万千商家帮你免费找货
0 人在求购买到急需产品
- 详细信息
- 文献和实验
- 技术资料
- 保存条件:
室温
- 保质期:
长期
- 英文名:
Methyl Decanoate
- 库存:
478
- 供应商:
北京百奥莱博科技有限公司
- CAS号:
110-42-9
特别声明:本产品及我公司所售其他产品均为科研类试剂产品,严禁用于药物、医疗及其他非科研用途。
百奥莱博公司致力于为全国科研单位提供药典标准品、对照品、标准溶液、标准样品、对照培养基、国家标准品等可靠标准物质,其中癸酸甲酯标准品北京厂家的品质过硬,在广大科研人员中有口皆碑!
名称:癸酸甲酯标准品北京厂家
产地:国产|进口
英文名:Methyl Decanoate
编号:BP2080
品牌:百奥莱博
本品为癸酸甲酯化学对照品,仅供月桂山梨坦(司盘20)品种项下脂肪酸组成检查用。
CAS号:110-42-9
分子式:C11H22O2
分子量:186.3
包装:棕色安瓿
规格:约0.5ml/瓶
储存条件:遮光、常温保存
关于癸酸甲酯标准品北京厂家的更详细说明,请致电我公司咨询,我们将以最饱满的热情为您提供解答,此外,我公司专业供应下列产品:
·5-羟甲基糠醛
编号:BP1248
英文名称:5-Hydroxymethyl-2-furaldehyde
规格:约10mg/支
本品为5-羟甲基糠醛化学对照品,供含量测定用,含量以99.2%计,使用前不需干燥处理。
CAS号:67-47-0
分子式:C6H6O3
分子量:126.11
包装:棕色安瓿瓶。
装量:约10mg/支
储存条件:冷冻
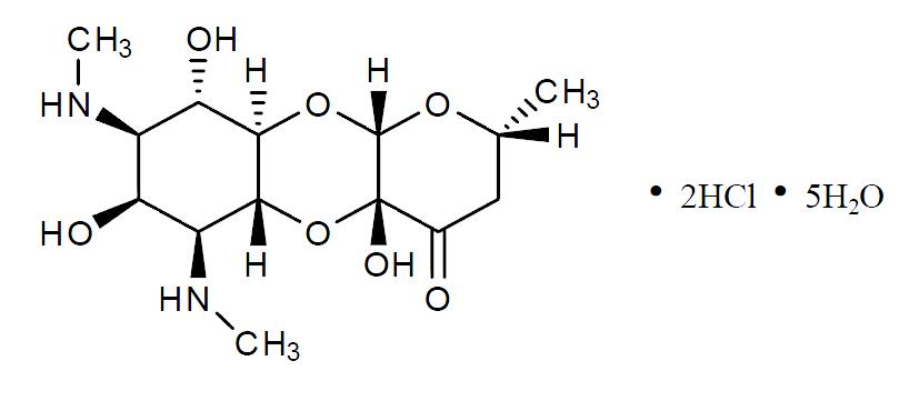
·大观霉素
编号:BP1576
英文名称:Spectinomycin
规格:100mg
本品为大观霉素标准品,供抗生素微生物效价测定用,含量以大观霉素单位计,每毫克相当于657单位,使用前不需干燥处理。
CAS号:22189-32-8
分子式:C14H24N2O7·2HCl·5H2O
分子量:495.35
结构式:

包装:白色安瓿
规格:约100mg/支
储存条件:2-8℃遮光保存
·云南白药提取物
编号:BP1115
英文名称:Yunnanbaiyao Reference Extract
规格:10mg/支
本品为云南白药对照提取物,供相关物质鉴别用。
包装:棕色安瓿瓶
规格:约10mg/支
储存条件:常温避光保存
·2-*基-4-**酚
编号:BP0760
英文名称:2-Amino-4-chlorophenol
规格:50mg
本品为云南白药对照提取物,供相关物质鉴别用。
包装:棕色安瓿瓶
规格:约10mg/支
储存条件:常温避光保存
·盐*(代"酸")西替利嗪
编号:BP0508
英文名称:Cetirizine Hydrochloride
规格:100mg/支
本品为盐*(代"酸")西替利嗪化学对照品,供含量测定用。按C21H25ClN2O3·2HCl计,供UV法测定,含量为99.8%计;供HPLC法测定,含量为99.3%。
CAS号:83881-52-1
分子式:C21H25ClN2O3·2HCl
分子量:461.81
包装及装量:棕色小瓶装,每支约100毫克。
储存条件:遮光、阴凉处密封保存。
注意事项:使用前不需要干燥处理。
癸酸甲酯标准品北京厂家关键词:Methyl Decanoate,110-42-9,癸酸甲酯
·亥茅酚苷
编号:BP1313
英文名称:Sec-O-glucosylhamaudol
规格:20mg
·枸橼酸莫沙必利
编号:BP0505
英文名称:Mosapride Citrate
规格:100mg
本品为枸橼酸莫沙必利化学对照品,供含量测定用,使用前不需干燥处理,UV法测定,按C21H25ClFN3O3·C6H8O7计,含量为94.2%。
CAS号:636582-62-2
分子式:C21H25ClFN3O3·C6H8O7·2H2O
分子量:650.05
包装及装量:棕色西林瓶装,每支约100毫克。
储存条件:遮光,密封保存。
注意事项:使用前不需干燥处理。
·*扎*铵
编号:BP0418
英文名称:Benzalkonium Chloride
规格:8ml/支
本品为*扎*铵化学对照品,供HPLC法检查和容量法含量测定,按C22H40ClN计,每1ml中含*扎*铵为12.19mg。含n-CH取代同系物为66.04%,n-CH取代同系物为33.96%。
分子式:C22H40ClN(平均)
分子量:354.01(平均)
包装:白色安瓿
规格:约8毫升/支
储存条件:遮光,密封,2-8℃保存。
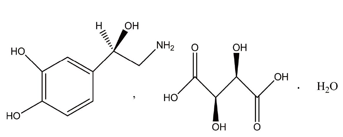
·重酒石酸去甲肾上腺素
编号:BP0136
英文名称:Norepinephrine Bitartrate
规格:100mg/支
本品为重酒石酸去甲肾上腺素的化学对照品,供HPLC法测定用,按C8H11NO3·C4H6O8·H2O计,含量为94.3%,使用前不需干燥处理。
分子式:C8H11NO3·C4H6O8·H2O
结构式:

分子量:337.28
CAS号:69815-49-2
包装:棕色安瓿瓶
规格:约100毫克/支
储存条件:遮光,充氮气,密封保存。
·青霉素系统适用性对照品
编号:BP1724
英文名称:Benzylpenicillin for system suitability
规格:30mg
本品为青霉素系统适用性对照品,供含量测定和有关物质系统适用性试验用,使用前不需干燥处理。
标准图谱:
1.含量测定系统适用性试验用标准图谱:
色谱柱:SHISEIDOMGIIC185μm4.6mm×250mm

注:以有关物质项下流动相A-流动相B(85:15)为流动相。
2.有关物质系统适用性试验用标准图谱:
色谱柱:SHISEIDOMGIIC185
癸酸甲酯标准品北京厂家关键词:Methyl Decanoate,110-42-9,癸酸甲酯
癸酸甲酯等试剂产品仅用于科研实验使用,拥有一流的技术指导及完善的售后服务体系,来保证我们产品的使用效果,欢迎广大科研学者来电咨询、选购。
·藤黄酸
编号:BP1498
英文名称:Gambogic acid
规格:约20mg/支
本品为藤黄酸化学对照品,供含量测定用,含量以97.0%计,使用前无需处理。
CAS号:2752-65-0
分子式:C38H44O8
分子量:628.75
结构式:

包装:棕色安瓿瓶
规格:约20毫克/支
储存条件:常温保存
·酮康唑
编号:BP0234
英文名称:Ketoconazole
规格:100mg
本品为酮康唑的化学对照品,供鉴别、检查和含量测定用,使用前不需要干燥处理。
储存条件:置5℃以下条件低温避光保存。启开安瓿后严密保持干燥以防吸水。
使用方法:精密称取适量,按质量标准所规定的方法,配制至所需浓度的对照品溶液,立即使用。
·二甲硅油750
编号:BP2073
英文名称:Dimethicone 750
规格:1ml/支
本品为二甲硅油750化学对照品,仅供二甲硅油品种项下二甲硅油750型号红外光谱吸收度及含量测定用,使用前不需干燥处理。
CAS号:9006-65-9
分子式:(C2H6OSi)nC4H12Si
结构式:

包装:棕色安瓿
规格:约1ml/支
储存条件:遮光、常温保存
·西咪替丁
编号:BP0127
英文名称:Cimetidine
规格:100mg/支
本品为西咪替丁的化学对照品,使用前不需干燥处理。供HPLC法含量测定用,按C10H16N6S计,含量为99.8%。
分子式:C10H16N6S
结构式:

分子量:252.34
CAS号:51481-61-9
包装及装量:棕色西林瓶装,每支约100mg。
储存条件:遮光,密封保存。
癸酸甲酯为高校实验室,各大科研单位专用试剂,不得用于生产或者其它用途,本公司提供各种品牌的进口的试剂来满足不同客户的需求,欢迎前来订购!
癸酸甲酯是我们热销产品之一,品牌代理,品质保证,专业性强,实验全程无忧。我公司已为中国市场提供数万种高端试剂,我们有能力提供毫克级,克级,甚至公斤级。试剂产品相关信息齐全,欢迎来电咨询、选购。
我公司正在优惠促销标准品对照品等系列产品,期待您的咨询选购癸酸甲酯标准品北京厂家。
风险提示:丁香通仅作为第三方平台,为商家信息发布提供平台空间。用户咨询产品时请注意保护个人信息及财产安全,合理判断,谨慎选购商品,商家和用户对交易行为负责。对于医疗器械类产品,请先查证核实企业经营资质和医疗器械产品注册证情况。
文献和实验本文主要介绍 ELISA 试剂盒、实验样本、相关问题,帮助大家更好地开展实验 试剂盒 Q1:科研试剂盒与临床试剂盒的区别 ? A1:临床试剂是经过权威机构认可的,如 FDA、CFDA 等;而科研试剂一般是厂家自主研制,不需要通过权威机构验证。 经营临床诊断类产品的机构需要取得《医疗器械经营企业许可证》;经营科研试剂的机构不需要此证件。 临床试剂盒一般仅用于检测人血清/血浆等较为单一的分泌性样本类型;科研试剂盒的样本检测种类、检测范围则比临床试剂盒宽广得多。但一般来说,临床试剂盒的质量
前段时间,小编的朋友圈被「我们的 18 岁」刷了屏,大家争相回忆自己曾经的似水年华。原来十年前,已经是 2009,而不再是 1999 了。,但是实验室的一些老物件却勾起了小编对于过去回忆……试剂篇这是一瓶好早以前的硫酸锌,从这个国家标准来看,应该是 1978 年后生产的。还有北京朝阳区化工四厂出品的硫酸锰。北京化工四厂 1956 年建厂, 1964 年由市区迁入房山区,是一个有 60 多年的老厂。这瓶柠檬酸三钠从批号看是 1985 年产的,比小编大了能有 10 岁。不看不知道,原来实验室很早
市面上的 ELISA 试剂盒五花八门,质量良莠不齐。如何浪里淘金,选择既符合科研需求,又品质上乘的 ELISA 试剂盒呢? 教你七招,快速搞定 ELISA 试剂盒的选择! 01 查找待测样本的蛋白浓度 通过检索 SCI 文献、Genecards、Mayocliniclabs 等,获得目标蛋白的表达部位及表达浓度参考值,比较 ELISA 试剂盒中给出的样本测值与参考值是否一致。 02 明确试剂盒的应用种属&检测的样本类型 不同厂家验证的样本类型不同。除试剂盒特别说明外,一般情况下,不同
技术资料暂无技术资料 索取技术资料










