相关产品推荐更多 >
万千商家帮你免费找货
0 人在求购买到急需产品
- 详细信息
- 文献和实验
- 技术资料
- 保存条件:
阴凉干燥
- 保质期:
长期
- 英文名:
Doxapram Hydrochloride
- 库存:
885
- 供应商:
北京百奥莱博科技有限公司
特别声明:本产品及我公司所售其他产品均为科研类试剂产品,严禁用于药物、医疗及其他非科研用途。
北京百奥莱博公司供应包括盐*(代"酸")多沙普仑标准品打折促销在内的化学标准品,化学对照品,杂志对照品,HPLC标准品,UV标准品等高品质标准品、对照品
名称:盐*(代"酸")多沙普仑标准品打折促销
规格:50mg
英文名:Doxapram Hydrochloride
品牌:百奥莱博
产地:国产|进口
关于盐*(代"酸")多沙普仑标准品打折促销的更详细说明,请致电我公司咨询,我们将以最饱满的热情为您提供解答,此外,我公司专业供应下列产品:
·环戊噻嗪
编号:BP0154
英文名称:Cyclopenthiazide
规格:50mg
·尿素
编号:BP0229
英文名称:Urea
规格:100mg/支
本品为尿素的化学对照品,供含量测定用,105℃干燥2小时后使用,供UV法测定,按CH4N2O计,含量为100.0%。
分子式:CH4N2O
分子量:60.06
CAS号:57-13-6
包装及装量:棕色西林瓶装,每支约100毫克。
储存条件:遮光,密封,在阴凉处保存。
注意事项:105℃干燥2小时后使用。建议在RH70%以下环境中称量。
·甲氧沙*(代"林")
编号:BP0344
英文名称:Methoxsalen
规格:100mg
本品为尿素的化学对照品,供含量测定用,105℃干燥2小时后使用,供UV法测定,按CH4N2O计,含量为100.0%。
分子式:CH4N2O
分子量:60.06
CAS号:57-13-6
包装及装量:棕色西林瓶装,每支约100毫克。
储存条件:遮光,密封,在阴凉处保存。
注意事项:105℃干燥2小时后使用。建议在RH70%以下环境中称量。
·脱水差向四环素
编号:BP1590
英文名称:4-epianhydrotetracycline
规格:50mg/支
本品为脱水差向四环素标准品,含量按脱水差向四环素C22H22N2O7计,供盐*(代"酸")四环素品种有关物质及含量测定用。
使用方法:精密称取本品适量,按相关质量标准的规定,溶解并稀释至所需浓度的溶液,立即使用。
储存条件:置5℃以下低温避光保存。开启安瓿后严密保持干燥,以防吸水。
注意事项:使用前不需干燥处理。
·枸橼酸爱地那非
编号:BP0788
英文名称:Aildenafil Citrate
规格:100mg
本品为枸橼酸爱地那非化学对照品,按C23H32N6O4S·C6H8O7计,含量为98.9%。
分子式:C23H32N6O4S·C6H8O7
分子量:680.74
包装及装量:棕色小瓶装,每支约100毫克。
储存条件:遮光,密封保存。
注意事项:使用前不需干燥处理。
盐*(代"酸")多沙普仑标准品打折促销关键词:Doxapram Hydrochloride,盐*(代"酸")多沙普仑,BP0058
我公司是一家生物高新技术企业,主要从事免疫学、分子生物学和常规生化试剂的研发、销*(代"售")。并代理销*(代"售")Omega、Sigma、R&D、GBD、ATCC、HYCLONE等二十多家国外知名品牌,致力于为广大高校、科研院所和企事业单位提供一流的科研试剂和完善的技术服务,满足生物化学、分子生物学 、盐*(代"酸")多沙普仑、细胞生物学、免疫学 ELISA试剂盒等生物科技实验需求。
·阿多尼弗林碱
编号:BP1426
英文名称:Adonifoline
规格:5ml/支
本品为阿多尼弗林碱化学对照品,供限量检查用,本品为阿多尼弗林碱的甲*(代"酸")溶液,浓度以0.092μg/ml计。
分子式:C18H23NO7
分子量:365.38
包装及装量:棕色安瓿瓶。
储存条件:冷藏。
·醋酸*轻松
编号:BP0010
英文名称:Fluocinonide
规格:100mg/支
本品为醋酸*轻松(Fluocinonide),按C26H32F2O7计,供HPLC法测定,含量为99.6%;供UV法测定,含量为100%。
分子式:C26H32F2O7
分子量:494.53
CAS号:356-12-7
包装及装量:棕色小瓶装,每支约100毫克。
储存条件:遮光,密封保存。
注意事项:105℃干燥2小时后使用,溶液临用新制。
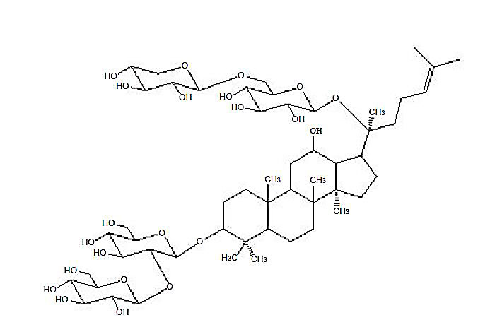
·人参皂苷Rb3
编号:BP1291
英文名称:Ginsenoside Rb3
规格:20mg
本品为人参皂苷Rb3化学对照品,供鉴别或含量测定用,含量以97.0%计,使用前不需干燥处理。
CAS号:68403-26-8
分子式:C53H90O22
分子量:1079.27
结构式:

包装:棕色安瓿瓶
规格:约20mg/支
储存条件:冷冻保存
注意事项:本品有引湿性,打开包装后一次使用完毕
·促卵泡生成素(FSH)
编号:BP1937
英文名称:Follicle Stimulating Hormone
规格:200mIU/支
本品为促卵泡生成素标准品,供促卵泡生成素免疫测定用。以人垂体源FSH为原料制备,供FSH免疫分析使用,适用于化学发光、时间分辨免疫荧光等方法。
性状:白色冻干粉末
包装:白色安瓿瓶
规格:每支安瓿内含FSH为200mIU,人血清白蛋白(HSA)4g,磷酸盐微量,本品为冻干品。
储存条件:-20℃,避免反复冻融
使用方法和要求:
建议使用时以含0.5-1%的人血清白蛋白(HSA)或牛血清白蛋白(BSA)的10mM磷酸盐缓冲液(pH=7.2-7.4)或其他含
盐*(代"酸")多沙普仑标准品打折促销关键词:Doxapram Hydrochloride,盐*(代"酸")多沙普仑,BP0058
我公司是一家生物高新技术企业,主要从事免疫学、分子生物学和常规生化试剂的研发、销*(代"售")。致力于为广大高校、科研院所和企事业单位提供一流的科研试剂和完善的技术服务,满足生物化学、分子生物学 、盐*(代"酸")多沙普仑、细胞生物学、免疫学ELISA试剂盒等生物科技实验需求。我们诚以100%的热情换您100%的满意!
BL0962 封闭山羊血清正常(原液) 10ml
ZCNXQ03 特级胎牛血清 100ml
ARB10685 人杀菌肽B(CecB)Elisa分析 Human cecropin b,cecb ELISA KIT
ARB14002 猪髓过氧化物酶(MPO)elisa检测操作说明书 Porcine myeloperoxidase,mpo ELISA KIT
BL1201 番红染色液(沙黄)
ARB10203 人β2糖蛋白1抗体IgA(β2-GP1 Ab IgA)elisa检测 Human β2-glycoprotein 1 antibody iga,β2-gp1 ab iga ELISA KIT
ARB13172 小鼠破伤风抗体(TetAnus Ab)Elisa定量检测
ARB11402 人神经*酸酶(NA)含量分析 Human neuraminidase,na ELISA KIT
F020221 兔抗人IgG FC抗体 Rabbit Anti-Human IgG(FC)
L0204 小鼠IgG3类单克隆抗体腹水纯化试剂盒
ARB13555 兔子中性粒细胞弹性蛋白酶(NE)定量分析 Rabbit neutrophil elastase,ne ELISA KIT
BL1364 5×RNA Loading Buffer(非变性)
木聚糖 Sodium pyruvate 9014-63-5
ARB11466 人胰岛素自身抗体(IAA)酶联免疫定量检测 Human insulin autoantibodies,iaa ELISA KIT
组胺2盐*(代"酸")盐 Indoxyl-Gal 56-92-8
儿茶素 COA 225937-10-0或154-23-4
ARB11111 人乳铁传递蛋白/乳铁蛋白(LF/LTF)ELISA代测服务 Human lactoferrin,ltf/lf ELISA KIT
ARB10568 人过敏毒素/补体片断4(C4A)含量分析 Human complement fragment 4a,c4a ELISA KIT
盐*(代"酸")多沙普仑等科研试剂品质优良,受到广大科研工作者的一致肯定和赞许。质量品牌保证,价格公正,倾力为国内国外生命科学研究人员提供一流的产品。欢迎来电咨询!
我公司正在打折促销标准品对照品全系列产品,恭候您的咨询选购盐*(代"酸")多沙普仑标准品打折促销。
风险提示:丁香通仅作为第三方平台,为商家信息发布提供平台空间。用户咨询产品时请注意保护个人信息及财产安全,合理判断,谨慎选购商品,商家和用户对交易行为负责。对于医疗器械类产品,请先查证核实企业经营资质和医疗器械产品注册证情况。
文献和实验近几年,从科学研究到临床检测,从「非洲猪瘟」检测到「新冠病毒」检测,荧光定量 PCR 仪器已成为分子生物学研究的常规设备。检测方法的迅速发展,检测任务的紧急也对检测人员提出了更高的要求,需要他们具备熟练判断数据结果的能力。对于荧光定量 PCR 的结果的判断,最直观的判断就是看扩增曲线是否正常。很多老师在平时实验中会遇到异常扩增曲线的困扰,比如打折的扩增曲线、复孔间重复性不好、阴性样本扩增曲线抬升等。面对异常的扩增曲线,大家也不用担心,接下来我们会结合几个实例,带着大家一起来看一下比较常见的异常
回收试剂盒,用抽滤的方法替代离心,使得实验可以连续进行,特别适合批量进行的需要――想象看,你只要将溶胶液加入装配好的抽滤管中,哗一下就抽干了,再加洗涤的试剂,哗一下又好了,多快呀!节约很多时间和功夫,不需要在离心机前面拿进拿出。以后的全自动操作模式就是这样的啦! 看到这里可能大家都会说Qiagen的东西好是好,但是就是贵,一般的实验室都舍不得平时用,往往留着关键时刻做,不错,好东西自然不便宜,不过他们有时候也会打折促销。
我最近在网上看到有公司在ELISA试剂盒的促销,好划算啊 我想把这个好消息,好资源与大家分享 几年来,博士德的ELISA试剂盒以优良的品质、卓越的性价比和良好的售后服务受到广大科研工作者的青睐。更因其品种齐全、操作简单、检测时间短、所需样品少而成为细胞因子检测的经典产品。公司生产的近270多种 ELISA 试剂盒,涉及分子生物学、分子免疫学、细胞生物学等生命科学研究的各个领域。公司总部位于武汉,代理商经销商遍及全国各地,形成了覆盖全国的有效服务网络,训练有素的专业人员能为客户提供技术
技术资料暂无技术资料 索取技术资料









