相关产品推荐更多 >
万千商家帮你免费找货
0 人在求购买到急需产品
- 详细信息
- 文献和实验
- 技术资料
- 库存:
946
- 英文名:
Carbarsone
- CAS号:
121-59-5
- 保质期:
长期
- 供应商:
北京百奥莱博科技有限公司
- 保存条件:
遮光,密闭,10~30℃
特别声明:本产品及我公司所售其他产品均为科研类试剂产品,严禁用于药物、医疗及其他非科研用途。
百奥莱博公司致力于为全国科研单位提供药典标准品、对照品、标准溶液、标准样品、对照培养基、国家标准品等可靠标准物质,其中北京现货卡巴胂标准品促销的品质过硬,在广大科研人员中有口皆碑!
名称:北京现货卡巴胂标准品促销
英文名:Carbarsone
编号:BP0227
品牌:百奥莱博
产地:国产|进口
本品为卡巴胂化学对照品,供含量测定用。80℃干燥2小时后使用,供UV法含量测定用。按C7H9AsN2O4计,含量为99.8%。
分子式:C7H9AsN2O4
分子量:260.08
CAS号:121-59-5
包装:西林瓶装
规格:约100mg/支
储存条件:遮光,密闭,10~30℃保存
欲了解更多北京现货卡巴胂标准品促销的品牌、产地、价格及说明书等产品信息,请致电北京百奥莱博科技有限公司,我们将竭诚为您服务,另外,以下产品正在火爆促销:
·亮*酸
编号:BP1147
英文名称:Leucine
规格:100mg
本品为亮*酸化学对照品,供相关物质鉴别用。
包装及装量:棕色瓶,每支约100毫克
储存条件:干燥密闭保存。
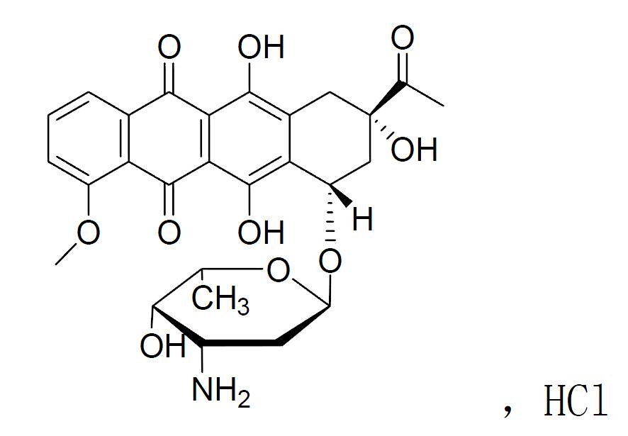
·柔红霉素
编号:BP1695
英文名称:Daunorubicin
规格:50mg
本品为柔红霉素化学对照品,供HPLC法含量测定用,以C27H29NO10计,每支含柔红霉素为19.6mg,使用前不需干燥处理。整支溶解使用。
CAS号:20830-81-3
分子式:C27H29NO10·HCl
分子量:563.98
结构式:

包装:白色西林瓶
规格:约20mg/支
储存条件:置2-8℃遮光保存。
·克林霉素B
编号:BP1706
英文名称:Clindamycin B
规格:50mg
本品为克林霉素B化学对照品,供盐*(代"酸")克林霉素HPLC系统适应性试验及有关物质使用,含量以克林霉素B(C17H31ClN2O5S)计。
使用方法:精密称取本品适量,按相关质量标准,用流动相溶解并稀释至所需的浓度,进样使用。
储存条件:置5℃以下低温避光保存。开启安瓿后严密保持干燥,以防吸水。
注意事项:使用前不需干燥处理。
·人参茎叶皂苷
编号:BP1204
英文名称:Ginserg Stem and Leaf Faponins
规格:50mg
本品为克林霉素B化学对照品,供盐*(代"酸")克林霉素HPLC系统适应性试验及有关物质使用,含量以克林霉素B(C17H31ClN2O5S)计。
使用方法:精密称取本品适量,按相关质量标准,用流动相溶解并稀释至所需的浓度,进样使用。
储存条件:置5℃以下低温避光保存。开启安瓿后严密保持干燥,以防吸水。
注意事项:使用前不需干燥处理。
·盐*(代"酸")丁螺环酮
编号:BP0772
英文名称:Buspirone Hydrochloride
规格:100mg
本品为盐*(代"酸")丁螺环酮化学对照品,供UV法测定,按C21H31N5O2·HCl计,含量为99.8%。
CAS号:33386-08-2
分子式:C21H31N5O2·HCl
分子量:421.96
包装及装量:棕色小瓶装,每支100毫克。
储存条件:遮光,密封保存。
注意事项:使用前不需干燥处理。
·茴香醛
编号:BP1122
英文名称:4-Methoxybenzaldehyde
规格:0.2ml
本品为茴香醛化学对照品,供相关物质鉴别用。
分子式:C8H8O2
分子量:136.15
包装及装量:熔封于2ml安瓿瓶中。
储存条件:干燥密闭、避光保存。
北京现货卡巴胂标准品促销关键词:卡巴胂,121-59-5,Carbarsone
卡巴胂的纯度及用途:纯度高质含量低,适用于研究和配制标准液; 纯度较高,杂质含量较低,适用于定性和定量分析 重量略低于二级试剂,用途近似二级试剂 化学试剂按纯度由低到高可分为工业纯、实验纯(LR)、化学纯(CP)、分析纯(AR)、优级纯(GR)和超纯等多种规格。
酸性橙12 Cephalexin monohydrate 1934-20-9
ARB12183 大鼠白细胞介素1β(IL-1β)ELISA检测服务 Rat IL-1β ELISA KIT
3-吲哚丁酸* Levamisole hydrochloride 60096-23-3
ARB10879 人抗脑组织抗体(ABAb)酶免分析 Human anti-brain tissue antibody,abab ELISA KIT
PY02-254 甲**(代"胺")蓝-DNA酶琼脂 100克
BL1441 1% TMB 溶液
BTN91204 动植物膜蛋白微量制备试剂盒 Animal-Plant Membrane Protein Miniprep Kit
ARB11137 人肿瘤血管生长因子(TAF)含量检测 Human tumor angiogenesis factors,taf ELISA KIT
ARB10271 人干扰素诱导蛋白10(IP-10/CXCL10)检测服务 Human interferon-inducible protein 10,ip-10 ELISA KIT
BTN90801 一站式TA克隆试剂盒 One-Stop AT Cloning Kit
BL0798 人纤维蛋白原抗原(干粉)
ARB10441 人甲状腺素(T4)ELISA代测服务 Human thyroxine,t4 ELISA KIT
*铂酸 Casein Na salt 18497-13-7
BTN60206 Ampicillin Solution
L-甲硫*酸乙酯盐*(代"酸")盐 D-Histidine 2899-36-7
PY08-036 乳糖发酵管(带导管) 10ml 10支/盒,用于大肠菌群的确证试验
HC0202 细胞过滤筛
北京现货卡巴胂标准品促销关键词:卡巴胂,121-59-5,Carbarsone
我公司依托国内外技术研发人才的优势,公司的销*(代"售")额保持高速增长,企业规模不断扩大,拥有专业的技术研发团队,长期致力于ELISA试剂盒、生物试剂(包括)的研发,为客户提供引物设计与合成、免疫组化、PCR定量服务等一系列实验代测服务。
·磷酸哌喹杂质Ⅱ(7-*-4-羟基喹*(代"啉"))
编号:BP0951
英文名称:Piperaquine Phosphate Impurity Ⅱ(7-Chloro-4-hydroxy-quinoline)
规格:50mg/支
本品为磷酸哌喹杂质Ⅱ(7-*-4-羟基喹*(代"啉"))化学对照品,使用前不需干燥处理。供HPLC法检查用,按C9H6ClNO计,含量为100%。
CAS号:86-99-7
分子式:C9H6ClNO
分子量:179.60
包装:棕色西林瓶
规格:约50毫克/支
储存条件:遮光,10~30℃密闭保存
·马兜铃酸 I
编号:BP1045
英文名称:Aristolochic acid I
规格:20mg/支
本品为马兜铃酸I化学对照品,供相关物质鉴别用,使用前不需干燥处理。含量以98.9%计。
CAS号:313-67-7
分子式:C17H11NO7
分子量:341.27
结构式:

包装:棕色安瓿瓶。
装量:约20mg/支。
储存条件:冷处(2-10℃)保存。
·天麻素
编号:BP1096
英文名称:Gastrodin
规格:约20mg/支
本品为天麻素化学对照品,供鉴别和含量测定用,使用前不需干燥处理。含量以97.6%计。
CAS号:62499-27-8
分子式:C13H18O7
分子量:286.28
结构式:

包装:棕色安瓿
规格:约20mg/支
储存条件:冷处(2~10℃)保存
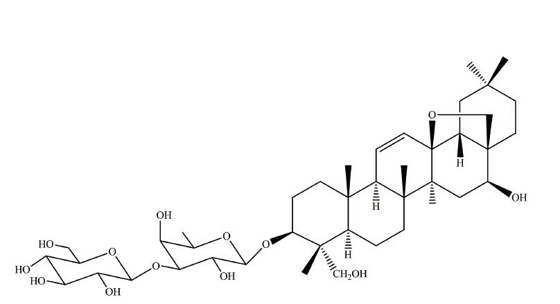
·柴胡皂苷a
编号:BP1072
英文名称:Saikosaponin a
规格:20mg/支
本品为柴胡皂苷a化学对照品,供鉴别和含量测定用,使用前不需干燥处理。含量以91.1%计。
CAS号:20736-09-8
分子式:C42H68O13
分子量:780.98
结构式:

包装:棕色安瓿瓶
装量:约20mg/支
储存条件:冷冻保存
注意事项:本品有引湿性,打开包装后一次使用完毕。
卡巴胂怎样保存?
一般试剂可保存在玻璃瓶内; 对玻璃有强烈腐蚀作用的试剂,如**酸、*氧化*应保存在聚乙*(代"烯")塑料瓶内; 易被空气氧化、分化、潮解的试剂应密封保存;易感光分解的试剂应用有色玻璃瓶贮存并藏于暗处; 易受热分解及低沸点溶剂,应存于冷处; 剧毒试剂应存于保险箱; 有放射性的试剂应存于铅罐中。如果化学试剂保管不当,就会失效变质,影响实验的效果,并造成物质的浪费,甚至有时还会发生事故。因此,科学地保管好试剂对于保证实验顺利进行,获得 可靠的实验数据具有非常重要的意义。
我公司正在优惠促销标准品对照品等系列产品,期待您的咨询选购北京现货卡巴胂标准品促销。
风险提示:丁香通仅作为第三方平台,为商家信息发布提供平台空间。用户咨询产品时请注意保护个人信息及财产安全,合理判断,谨慎选购商品,商家和用户对交易行为负责。对于医疗器械类产品,请先查证核实企业经营资质和医疗器械产品注册证情况。
文献和实验。博士德部分现货ELISA产品超低价促销! 供应以上产品均为现货。特价产品如下: h.Activin A 1000元/96T h.MIP-1a 1500元/96T m.IL-4 1000元/96T h.BDNF 1000元/96Th.MIP-3a 1500元/96T m.IL-5 1000元/96T h.BMP-2 1500元/96Th.MCP-1 1000元/96T m.IL-6 1000元/96T h.CD54 1500元/96Th.MMP
技术资料暂无技术资料 索取技术资料










