万千商家帮你免费找货
0 人在求购买到急需产品
- 详细信息
- 技术资料
- 保存条件:
冷藏
- 保质期:
长期
- 英文名:
Sulindac
- 库存:
522
- 供应商:
北京百奥莱博科技有限公司
特别声明:本产品及我公司所售其他产品均为科研类试剂产品,严禁用于药物、医疗及其他非科研用途。
舒林酸对照品库存由专业试剂供应商北京百奥莱博提供,用于生化研究,本产品质量好,且极具价格优势,深为用户称道,了解更多舒林酸等标准品对照品产品请联系我司咨询订购。
名称:舒林酸对照品库存
产地:国产|进口
编号:BP0270
规格:50mg
除舒林酸对照品库存外,我公司正在打折促销以下产品:
BL0888 兔抗鸡IgG免疫血清 0.5ml
ARB14095 大鼠硫代巴比*(代"妥")酸反应物(TBARS)ELISA代测服务
BL0638 DEAE-琼脂糖凝胶CL-6B DEAE Sepharose CL-6B
ARB11844 人凝血因子X(FX)含量测试 Human coagulation factor x,fx ELISA KIT
纤维素染色液(改良MSB法) 9×50ml
4-*甲基*甲*(代"酸")甲酯盐*(代"酸")盐 Magenta-gal 6232-11-7
ARB10086 人CXC趋化因子配体16(CXCL16)酶标法分析 Human cxc-chemokine ligand 16,cxcl16 ELISA KIT
ARB12558 大鼠脂蛋白α(Lp-α)定量分析 Rat lipoprotein α,lp-α ELISA KIT
PY02-386 流体消化酪蛋白胨-大豆卵磷脂-聚山梨酯20培培养基养基 250克
聚氧乙*(代"烯")月桂醇醚 MUG 6540-99-4
ARB13555 兔子中性粒细胞弹性蛋白酶(NE)酶联免疫定量检测 Rabbit neutrophil elastase,ne ELISA KIT
乙酸*缓冲液(0.1mol/L,pH3.6-5.6,无菌) 500ml
5950-69-6 HydrindAntin dihydrate 二水还原茚三酮
ARB12509 大鼠结缔组织生长因子(CTGF)Elisa定量检测 Rat connective tissue growth factor,ctgf ELISA KIT
LB培养基 500ml
ARB10849 人抗细胞膜DNA抗体(cmDNA)尿液中含量检测 Human anti-cell membrane dna antibody,cmdna ELISA KIT
舒林酸对照品库存关键词:Sulindac,BP0270,舒林酸
·异亮*酸
编号:BP1263
规格:20mg
本品为异亮*酸化学对照品,供相关物质鉴别用。
包装及装量:棕色西林瓶,约20mg
储存条件:干燥密闭保存。
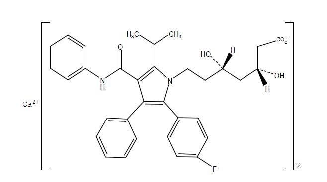
·阿托伐他汀* 杂质II
编号:BP2168
英文名称:Atorvastatin Calcium Impurity II
规格:20mg/瓶
本品为阿托伐他汀*杂质Ⅱ化学对照品,仅供阿托伐他汀*有关物质检查用,使用前不需干燥处理。
CAS号:887196-25-0
分子式:C66H68CaF2N4O10
分子量:1155.34
结构式:

包装及装量:棕色西林瓶,20mg/支
储存条件:遮光保存
·诺*沙星杂质B
编号:BP1727
英文名称:Norfloxacin impurity B
规格:50mg
本品为诺*沙星杂质B化学对照品,供依诺沙星品种系统适用性试验用。
使用方法:精密称取本品适量,按相关质量标准的规定,溶解并稀释至所需浓度的溶液,立即使用。
储存条件:置5℃以下低温避光保存。开启安瓿后严密保持干燥,以防吸水。
注意事项:使用前不需干燥处理。
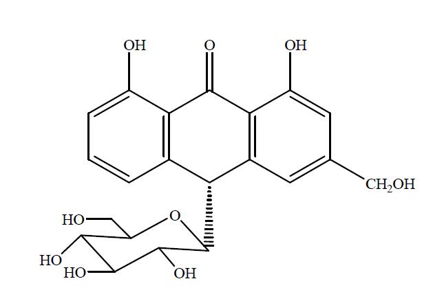
·芦荟苷
编号:BP1080
英文名称:Aloin
规格:约20mg/支
本品为芦荟苷化学对照品,供鉴别或含量测定用,使用前不需干燥处理,含量以94.4%计。
CAS号:1415-73-2
分子式:C21H22O9
分子量:418.39
结构式:

包装:棕色安瓿
规格:约20mg/支
储存条件:常温保存
注意事项:本品有引湿性,打开包装后一次使用完毕。
·吉它霉素
编号:BP1579
英文名称:Kitasamycin
规格:200mg
本品为吉他霉素标准品,供抗生素微生物效价及组分测定用,使用前不需干燥处理。
CAS号:1392-21-8
标准图谱——组分测定参考图谱

包装:白色安瓿
规格:约200毫克/支
储存条件:2-8℃保存
舒林酸对照品库存关键词:Sulindac,BP0270,舒林酸
舒林酸等试剂产品仅用于科研实验使用,拥有一流的技术指导及完善的售后服务体系,来保证我们产品的使用效果,欢迎广大科研学者来电咨询、选购。
·硬脂酸
编号:BP2003
英文名称:stearic acid
规格:200mg/支
本品为硬脂酸化学对照品,供硬脂酸品种含量测定中系统适用性试验用。
CAS号:57-11-4
分子式:C18H36O2
分子量:284.48
包装及装量:棕色西林瓶装,每支约200mg
储存条件:避光,干燥
·马钱子生物碱混合对照溶液(暂行)
编号:BP1541
英文名称:Mixture Reference Solution of Strychni Semen Alkaloids
规格:约1.5ml/支
本品为马钱子生物碱混合对照溶液,供含量测定用,马钱子*(代"碱")浓度以0.10mg/ml计;士的*(代"宁")浓度以0.14mg/ml计
分子式:马钱子*(代"碱"):C23H26N2O4;士的*(代"宁"):C21H22N2O2
分子量:马钱子*(代"碱"):394.45;士的*(代"宁"):334.17
结构式:

马钱子*(代"碱")
舒林酸的纯度及用途:纯度高质含量低,适用于研究和配制标准液; 纯度较高,杂质含量较低,适用于定性和定量分析 重量略低于二级试剂,用途近似二级试剂 化学试剂按纯度由低到高可分为工业纯、实验纯(LR)、化学纯(CP)、分析纯(AR)、优级纯(GR)和超纯等多种规格。
我公司生产供应销*(代"售")的标准品对照品正全品类优惠促销,十分期待您的咨询选购舒林酸对照品库存。
风险提示:丁香通仅作为第三方平台,为商家信息发布提供平台空间。用户咨询产品时请注意保护个人信息及财产安全,合理判断,谨慎选购商品,商家和用户对交易行为负责。对于医疗器械类产品,请先查证核实企业经营资质和医疗器械产品注册证情况。
技术资料暂无技术资料 索取技术资料










