万千商家帮你免费找货
0 人在求购买到急需产品
- 详细信息
- 文献和实验
- 技术资料
- 保存条件:
冷藏
- 保质期:
长期
- 英文名:
Azlocillin
- 库存:
493
- 供应商:
北京百奥莱博科技有限公司
- CAS号:
37091-66-0
特别声明:本产品及我公司所售其他产品均为科研类试剂产品,严禁用于药物、医疗及其他非科研用途。
百奥莱博公司致力于为全国科研单位提供药典标准品、对照品、标准溶液、标准样品、对照培养基、国家标准品等可靠标准物质,其中阿洛西林对照品销*(代"售")的品质过硬,在广大科研人员中有口皆碑!
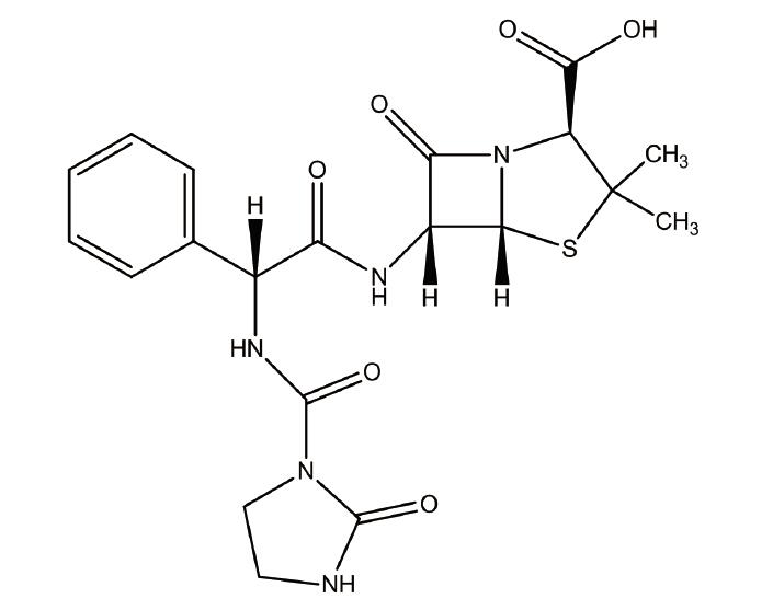
名称:阿洛西林对照品销*(代"售")
产地:国产|进口
英文名:Azlocillin
规格:100mg/支
编号:BP1698
品牌:百奥莱博
本品为阿洛西林化学对照品,供HPLC法含量测定用,以C20H23N5O6S计,含量为93.8%。使用前不需干燥处理。
CAS号:37091-66-0
分子式:C20H23N5O6S
分子量:461.1
结构式:

包装:白色安瓿
规格:100mg/支
储存条件:2-8℃条件遮光保存。
欲了解更多阿洛西林对照品销*(代"售")的品牌、产地、价格及说明书等产品信息,请致电北京百奥莱博科技有限公司,我们将竭诚为您服务,另外,以下产品正在火爆促销:
羟基乙酸* D-Glucose anhydrous 2836-32-0
ARB11789 人酸性神经鞘磷脂酶(ASM)Elisa方法检测 Human acid sphingomyelinase, asm ELISA KIT
F030805 BIOTIN标记山羊抗小鼠IgG抗体 Goat Anti-Mouse IgG*BIOTIN
ARB13184 小鼠胰岛素受体β(ISR-β)ELISA代测服务 Mouse insulin receptor β,isr-β ELISA KIT
ARB10559 人丝*酸/苏*酸蛋白*(代"磷")酸酶(STK)含量分析 Human serine/threonine protein kinase,stk ELISA KIT
十八烷基三甲基*化铵 4-Nitrophenyl-N-acetyl-α-D-glucopyranoside 1120-02-1
ARB12850 小鼠水通道蛋白0(AQP-0)血清中含量检测 Mouse aquaporin 0,aqp-0 ELISA KIT
乙酰螺旋霉素 Cytosine 24916-51-6
ARB12960 小鼠血管活性肠肽(VIP)代做ELISA实验 Mouse vasoactive intestinal Peptide,vip ELISA KIT
BL0288 IMDM
10127-02-3 吖啶橙 Acridine Orange
ARB13104 小鼠骨形成蛋白(BMPs)elisa检测操作说明书 Mouse bone morphogenetic proteins,bmps ELISA KIT
ARB11608 人脱*表雄酮硫*(代"酸")酯(DHEA-S)ELISA代测服务 Human dehydroepiandrosterone sulfate,dhea-s ELISA KIT
ARB10403 人可溶性细胞因子受体(sCKR)elisa检测说明书 Human soluble cytokine receptor,sckr ELISA KIT
ARB13192 小鼠胰淀素(AmylIn)检测服务 Mouse amylin ELISA KIT
85-61-0 辅酶A Coenzyme A hydrate(COA)
50-89-5 Thymidine 胸腺嘧啶核苷
盐*(代"酸")普奈洛尔 DL-lactic acid lithiu*(代"m") salt 318-98-9
ARB11779 人新生甲状腺素(NN-T4)含量检测 Human neonatal thyroxine,nn-t4 ELISA KIT
ARB12954 小鼠血管内皮细胞生长因子受体1(VEGFR-1/Flt1)酶免分析 Mouse vascuoar endothelial cell growth factor receptor 1,vegfr-1/flt1 ELISA KIT
*三乙酸 Aspartic aminotransferase 139-13-9
阿洛西林对照品销*(代"售")关键词:Azlocillin,37091-66-0,阿洛西林
T104 Taq Platinum DNA Polymerase
F030641 FITC标记小鼠抗鸡IgY(IgG)抗体 Monoclonal Mouse Anti-Chicken IgY*FITC
ARB12855 小鼠水通道蛋白5(AQP-5)代做ELISA实验 Mouse aquaporin 5,aqp-5 ELISA KIT
ARB10862 人抗结核杆菌(TB-Ab)含量测试 Human anti-tubercle bacilli ,tb-ab ELISA KIT
糖化酶 Suberic acid 9032-08-0
ARB14143 小鼠β淀粉样蛋白(Aβ)含量检测
PY04-073 卵黄盐水液 5ml/支×10支 每两支添加于90ml卵黄琼脂培养基基础中,用于肉毒梭菌、产气荚膜梭菌的分离培养
BTN60607 液相内毒素清除剂 Solution Endotoxin Erasol
考马斯亮蓝G250 L-Lysine acetate salt 6104-58-1
天青Ⅱ曙红 Guanidine carbonate 53092-85-6
维拉帕米盐*(代"酸")盐 Boc-D-glutamine 152-11-4
ARB11255 人胃泌素释放肽前体(ProGRP)尿液中含量检测 Human pro-gastrin-releasing Peptide, progrp ELISA KIT
PY02-084 改良Frey氏培养基基础 250克
BL1389 SABC兔IgG-FITC kit
PY02-035B 平板计数琼脂(GB) 250克
ARB10370 人去*加压素/1-去*基-8-右旋-精*酸加压素(dDAVP)elisa检测说明书 Human desmopressin/1-desamino-8-d-arginine vasopressin,ddavp ELISA KIT
PY08-050 BCYE琼脂 9CM 10皿/盒,用于分离培养军团菌属细菌
BFD027 呋*(代"喃")妥因快速检测试剂盒
26177-56-6 D-果糖-6-磷酸二* D-Fructose 6-phosphate
ARB11349 人类白细胞抗原E(HLA-E)ELISA检测服务 Human leukocyte antigen e,hla-e ELISA KIT
BL1258 MarkerⅡDNA Ladder
HC0156 离心管盒(72孔)
阿洛西林对照品销*(代"售")关键词:Azlocillin,37091-66-0,阿洛西林
阿洛西林等产品报价含税含运费,全程免费技术支持。我公司产品种类齐全,提供订制包装,免费快递送货上门,质量保证,欢迎来电购买!
·磷酸肌酸*
编号:BP0666
英文名称:Creatine Phosphate Sodium
规格:100mg
本品为磷酸肌酸*四水合物,供含量测定用,使用前不需干燥处理,供HPLC法测定,按C4H8N3O5PNa2计,含量为76.6%。本品溶液应临用新制。
CAS号:922-32-7
分子式:C4H8N3O5PNa2·4H2O
分子量:327.15
包装及装量:棕色西林瓶装,每支约100毫克。
储存条件:遮光,冷处密封保存。
注意事项:使用前不需干燥处理。本品具有引湿性,建议打开包装一次性使用完毕。
·栎瘿酸
编号:BP1419
英文名称:Roburic acid
规格:20mg/支
本品为栎瘿酸化学对照品,供薄层鉴别用。
CAS号:6812-81-3
分子式:C30H48O2
分子量:440.37
结构式:

包装:棕色瓶
规格:约20mg/支
储存条件:冷处(2-10℃)保存
·紫花前胡苷
编号:BP1389
英文名称:Nodakenin
规格:20mg/支
本品为紫花前胡苷化学对照品,含量测定用,使用前不需干燥处理,含量以99.6%计。
CAS号:495-31-8
分子式:C20H24O9
分子量:408.40
结构式:

包装:棕色安瓿瓶
装量:约20mg/支
储存条件:冷处(2-10℃)保存
我公司拥有专业生化试剂实验和销*(代"售")经验,为专业的您提供专业的服务。种类丰富,*基酸类、酶类、维生素类、阿洛西林、缓冲剂类、色素类、植物激素及核酸类、碳水化合物类、抗生素类均有销*(代"售")。品牌代理,质量保障,其产品涉及生命科学的所有领域,包括生化试剂,抗体,ELISA试剂盒等等。
我公司坚持“品质至上”, 通过与国际知名品牌的合作,选择高品质的产品,提供优质的客户服务。阿洛西林现货供应,以保证产品质量和市场需求率为主要目标,争取能在科研生命道路上能够长久的服务于广大新老客户。
我公司生产供应销*(代"售")的标准品对照品产品正全系列现货促销,满分期待您的垂询选购阿洛西林对照品销*(代"售")。
风险提示:丁香通仅作为第三方平台,为商家信息发布提供平台空间。用户咨询产品时请注意保护个人信息及财产安全,合理判断,谨慎选购商品,商家和用户对交易行为负责。对于医疗器械类产品,请先查证核实企业经营资质和医疗器械产品注册证情况。
文献和实验一枝蒿,百病都除掉”的民间谚语,一枝蒿用于治疗毒蛇咬伤、荨麻疹、消化不良、跌打红肿、感冒发烧、咽喉肿痛等症。以一枝蒿为主药的复方制剂,已针对感冒和过敏性鼻炎等症上市销售。一枝蒿中含有黄酮类、酮酸类、氨基酸类、苷类、多糖类、挥发油类、多肽和生物碱类等化学成分[5],其中倍半萜成分――一枝蒿酮酸含量较高[6],以该化合物作为药材对照品能够较好的控制药材质量,且倍半萜类成分大多具有抗肿瘤等多种生物活性。文章建立一枝蒿酮酸的含量测定方法,简便易行,准确可靠,可为一枝蒿药材及相关产品的质量控制奠定
技术资料暂无技术资料 索取技术资料









