万千商家帮你免费找货
0 人在求购买到急需产品
- 详细信息
- 文献和实验
- 技术资料
- 保存条件:
阴凉干燥
- 保质期:
长期
- 英文名:
Spectinomycin
- 库存:
610
- 供应商:
北京百奥莱博科技有限公司
- CAS号:
22189-32-8
特别声明:本产品及我公司所售其他产品均为科研类试剂产品,严禁用于药物、医疗及其他非科研用途。
北京百奥莱博公司供应包括北京促销大观霉素对照品价格在内的化学标准品,化学对照品,杂志对照品,HPLC标准品,UV标准品等高品质标准品、对照品
名称:北京促销大观霉素对照品价格
产地:国产|进口
规格:100mg
英文名:Spectinomycin
编号:BP1738
品牌:百奥莱博
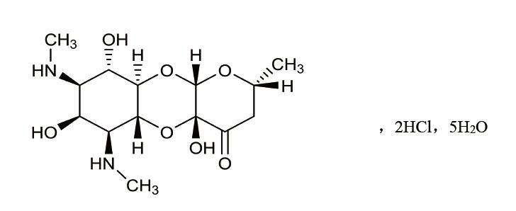
本品为大观霉素化学对照品,供HPLC法含量测定用,以大观霉素(C14H24N2O7)计,含量为64.0%。
CAS号:22189-32-8
分子式:C14H24N2O7·2HCl·5H2O
分子量:495.35
结构式:

包装:白色安瓿
规格:约100mg/支
储存条件:置2-8℃低温遮光保存。
北京促销大观霉素对照品价格极具性价比,此外,我公司正火爆促销以下产品:
BL1375 SOB固体培养基(干粉)
ARB12650 大鼠嗜酸性粒细胞阳离子蛋白(ECP)Elisa定量检测 Rat eosinophil cationic protein,ecp ELISA KIT
ARB10942 人低密度脂蛋白受体相关蛋白6(LRP-6)含量检测 Human low-density lipoprotein-receptor-related protein,lrp-6 ELISA KIT
2,7-二*荧光素 Phosphoglucomutase 76-54-0
PP2401 UltraECL底物化学发光检测试剂盒
柠檬酸* 1,3-Dihydroxynaphthalene 6132-04-3
F020228 兔抗绵羊IgG抗体 Rabbit Anti-Sheep IgG
PY02-266-1 支原体半流体培养基基础 1L
606-68-8 NADH Na2 还原型辅酶Ⅰ二*
RN2701 病毒RNA快速提取试剂盒
PY02-297 改良罗氏培养基基础 250克
双香豆素 N-Acetyl-L-alanine 66-76-2
ARB10645 人血管内皮细胞生长因子受体4(VEGFR-4)Elisa方法检测
BL1143 Hoechst 33342/PI双染试剂盒
ARB13260 小鼠鼠痘病毒(MPV)免费代测 Mouse poxvirus ELISA KIT
ARB13901 猪血管内皮生长因子(VEGF)检测服务 Porcine vascular endothelial cell growth factor,vegf ELISA KIT
三(2-羧乙基)膦盐*(代"酸")盐 Glutathione Reductase from baker"s yeast 51805-45-9
E0202 抗凝山羊血(无菌 袋装)
北京促销大观霉素对照品价格关键词:大观霉素,22189-32-8,Spectinomycin
·加替沙星·3/2H2O
编号:BP1674
英文名称:Gatifloxacin·3/2H2O
规格:100mg
本品为加替沙星·3/2H2O化学对照品,供红外鉴别用,使用前不需干燥处理。
CAS号:112811-59-3
分子式:C19H22FN3O4·3/2H2O
分子量:402.39
包装:棕色安瓿
规格:约100毫克/支
储存条件:2-8℃保存
·布地奈德
编号:BP0736
英文名称:Budesonide
规格:100mg/支
本品为布地奈德化学对照品,供HPLC法鉴别和含量测定用。本品无需干燥,以C25H34O6计,含量为98.9%。
CAS号:51333-22-3
分子式:C25H34O6
分子量:430.54
结构式:

包装:棕色西林瓶
规格:约100毫克/支
储存条件:密闭避光保存
注意事项:本品配制成溶液后不稳定,应临用临配,避免长时间室温放置。
·芦丁
编号:BP0068
英文名称:Rutin(Rutoside)
规格:100mg/支
本品为芦丁Rutin(Rutoside)的化学对照品,供鉴别、含量测定用,使用前不需干燥处理。按C27H30O16计,供HPLC法测定,含量为91.9%;供UV法测定,含量为92.6%。
分子式:C27H30O16
结构式:

分子量:610.52
CAS号:153-18-4
包装:棕色安瓿
装量:约100毫克/支
储存条件:遮光,密封,10~30℃
北京促销大观霉素对照品价格关键词:大观霉素,22189-32-8,Spectinomycin
我公司是一家生物高新技术企业,主要从事免疫学、分子生物学和常规生化试剂的研发、销*(代"售")。致力于为广大高校、科研院所和企事业单位提供一流的科研试剂和完善的技术服务,满足生物化学、分子生物学 、大观霉素、细胞生物学、免疫学ELISA试剂盒等生物科技实验需求。我们诚以100%的热情换您100%的满意!
·缬*酸
编号:BP1826
英文名称:Valine
规格:100mg/瓶
本品为缬*酸化学对照品,供*基酸鉴别与含量测定用,含量为99.6%。
CAS号:72-18-4
分子式:C5H11NO2
分子量:117.15
包装及装量:棕色瓶,约100mg/支
储存条件:避光,密闭保存
注意事项:使用前不需干燥处理
·阿魏酸
编号:BP1069
英文名称:Ferulic acid
规格:50mg/支
本品为阿魏酸化学对照品,供含量测定用,使用前不需干燥处理,含量以99.0%计。
CAS号:537-98-4
分子式:C10H10O4
分子量:194.18
结构式:

包装:棕色西林瓶
装量:约50mg/支
储存条件:冷处(2-10℃)保存
·*唑沙宗
编号:BP0292
英文名称:Chlorzoxazone
规格:100mg
本品为*唑沙宗的化学对照品,供含量测定用。105℃干燥2小时后使用。按C7H4ClNO2计,含量为99.9%。
分子式:C7H4ClNO2
分子量:169.57
CAS号:95-25-0
包装及装量:棕色西林瓶装,每支约100毫克。
储存条件:遮光,密闭保存。
注意事项:105℃干燥2小时后使用。
·缬沙坦
编号:BP0501
英文名称:Valsartan
规格:100mg
本品为缬沙坦化学对照品,使用前不需干燥处理,按C24N29N5O3计,供HPLC法含量测定,含量为98.5%;供UV法含量测定,含量为98.6%。
CAS号:137862-53-4
分子式:C24N29N5O3
分子量:435.52
包装:棕色安瓿装
装量:每支约100毫克
储存条件:遮光,密闭,10~30℃保存。
我公司以高效的产品质量,完善的销*(代"售")体系、快速、安全的产品渠道,优质的客户服务,以诚信的态度,真诚的对待客户、合作伙伴以及各位同仁,欢迎来电咨询大观霉素!
生物化工学科起始于第二次世界大战时期,以抗生素的深层发酵和大规模生产技术的研究为标志。20世纪60年代末至80年代中期,转基因技术、生物催化与转比技术、动植物细胞培养技术、新型生物反应器和新型生物分离技术等开发和研究的成功,使本学科进入了新的发展时期,学科体系逐步完善。20世纪后期,随着以基因工程为代表的高新技术的迅速崛起,为本学科的进一步发展开辟了新领域,无数前人的工作和我公司的不懈奋斗。造就了高品质的大观霉素。
我公司生产供应销*(代"售")的标准品对照品产品正全系列现货促销,满分期待您的垂询选购北京促销大观霉素对照品价格。
风险提示:丁香通仅作为第三方平台,为商家信息发布提供平台空间。用户咨询产品时请注意保护个人信息及财产安全,合理判断,谨慎选购商品,商家和用户对交易行为负责。对于医疗器械类产品,请先查证核实企业经营资质和医疗器械产品注册证情况。
文献和实验【求助】克隆100个已知序列的基因于带有绿色荧光蛋白的载体中需要多少时间和经费?
个和12,000个,其中11,000个克隆的表达已经通过Western Blot的验证。这些克隆以2种形式提供:一种是在表达的蛋白C末端带Myc-DDK(即FLAG)标签,一种是带GFP标签。这些cDNA克隆均构建于pCMV6入门载体上,可方便转换至其他目的载体。 按照其网页上的促销价:900RMB/clone × 100 = 9万RMB, 直接买,不用等时间,就可搞定,批量买估计还可以讲价,关键的是品质有保证。 注:非公司托儿,因前段时间帮朋友筹划项目专门研究
对赤芍和地榆的性状、显微特征、薄层色谱等方面进行了比较鉴别,其中性状和显微特征以比较表形式列出,主要显示二者的区别点,介绍如下。 1 材料 赤芍对照药材粉末,批号121093-200405,地榆对照药材粉末,批号121286-200410,芍药苷对照品批号110736-200527,均为中国药品生物制品检定所提供,供粉末显微特征和薄层色谱鉴别用。赤芍和地榆饮片为宁波明贝中药业有限公司提供样品,赤芍批号20070506,地榆批号20070315,经笔者鉴定为正品赤芍和地榆
液相色谱-蒸发光散射检测法测定其黄芪甲苷的含量,报道如下。 1 仪器与试药 LC�10ATvp高效液相色谱仪(日本岛津公司);ELSD�2000蒸发光检测器(美国Alltech);黄芪甲苷对照品(中国药品生物制品检定所提供,批号为110781�200311,为含量测定用);乙腈为色谱纯,水为经Milli�Q过0.22μm膜净化的超纯水,其它试剂均为分析纯。心舒康片样品(厂家提供)。 2 方法与结果 2.1 色谱条件 色谱柱为Agilent HC�
技术资料暂无技术资料 索取技术资料










