万千商家帮你免费找货
0 人在求购买到急需产品
- 详细信息
- 文献和实验
- 技术资料
- 保存条件:
冷藏
- 保质期:
长期
- 英文名:
Citicoline Sodium
- 库存:
723
- 供应商:
北京百奥莱博科技有限公司
- CAS号:
33818-15-4
特别声明:本产品及我公司所售其他产品均为科研类试剂产品,严禁用于药物、医疗及其他非科研用途。
北京百奥莱博公司供应包括胞磷胆碱*标准品哪里卖在内的化学标准品,化学对照品,杂志对照品,HPLC标准品,UV标准品等高品质标准品、对照品
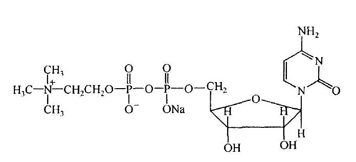
名称:胞磷胆碱*标准品哪里卖
产地:国产|进口
编号:BP1823
规格:50mg/瓶
英文名:Citicoline Sodium
本品为胞磷胆碱*化学对照品,供含量以C14H25N4NaO11P2计为100.0%,供胞磷胆碱*及其制剂的鉴别与含量测定使用。
CAS号:33818-15-4
分子式:C14H25N4NaO11P2
分子量:510.31
结构式:

包装:棕色西林瓶
装量:约50mg/瓶
储存条件:遮光,阴凉干燥处
注意事项:使用前100℃减压干燥5小时,
关于胞磷胆碱*标准品哪里卖的更详细说明,请致电我公司咨询,我们将以最饱满的热情为您提供解答,此外,我公司专业供应下列产品:
·甘露醇
编号:BP0409
英文名称:Mannitol
规格:300mg
本品为D-甘露糖醇化学对照品,按C6H14O6计,供HPLC法测定,含量为99.0%。
分子式:C6H14O6
分子量:182.17
CAS号:69-65-8
包装及装量:棕色西林瓶装,每支约300毫克。
储存条件:密封,置阴凉处保存。
注意事项:使用前不需干燥处理。
·盐*(代"酸")多塞平
编号:BP0059
英文名称:Doxepin Hydrochloride
规格:100mg/支
本品为盐*(代"酸")多塞平(DoxepinHydrochloride)的化学对照品,供含量测定用,按C19H21NO·HCl计,含量为99.5%。
分子式:C19H21NO·HCl
分子量:315.84
CAS号:1229-29-4
包装及装量:棕色小瓶装,每支约100毫克。
储存条件:遮光,密封保存。
注意事项:本品极具引湿,打开包装一次性使用完。使用不需干燥处理。
·石吊兰素
编号:BP1205
英文名称:Lysionotin
规格:20mg
本品为石吊兰素化学对照品,供含量测定用,以98.1%计。
分子式:C18H16O7
分子量:344.32
包装及装量:棕色瓶。
储存条件:干燥密闭保存。
注意事项:置五氧化二磷减压干燥器中干燥 12 小时后使用。
胞磷胆碱*标准品哪里卖关键词:胞磷胆碱*,Citicoline Sodium,33818-15-4
·*甲*(代"酸")甲硝唑
编号:BP0566
英文名称:Metronidazole Benzoate
规格:100mg
·枸橼酸托烷司琼
编号:BP2138
英文名称:Tropisetron Citrate
规格:100mg/支
本品为枸橼酸托烷司琼化学对照品,供HPLC法含量测定用,按C17H20N2O2·C6H8O7计,含量为100.0%,使用前不需干燥处理。
CAS号:1251773-00-8
分子式:C17H20N2O2·C6H8O7
分子量:476.48
结构式:

包装:棕色西林瓶装
装量:约100mg/支
储存条件:遮光,密封保存
·盐*(代"酸")美司坦
编号:BP0407
英文名称:Mecysteine Hydrochlordie
规格:100mg
本品为枸橼酸托烷司琼化学对照品,供HPLC法含量测定用,按C17H20N2O2·C6H8O7计,含量为100.0%,使用前不需干燥处理。
CAS号:1251773-00-8
分子式:C17H20N2O2·C6H8O7
分子量:476.48
结构式:

包装:棕色西林瓶装
装量:约100mg/支
储存条件:遮光,密封保存
·土霉素
编号:BP1639
英文名称:Oxytetracycline
规格:200mg
本品为土霉素化学对照品,供高效液相含量测定用,含量以土霉素(C22H24N2O9)计。
使用方法:精密称取本品约 25mg ,置 50ml量瓶中,加 0.1mol/L盐*(代"酸")溶液 5ml使溶解后,加水稀释至刻度,摇匀,精密量取 10ml,置50ml量瓶中,加0.01 mol/L盐*(代"酸")溶液稀释至刻度,摇匀,立即使用。
储存条件:置 5℃以下低温避光保存。开启安瓿后严密保持干燥,以防吸水。
注意事项:使用前不需干燥处理。
·盐*(代"酸")阿可乐定(盐*(代"酸")安普乐定)
编号:BP0502
英文名称:Apracloniding Hydrochloride
规格:50mg
本品为土霉素化学对照品,供高效液相含量测定用,含量以土霉素(C22H24N2O9)计。
使用方法:精密称取本品约 25mg ,置 50ml量瓶中,加 0.1mol/L盐*(代"酸")溶液 5ml使溶解后,加水稀释至刻度,摇匀,精密量取 10ml,置50ml量瓶中,加0.01 mol/L盐*(代"酸")溶液稀释至刻度,摇匀,立即使用。
储存条件:置 5℃以下低温避光保存。开启安瓿后严密保持干燥,以防吸水。
注意事项:使用前不需干燥处理。
·紫花前胡苷
编号:BP1389
英文名称:Nodakenin
规格:20mg/支
本品为紫花前胡苷化学对照品,含量测定用,使用前不需干燥处理,含量以99.6%计。
CAS号:495-31-8
分子式:C20H24O9
分子量:408.40
结构式:

包装:棕色安瓿瓶
装量:约20mg/支
储存条件:冷处(2-10℃)保存
胞磷胆碱*标准品哪里卖关键词:胞磷胆碱*,Citicoline Sodium,33818-15-4
我公司拥有专业生化试剂实验和销*(代"售")经验,为专业的您提供专业的服务。种类丰富,*基酸类、酶类、维生素类、胞磷胆碱*、缓冲剂类、色素类、植物激素及核酸类、碳水化合物类、抗生素类均有销*(代"售")。品牌代理,质量保障,其产品涉及生命科学的所有领域,包括生化试剂,抗体,ELISA试剂盒等等。
·亚甲蓝
编号:BP0846
英文名称:Methylthioninium Chloride
规格:100mg
本品为亚甲蓝三水合物,供含量测定用,供UV法测定,按C16H18ClN3S计,含量为83.4%。
CAS号:7220-79-3
分子式:C16H18ClN3S·3H2O
分子量:373.90
包装及装量:棕色西林瓶装,每支约100毫克。
储存条件:遮光,密封保存。
注意事项:使用前不需干燥处理,本品具有引湿性,建议打开包装后一次性使用完毕。
·二甲硅油750
编号:BP2073
英文名称:Dimethicone 750
规格:1ml/支
本品为二甲硅油750化学对照品,仅供二甲硅油品种项下二甲硅油750型号红外光谱吸收度及含量测定用,使用前不需干燥处理。
CAS号:9006-65-9
分子式:(C2H6OSi)nC4H12Si
结构式:

包装:棕色安瓿
规格:约1ml/支
储存条件:遮光、常温保存
·盐*(代"酸")氮卓斯汀
编号:BP0466
英文名称:Azelastine Hydrochloride
规格:100mg
本品为二甲硅油750化学对照品,仅供二甲硅油品种项下二甲硅油750型号红外光谱吸收度及含量测定用,使用前不需干燥处理。
CAS号:9006-65-9
分子式:(C2H6OSi)nC4H12Si
结构式:

包装:棕色安瓿
规格:约1ml/支
储存条件:遮光、常温保存
·牛蒡苷
编号:BP1105
英文名称:Arctiin
规格:20mg/支
本品为牛蒡苷化学对照品,供鉴别及含量测定用,含量以95.9%计,使用前不需处理。
CAS号:20362-31-6
分子式:C27H34O11
分子量:534.54
结构式:

包装:棕色安瓿瓶
装量:约20mg/支
储存条件:冷处(2-10℃)保存
我公司提供多种购买方式:登陆网站联系客服查询!(您可通过电话/传真/QQ/邮件等方式咨询,订购或索取胞磷胆碱*最新报价)
我们专业供应科研试剂多年,品质保证 售前,售中,售后服务一条*(代"龙"),无效果、免费退换。您只需告诉我们您的需要或要求,我们的客户服务代表将会给您提供专业的咨询和解答。优质服务让您更省心,更舒心,更放心。敬请关注!
我公司专业供应高品质 elisa试剂盒,血清,抗体,培养基,标准品,胞磷胆碱*,生物试剂,实验耗材,公司位于北京市海淀区,是一家专业从事“产品研发生产、市场销*(代"售")、技术服务”为一体的高科技生物技术公司。
北京百莱博科技有限公司是标准品对照品产品的专业生产供应销*(代"售")商,恭候您的咨询选购胞磷胆碱*标准品哪里卖。
风险提示:丁香通仅作为第三方平台,为商家信息发布提供平台空间。用户咨询产品时请注意保护个人信息及财产安全,合理判断,谨慎选购商品,商家和用户对交易行为负责。对于医疗器械类产品,请先查证核实企业经营资质和医疗器械产品注册证情况。
文献和实验(4).中药的回收率和化药有什么差别吗?化药做加样回收率时,样品也是减半吗? 17.感谢版主的回答,我看了一下“《中国药典》中药质量标准研究制定技术要求”规定含量限度,要求测定十批,并没有临床和生产之分啊。不知道在哪可以查得到,对于报批临床和生产要求不一样吗?我以前倒是没有注意过这一点。我的标准品是在中检所买的,包装上写着:供含量测定用,以97%计。中检所卖给我们的标准品,本身就达不到98%的纯度。另外,本想问,不需要做中间精密度吗?即不同日期、不同
,添加水平为100微克/kg,测定加标后epm值,与控制点epm值1671相比较,结果添加13种磺胺类标准品的样品测定结果阳性率为100%。而添加四环素、氯霉素、氨苄青霉素、卡那霉素等标准品的样品测定结果均为阴性。上述实验验证了Charm II放射免疫分析法测定饲料中磺胺类残留的特异性能满足检测要求。(三)卖测结果分析应用Charm II放射免疫分析方法测定41份饲料样品的磺胺类残留,其中检测出5份样品初筛阳性,经GC-MS确认其中2份为阴性,检测的假阳性率为7-32%。取1O份初筛阴性的样品
卷和国际化学品安全卡片说明:长期或反复大量摄入三聚氰胺可能对肾与膀胱产生影响,导致产生结石。近期的“三lu奶粉”事件,就是因为不法分子掺卖混有三聚氰胺的奶粉,导致许多婴儿肾结石,造成了严重的后果。本文采用北京普析通用仪器有限公司的L6-1系列高效液相色谱仪和北京艾杰尔科技的三聚氰胺快速分析方法包,依据GB/T22400-2008《原料乳中三聚氰胺快速检测 液相色谱法》建立原奶中三聚氰胺快速、准确的检测方法。 实验部分 仪器与试剂
技术资料暂无技术资料 索取技术资料










