相关产品推荐更多 >
万千商家帮你免费找货
0 人在求购买到急需产品
- 详细信息
- 文献和实验
- 技术资料
- 保存条件:
室温
- 保质期:
长期
- 英文名:
Spinosin
- 库存:
534
- 供应商:
北京百奥莱博科技有限公司
特别声明:本产品及我公司所售其他产品均为科研类试剂产品,严禁用于药物、医疗及其他非科研用途。
百奥莱博公司致力于为全国科研单位提供药典标准品、对照品、标准溶液、标准样品、对照培养基、国家标准品等可靠标准物质,其中斯皮诺素标准品促销的品质过硬,在广大科研人员中有口皆碑!
名称:斯皮诺素标准品促销
产地:国产|进口
品牌:百奥莱博
英文名:Spinosin
规格:约20mg/支
本品为斯皮诺素化学对照品,供鉴别及含量测定用,含量以95.4%计。
分子式:C28H32O15
分子量:608
包装及装量:棕色安瓿瓶,每支约20毫克。
储存条件:室温保存。
注意事项:使用前无需处理。
除斯皮诺素标准品促销外,我公司正在打折促销以下产品:
ARB10022 人5核苷酸酶(5-NT)elisa检测说明书 Human 5-nucleotidase,5-nt ELISA KIT
PY04-044 复达欣 3mg/支×10支 每支添加于100 ml李氏菌选择性培养基基础(MMA)中,用于单增李氏菌的选择性分离
153-18-4 芸香叶苷(芦丁) Rutin hydrate
2-(7-偶氮*并三氮唑)-N,N,N",N"-四甲基脲六*磷酸酯 Bibenzyl 148893-10-1
CYB165031 生物素化人IgG
N-甲基-D-葡糖胺 MBTH Hydrochloride 6284-40-8
2′-*脱氧尿苷 Poly C 784-71-4
BTN130412 eTS核心试剂盒 eTS Core Kit
BTN130675 核糖核酸酶HII RNase HII
乙二*(代"胺")四乙酸四*盐 3,3"-Dimethoxybenzidine 10378-23-1
ARB10710 人多肽YY(Peptide-YY)Elisa定量检测 Human Peptide yy ELISA KIT
F030422 胶体金标记兔抗人IgG FC抗体 Rabbit Anti-Human IgG(FC)*GOLD
ARB12249 大鼠血管活性肠肽(VIP)酶联免疫定量检测 Rat vasoactive intestinal Peptide,vip ELISA KIT
PY02-184 色*酸培养基 250克
ARB10448 人甲酰甲硫*酸(fMet)elisa检测说明书 Human formylmethionine,fmet ELISA KIT
I-卡拉胶 2- Methoxyphenol 9062-07-1
斯皮诺素标准品促销关键词:BP1421,Spinosin,斯皮诺素
·重组人胰岛素单体-二聚体
编号:BP1797
英文名称:Recombinant Human Insulin Monomer-dimer
规格:4mg/支
本品为重组人胰岛素单体-二聚体化学对照品,可供重组人胰岛素、胰岛素及其类似物高分子蛋白质测定的系统适用性试验用。本品不需干燥处理,配制后溶液可在2-8℃保存7天。
包装及装量:棕色西林瓶,每支约4毫克。
储存条件:遮光,密闭,在-15℃以下保存。
·千金子素L3
编号:BP1367
英文名称:Euphorbia Factor L3
规格:20mg
本品为重组人胰岛素单体-二聚体化学对照品,可供重组人胰岛素、胰岛素及其类似物高分子蛋白质测定的系统适用性试验用。本品不需干燥处理,配制后溶液可在2-8℃保存7天。
包装及装量:棕色西林瓶,每支约4毫克。
储存条件:遮光,密闭,在-15℃以下保存。
·纤维蛋白溶酶原(牛血)
编号:BP1780
英文名称:Plasminogen (Bovine)
规格:9酪蛋白单位
本品为纤维蛋白溶酶原(牛血)标准试剂,活力为9个酪蛋白单位/瓶,供尿激酶效价测定用。
包装及装量:棕色瓶,每瓶9个酪蛋白单位
储存条件:-20℃保存
注意事项:使用前放置至室温,按照质量标准规定溶解后使用,开启后一次使完。
·卡托普利
编号:BP0255
英文名称:Captopril
规格:100mg
本品为卡托普利的化学对照品,供HPLC法测定,按C9H15NO3S计,含量为99.5%。
分子式:C9H15NO3S
分子量:217.29
CAS号:62571-86-2
包装及装量:棕色小瓶装,每支约100毫克。
储存条件:遮光,密封保存。
注意事项:使用前不需干燥处理。
斯皮诺素标准品促销关键词:BP1421,Spinosin,斯皮诺素
斯皮诺素特价促销,价格合理,售后服务完善,确属质量问题可包换包退,免除您的后顾之忧。工作时间内可免费技术咨询和指导,我们将竭尽我们的全力为您服务,争取包您100%满意,欢迎新老客户来电订购!
·奥拉米特
编号:BP0349
英文名称:Qrazamide
规格:100mg
·肝素分子量对照品
编号:BP1912
英文名称:Heparin molecular weight calibrant
规格:25mg/瓶
本品为肝素分子量对照品,供肝素*、肝素*分子量与分子量分布检查实验使用。使用前不需干燥。
CAS号:9041-08-1
包装:棕色西林瓶
规格:约25mg/瓶
储存条件:避光,4℃冷藏保存
注意事项:本品具有引湿性。
肝素分子量对照品(140819-201501)宽分布标样表
·盐*(代"酸")阿米洛利杂质
编号:BP0818
英文名称:4-amino-6-chloro-1,3-benzenedisulfonamide
规格:50mg
本品为4-*基-6-*-1,3-*基二硫酰胺化学对照品,供HPLC法系统适用性试验用。
CAS号:121-30-2
分子式:C6H8ClN3O4S2
分子量:285.73
包装及装量:棕色小瓶装,每支约50毫克。
储存条件:遮光,密封保存。
注意事项:使用前不需干燥处理。
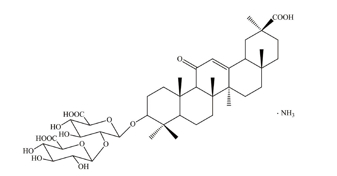
·甘草酸铵
编号:BP1036
英文名称:Ammonium Glycyrrhizinate
规格:20mg/支
本品为甘草酸铵化学对照品,供含量测定用,含量93.0%,使用前不需干燥处理。
CAS号:53956-04-0
分子式:C42H65NO16
分子量:839.96
结构式:
包装:棕色安瓿瓶
规格:约20mg/支
储存条件:冷处(2-10℃)保存
注意事项:本品有引湿性,建议打开包装一次性使用完。
·马来酸曲美布汀
编号:BP0443
英文名称:Trimebutine Maleate
规格:100mg
本品为马来酸曲美布汀化学对照品,供含量测定用,使用前不需干燥处理,按C22H29NO5·C4H4O4计,含量为99.7%。
分子式:C22H29NO5·C4H4O4
分子量:503.54
CAS号:34140-59-5
包装及装量:棕色西林瓶装,每支约100毫克。
储存条件:遮光,密封保存。
注意事项:使用前不需干燥处理。
我公司生产的斯皮诺素纯度高价格低,质量有保证,客户更放心。我们为科研用户提供上千种生物试剂现货及sigma全线产品原装期货,货期短,价格低,质量好。用我们100%的真诚、热情换取您100%的信任与支持!
斯皮诺素等产品报价含税含运费,全程免费技术支持。我公司产品种类齐全,提供订制包装,免费快递送货上门,质量保证,欢迎来电购买!
我公司正在打折促销标准品对照品全系列产品,恭候您的咨询选购斯皮诺素标准品促销。
风险提示:丁香通仅作为第三方平台,为商家信息发布提供平台空间。用户咨询产品时请注意保护个人信息及财产安全,合理判断,谨慎选购商品,商家和用户对交易行为负责。对于医疗器械类产品,请先查证核实企业经营资质和医疗器械产品注册证情况。
文献和实验我最近在网上看到有公司在ELISA试剂盒的促销,好划算啊 我想把这个好消息,好资源与大家分享 几年来,博士德的ELISA试剂盒以优良的品质、卓越的性价比和良好的售后服务受到广大科研工作者的青睐。更因其品种齐全、操作简单、检测时间短、所需样品少而成为细胞因子检测的经典产品。公司生产的近270多种 ELISA 试剂盒,涉及分子生物学、分子免疫学、细胞生物学等生命科学研究的各个领域。公司总部位于武汉,代理商经销商遍及全国各地,形成了覆盖全国的有效服务网络,训练有素的专业人员能为客户提供技术
技术资料暂无技术资料 索取技术资料










