他非科研用途。
北京百奥莱博公司供应包括北京东莨菪内酯标准品价格厂家在内的化学标准品,化学对照品,杂志对照品,HPLC标准品,UV标准品等高品质标准品、对照品
名称:北京东莨菪内酯标准品价格厂家
规格:20mg
产地:国产|进口
英文名:Scopoletin
品牌:百奥莱博
本品为东莨菪内酯化学对照品,供鉴别或含量测定用。
分子式:C10H8O4
分子量:192.17
结构式:

包装:棕色瓶
规格:约20mg
储存条件:干燥密闭保存。
北京东莨菪内酯标准品价格厂家极具性价比,此外,我公司正火爆促销以下产品:
PY02-432 SBG磺胺增菌液 250克
ARB10576 人成骨生长肽(OGP)elisa测定使用说明书 Human osteogenic growth Peptide,ogp ELISA KIT
9032-75-1 Snailase 蜗牛酶
异硫"青"酸荧光素 DMPPDA?2HC1 3326-32-7
肌酐酶 Soy Isoflavones 9025-13-2
*亚磺酸* Ribostamycin Sulfate salt 873-55-2
PY04-071 柠檬酸铁铵 0.1125g/支×10支 每支添加于225mlFraser增菌液中制成FraserⅠ培养基,用于李斯特氏菌选择性增菌培养
ARB10520 人白细胞介素8(IL-8)含量测试 Human interleukin 8,IL-8ELISA KIT
94-75-7 2,4-D 2,4-二**氧乙酸
F010104 小鼠抗人血清白蛋白抗体 Monoclonal Mouse Anti-HAS
ARB11043 人环磷酸鸟苷(cGMP)含量分析 Human cyclic guanosine monophosphate,cgmp ELISA KIT
PY02-259 布氏菌疫苗培养基 250克
吡嗪酰胺 Tridecanoic acid 98-96-4
ARB10630 人血清素/血清胺(ST)Elisa方法检测 Human serotonin,st ELISA KIT
ARB14026 植物赤霉素(GA)酶标法分析 Plant gibberellic acid,ga ELISA KIT
肌酐酶 Soy Isoflavones 9025-13-2
BTN130578 小鼠抗V5标签单抗 Anti V5-Tag Mouse Mab
ARB10392 人可溶性半乳糖苷结合凝集素3(LgAls3)elisa测定使用说明书 Human lectin-galactose binding-soluble 3,lgals3 ELISA KIT
(3a,5b,12a)-N,N-双[3-(D-葡萄糖酰*基)丙基]-3,12-二羟基胆甾烷-24-胺 Quinine hemisulfate salt monohydrate 86303-23-3
北京东莨菪内酯标准品价格厂家关键词:BP1065,东莨菪内酯,Scopoletin
·盐*(代"酸")贝尼地平
编号:BP0767
英文名称:Benidipine Hydrochloride
规格:100mg
本品为盐*(代"酸")贝尼地平化学对照品,供UV法测定,按C28H31N3O6·HCl计,含量为100%。
CAS号:91599-74-5
分子式:C28H31N3O6·HCl
分子量:542.03
包装及装量:棕色小瓶装,每支约100毫克。
储存条件:遮光,密封保存。
注意事项:105℃干燥2小时后使用。
·*康唑杂质I
编号:BP1768
英文名称:Fluconazole impurity I
规格:30mg/支
本品为盐*(代"酸")贝尼地平化学对照品,供UV法测定,按C28H31N3O6·HCl计,含量为100%。
CAS号:91599-74-5
分子式:C28H31N3O6·HCl
分子量:542.03
包装及装量:棕色小瓶装,每支约100毫克。
储存条件:遮光,密封保存。
注意事项:105℃干燥2小时后使用。
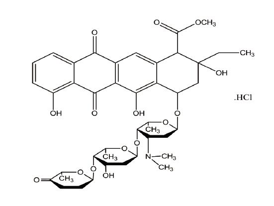
·阿柔比星
编号:BP1746
英文名称:Aclarubicin
规格:20mg/支
本品为阿柔比星化学对照品,供HPLC含量测定用,以阿柔比星(C42H53NO15)计,每支含阿柔比星为19.10mg。使用前不需干燥处理。使用时需要整瓶稀释。
CAS号:57576-44-0
分子式:C42H53NO15·HCl
分子量:847.3
结构式:

包装:西林瓶
规格:20mg/支
储存条件:2-8℃保存
·扁桃酸
编号:BP0728
英文名称:Mandelic Acid
规格:100mg
本品为阿柔比星化学对照品,供HPLC含量测定用,以阿柔比星(C42H53NO15)计,每支含阿柔比星为19.10mg。使用前不需干燥处理。使用时需要整瓶稀释。
CAS号:57576-44-0
分子式:C42H53NO15·HCl
分子量:847.3
结构式:

包装:西林瓶
规格:20mg/支
储存条件:2-8℃保存
·舒他西林
编号:BP1643
英文名称:Sultamicillin
规格:100mg
本品为舒他西林化学对照品,供含量测定用,含量以舒他西林C25H30N4O9S2计,使用前不需干燥处理。
CAS号:83105-70-8
分子式:C25H30N4O9S2·C7H8O3S
分子量:766.8
包装:白色安瓿
规格:约100毫克/支
储存条件:2-8℃保存
·生长激素(GH)
编号:BP1971
英文名称:Sultamicillin
规格:3支/套,0.5ml/支
本品为生长激素质控血清(GH质控血清),供免疫测定用。
使用说明书
1、生长激素(GH)质控血清免疫测定用(批号:1807-0503)
是以GH纯品为原料加入至新鲜正常人混合血清制备而成。
2、本套质控血清为冻干品,3支/套,0.5ml/支。
3、使用时应用0.5ml去离子水将内容物完全溶解,充分混合后
使用。
4、质控血清I理论值为2.5ng/ml;质控血清Ⅱ理论值为11.5
ng/ml;质控血清Ⅲ理论值为40ng/ml。由于免疫分析体系不同,各
公
北京东莨菪内酯标准品价格厂家关键词:BP1065,东莨菪内酯,Scopoletin
我公司是一家生物高新技术企业,主要从事免疫学、分子生物学和常规生化试剂的研发、销*(代"售")。并代理销*(代"售")Omega、Sigma、R&D、GBD、ATCC、HYCLONE等二十多家国外知名品牌,致力于为广大高校、科研院所和企事业单位提供一流的科研试剂和完善的技术服务,满足生物化学、分子生物学 、东莨菪内酯、细胞生物学、免疫学 ELISA试剂盒等生物科技实验需求。
偶氮脒类引发剂V60 Poly U 78-67-*(代"1")
PY02-404 mEI琼脂基础 1L
SJ0324 G-1-P D-葡萄糖-1-磷酸二*
BTN70503 DNA电泳分子量标准 DNAMETER
F030501 FITC标记小鼠抗乙肝核心抗原抗体 Monoclonal Mouse Anti-HBcAg*FITC
25535-16-4 Propidium Iodide 碘化丙啶
ARB11463 人胰岛素(INS)检测服务 Human insulin,ins ELISA KIT
ARB12836 小鼠巨噬细胞炎性蛋白1δ(MIP-1δ/CCL15)ELISA代测服务 Mouse macrophage inflammatory protein 1δ,mip-1δ ELISA KIT
ARB10404 人可溶性细胞间粘附分子1(sICAM-1)含量测试 Human soluble intercellular adhesion molecule-1,sicam-1 ELISA KIT
PY01-151 纤维素酶(1:1000u/mg) 250克
葡萄糖酸亚铁 Compound proteinase 22830-45-1
ARB11808 人鼻咽癌(NPC)酶免分析 Human nasopharyngeal carcinoma,npc ELISA KIT
牛胆酸 Potassium stearate 81-25-4
DL-丝*酸甲酯盐*(代"酸")盐 Hyaluronidase 5619-04-5
ARB12922 小鼠白细胞介素6(IL-6)elisa检测说明书 Mouse interleukin 6,IL-6 ELISA KIT
我公司为您您提供东莨菪内酯相关的所有信息,如:第二名称、CAS号、规格、熔点、MSDS、用途、作用、毒性、价格等。规格包装,现货供应,极速发货,实验即可安排,试剂随叫随到,无需等待!
我公司拥有专业生化试剂实验和销*(代"售")经验,为专业的您提供专业的服务。种类丰富,*基酸类、酶类、维生素类、东莨菪内酯、缓冲剂类、色素类、植物激素及核酸类、碳水化合物类、抗生素类均有销*(代"售")。品牌代理,质量保障,其产品涉及生命科学的所有领域,包括生化试剂,抗体,ELISA试剂盒等等。
我公司生产供应销*(代"售")的标准品对照品产品正全系列现货促销,满分期待您的垂询选购北京东莨菪内酯标准品价格厂家。
风险提示:丁香通仅作为第三方平台,为商家信息发布提供平台空间。用户咨询产品时请注意保护个人信息及财产安全,合理判断,谨慎选购商品,商家和用户对交易行为负责。对于医疗器械类产品,请先查证核实企业经营资质和医疗器械产品注册证情况。
文献和实验100 % 2 、试剂标准化 (1)分级 ① WHO 国际标准品 ② WHO 国际参考品 ③国家标准品 按国际标准品复制的标准品,效力单位与①严格一致。 ④研究室或厂家标准品 暂时用于工作的标准品,自行效价,但有国际标准品后,必须标化。 ⑤免疫学质控标准品和参考
乙肝两对半又称乙肝五项 ,为国内常用的乙肝病毒(HBV)感染的检测血清标志物。乙肝病毒免疫学标记有表面抗原(HBsAg)、表面抗体(抗-HBs或HBsAb)、e抗原(HBeA g)和e抗体(抗-HBe或HBeAb)、核心抗原(HBcAg)和核心抗体(抗-HBc或HBcAb)”。可检测患者是否感染乙肝及感染的具体情况。随着现代临床免疫学的发展,酶联免疫吸附试验(ELISA) 因其操作简单、灵敏度高、特异性高等特点而广泛应用于乙肝五项的检测。但由于乙肝标志物检测生产试剂厂家较多
多数实验室嫌麻烦不愿意做,甚至有的检验科连控制仪器准确度和稳定性的标准品和质控品也不购买,杜撰质控图欺瞒医院和检验中心;有些医院领导并不了解检验质量应该如何管理,只单纯以经济效益为衡量科室好坏的指标,致使部分检验科只重视经济效益而忽视质量,最后受损失的是国家和患者。 二、检验部门设置混乱,形成不良竞争,影响检验质量 这类问题在大中型医院显得尤为突出,据调查北京、上海的个别国家级医院除检验科外有不少于30 个临床实验室向患者出具报告,甚至出现一家医院同一个化验项目有几个实验
技术资料暂无技术资料 索取技术资料










