相关产品推荐更多 >
万千商家帮你免费找货
0 人在求购买到急需产品
- 详细信息
- 文献和实验
- 技术资料
- 保存条件:
冷藏
- 保质期:
长期
- 英文名:
Clemastine Fumarate
- 库存:
288
- 供应商:
北京百奥莱博科技有限公司
特别声明:本产品及我公司所售其他产品均为科研类试剂产品,严禁用于药物、医疗及其他非科研用途。
富马酸*马斯汀对照品说明书由专业试剂供应商北京百奥莱博提供,用于生化研究,本产品质量好,且极具价格优势,深为用户称道,了解更多富马酸*马斯汀等标准品对照品产品请联系我司咨询订购。
名称:富马酸*马斯汀对照品说明书
英文名:Clemastine Fumarate
品牌:百奥莱博
产地:国产|进口
编号:BP0187
欲咨询购买富马酸*马斯汀对照品说明书,请致电北京百奥莱博科技有限公司,为您提供最全面周到的产品服务,除此之外,我公司正在促销以下产品:
PY02-035A 平板计数琼脂(SN) 250克
1-*磷酸*盐 Clearing factor lipase 2183-17-7
ARB13628 兔子神经营养因子3(NT-3)酶标法分析 Rabbit neurotrophin 3,nt-3 ELISA KIT
SJ0257 EDTA FREE ACLD 乙二*(代"胺")四乙酸
8007-47-4 加拿大树胶 Canadabalsam
SOB培养基(pH7.0) 500ml
ARB12046 大鼠乙醇脱*酶(ADH)定量分析 Rat alcohol dehydrogenase,adh ELISA KIT
ARB10328 人内吗*(代"啡")肽-2(EM-2)ELISA代测服务 Human endomorphin-2,em-2 ELISA KIT
ARB14133 人SlIt2 elisa检测操作说明书
BTN131057 钴柱介质 Co-Agarose Resin
PY02-397 APT琼脂 250克
ARB12387 大鼠肿瘤坏死因子可溶性受体Ⅱ(TNFsR-Ⅱ)代做ELISA实验 Rat tumor necrosis factor soluble receptor Ⅱ,tnfsr-Ⅱ ELISA KIT
利福平 Ammonium bitartrate 13292-46-1
3-*基-9-乙基咔唑 Amino black 10B 132-32-1
*化胆固醇 TDZ 910-31-6
Delafield苏木素染色液 100ml|500ml
富马酸*马斯汀对照品说明书关键词:Clemastine Fumarate,BP0187,富马酸*马斯汀
·盐*(代"酸")妥拉唑林
编号:BP0275
英文名称:Tolazoline Hydrochloride
规格:50mg
·盐*(代"酸")安他唑啉
编号:BP0177
英文名称:Antazoline Hydrochloride
规格:100mg
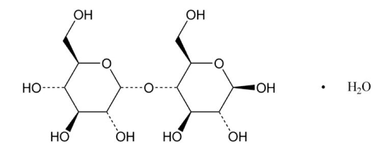
·麦芽糖
编号:BP0228
英文名称:Maltose
规格:2克/支
本品为麦芽糖的化学对照品,供含量测定用,使用前不需干燥处理,供HPLC法测定,按C12H22O11计,含量为94.4%。
分子式:C12H22O11·H2O
结构式:

分子量:360.31
CAS号:6363-53-7
包装:棕色西林瓶
规格:约2克/支
储存条件:遮光,密闭,10~30℃保存。
·人重组胰岛素样生长因子-I
编号:BP2119
英文名称:Insulin-like Growth Factor-I, recombinant, human
规格:0.5ml/支
本品为人重组胰岛素样生长因子-I免疫测定用标准品,以人重组胰岛素样生长因子-I(IGF-I)为原料制备,供 IGF-I免疫分析使用。适用于化学发光、酶联免疫法及时间分辨免疫荧光等方法。
性状:白色冻干粉末
包装:白色安瓿
规格:每支安瓿内含 IGF-I 7.4μg,含甘露醇 0.1g、海藻糖0.05g;叔丁醇 0.01ml、牛血清白蛋白 5mg、EDTA-2K 1mg,磷酸盐微量。
特性量值:每支安瓿内含 IGF-I 7.4μg。
储存条件:长期保存应置于-20℃以下
富马酸*马斯汀对照品说明书关键词:Clemastine Fumarate,BP0187,富马酸*马斯汀
我公司是一家集研发、销*(代"售")、实验室技术服务于一体的高科技企业。 多年来一直处于行业前沿。我们专业经营培养基、生化试剂、富马酸*马斯汀、进口ELISA试剂盒、化工产品、实验室消耗品、实验室耗材以及实验室器材。产品涉及分子生物学、细胞生物学、细菌学、遗传学、免疫学、生物化学、蛋白质学、细胞治疗等领域。
ARB10312 人巨噬细胞集落刺激因子(M-CSF)elisa检测说明书 Human macrophage colony-stimulating factor,m-csf ELISA KIT
褪黑素 Paraffin oil 73-31-4
TGMD溶液 100ml
ARB10839 人抗肾上腺皮质抗体(AAA)尿液中含量检测 Human anti-adrenocortical antibody,aaa ELISA KIT
002014 EDTA抗凝兔血
ARB13664 兔可溶性凋亡相关因子(sFAS/Apo-1)定量分析 Rabbit soluble factor-related apoptosis,sfas/apo-1 ELISA KIT
PY02-005A 麦康凯琼脂(不含结晶紫) 250克
5(6)-羧基二乙酸荧光素琥珀酰亚胺酯 BIS-TRIS 150347-59-4
ARB13561 兔子可溶性E选择素(sE-selectIn)酶联免疫定量检测 Rabbit soluble e-selectin,se-selectin ELISA KIT
DNA碱性转移缓冲液 500ml
98-92-0 Nicotinamide 烟酰胺(维生素pp)
5-氮胞苷 DL-Lysine monohydrochloride 320-67-2
酵母基因组提取试剂盒
ARB11880 人激肽释放酶11(KLK 11)含量分析 Human kallikrein 11,klk 11 ELISA KIT
CV0501 通用T载体菌落PCR鉴定试剂盒
HC0046 1.8ml冻存管外旋
ARB11988 大鼠L选择素(L-Selectin/CD62L)含量检测 Rat l-selectin ELISA KIT
中性树胶 β-DPN
62-56-*(代"6") Thiourea 硫*(代"脲")
3-*丙*(代"酸") Fmoc-L-valine 501-52-0
PY02-348 脑心浸液培养基 100克
F040304 山羊IgG抗原 Goat IgG
我公司提供多种购买方式:登陆网站联系客服查询!(您可通过电话/传真/QQ/邮件等方式咨询,订购或索取富马酸*马斯汀最新报价)
我们专业供应科研试剂多年,品质保证 售前,售中,售后服务一条*(代"龙"),无效果、免费退换。您只需告诉我们您的需要或要求,我们的客户服务代表将会给您提供专业的咨询和解答。优质服务让您更省心,更舒心,更放心。敬请关注!
我公司先后与天津中医学院、北京军区总医院、复旦大学、北京大学、上海交通大学、华东师范大学、第二军医大学、南京大学、清华大学、复兴医院、南京工业大学、301医院、中科院上海分院等多家单位建立了良好的合作关系。本公司可为您提供高品质的富马酸*马斯汀等科研试剂。 公司秉承“专注品质、信守承诺、积极沟通、创新服务”的企业文化积极参与生物领域的技术创新和技术服务,力求为我国科研事业更好的,更专业的服务!
北京百莱博科技有限公司是标准品对照品产品的专业生产供应销*(代"售")商,恭候您的咨询选购富马酸*马斯汀对照品说明书。
风险提示:丁香通仅作为第三方平台,为商家信息发布提供平台空间。用户咨询产品时请注意保护个人信息及财产安全,合理判断,谨慎选购商品,商家和用户对交易行为负责。对于医疗器械类产品,请先查证核实企业经营资质和医疗器械产品注册证情况。
文献和实验品和对照品均附有使用说明书,质量要求,有效期和装量等。 1.定义 生物制品标准物质系指用于生物制品效价、活性或含量测定的或其特性鉴别、检查的生物标准品或生物参考物质。 2.标准物质的种类 生物制品标准物质分为二类: 国家生物标准品:系指用国际标准品标定的,或我国自行研制的(尚无国际生物标准品者)用于定量测定某一制品效价或毒性的标准物质,其生物活性以国际单位(IU)或以单位(U)表示。 国家生物参考品:系指用国际参考品标定的,或我国自行研制的(尚无国际参考品者)用于微生
。由于大量正常人血甭较难得到,国外试剂盒中的对照品多以复钙人血浆(recalcified human plasma)为原料,即在血浆中加入钙离子,使其中的纤维蛋白质凝固,除去凝块后所得的液体,其组成与血清相似。阴性对照品须先行检测,确定其中不含待测物质。例如HBsAg检测的阴性对照品中不可含HBsAg,最好抗HBs也是阴性。阳性对照品多以含蛋白保护剂的缓冲液为基质,其中加入一定量的待检物质,此量最好在试剂说明书中标明。加入的量应与试剂的敏感度相称,在测定中得到的吸光值与受检标本吸光值比较,可对标本中受检
产生假阳性反应。一般说来,在 3 天内测定的血清标本可放置于 4℃,超过一周测定的需低温冰存。冻结血清融解后,蛋白质局部浓缩,分布不均,应充分混匀宜轻缓,避免气泡,可上下颠倒混和,不要在混匀器上强烈振荡。混浊或有沉淀的血清标本应先离心或过滤,澄清后再检测。反复冻融会使抗体效价跌落,所以测抗体的血清标本如需保存作多次检测,宜少量分装冰存。保存血清自采集时就应注意无菌操作,也可加入适当防腐剂。 2. 试剂的准备 按试剂盒说明书的要求准备实验中需用的试剂。 ELISA 中用的蒸馏水或去离子
技术资料暂无技术资料 索取技术资料










