相关产品推荐更多 >
万千商家帮你免费找货
0 人在求购买到急需产品
- 详细信息
- 技术资料
- 保存条件:
-20℃
- 保质期:
长期
- 英文名:
Macranthoidin B
- 库存:
971
- 供应商:
北京百奥莱博科技有限公司
- CAS号:
136849-88-2
特别声明:本产品及我公司所售其他产品均为科研类试剂产品,严禁用于药物、医疗及其他非科研用途。
北京灰毡毛忍冬皂苷乙标准品现货价格的品牌:百奥莱博,是优质的标准品对照品产品,用于科研目的生化试验项目,本产品质量好,且极具价格优势,深为用户称道,了解更多灰毡毛忍冬皂苷乙等标准品对照品产品请联系我司咨询订购。
名称:北京灰毡毛忍冬皂苷乙标准品现货价格
产地:国产|进口
规格:20mg/支
英文名:Macranthoidin B
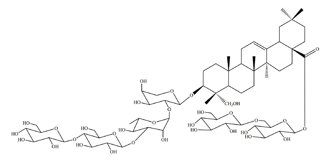
本品为灰毡毛忍冬皂苷乙化学对照品,供含量测定用,含量以94.4%计,使用前不需干燥处理。
CAS号:136849-88-2
分子式:C65H106O32
分子量:1399.52
结构式:

包装:棕色安瓿瓶
规格:约20mg/支
储存条件:冷冻(-20℃)保存
注意事项:本品具有引湿性,建议打开包装一次性使用完。
北京灰毡毛忍冬皂苷乙标准品现货价格极具性价比,此外,我公司正火爆促销以下产品:
磷酸*二*-磷酸二**缓冲液(pH5.8-8.0) 0.2mol/L 500ml
M0107 特级牛血清白蛋白/BSA
114-07-8 Erythromycin 红霉素
Weil髓鞘染色液 4×50ml
PY02-337 Bolton肉汤基础 100克
ARB14056 猴透明质酸(HA)酶免分析 Monkey hyaluronic acid,ha ELISA KIT
ARB12393 大鼠单核细胞趋化蛋白2(MCP-2/CCL8)含量检测 Rat monocyte chemotactic protein 2,mcp-2 ELISA KIT
ARB13996 猪瘟病毒抗体(CSFV-Ab)Elisa方法检测 Porcine classical Swine fever virus antibody ELISA KIT
BL0945 生物素化兔抗山羊IgG抗体
ARB10673 人血管紧张素Ⅳ(ANGⅣ)代做ELISA实验
8008-63-7 猪胆盐
ARB13227 小鼠脱氧吡*(代"啶")酚/脱氧吡*(代"啶")啉(DPD)血清中含量检测 Mouse deoxypyridinoline,dpd ELISA KIT
哺乳动物基因组DNA抽提试剂盒 50T
ARB13888 猪皮质醇(CortIsol)elisa测定使用说明书 Porcine cortisol ELISA KIT
聚甲基丙*(代"烯")酸甲酯 Sodium hydrogen phthalate 9011-14-7
PY01-004 大豆蛋白胨 1公斤
ARB13312 山羊β内啡肽(β-EP)免费代测 Goat beta-endorphin,β-ep ELISA KIT
D-酪*酸 H-Ser-Ome?HCl 556-02-5
ARB11383 人总蛋白S(TPS)含量分析 Human total protein s,tps ELISA KIT
HEPES缓冲液(含**) 1×|10× 500ml
SJ0204 D(+)Galactosamine hydrochloride D-*基半乳糖盐*(代"酸")盐
北京灰毡毛忍冬皂苷乙标准品现货价格关键词:136849-88-2,Macranthoidin B,灰毡毛忍冬皂苷乙
·银杏内酯C
编号:BP1140
英文名称:Ginkgolide C
规格:约20mg/支
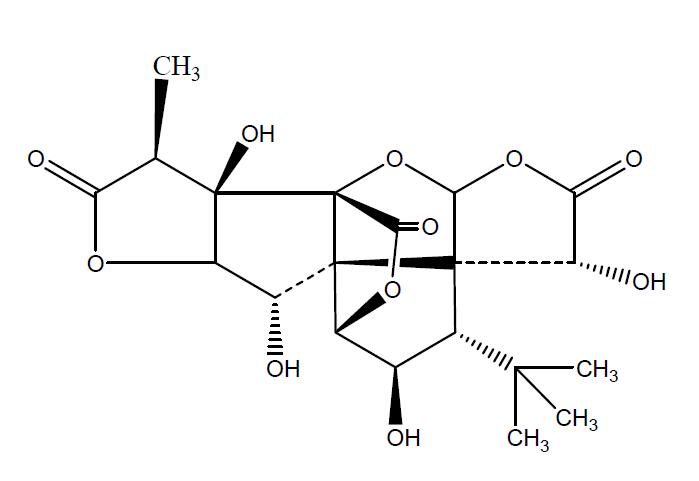
本品为银杏内酯C化学对照品,供鉴别或含量测定用,含量以99.8%计,使用前不需干燥处理。
CAS号:15291-76-6
分子式:C20H24O11
分子量:440.40
结构式:

包装:棕色安瓿瓶
装量:约20mg/支
储存条件:冷冻保存
·白鲜碱
编号:BP1267
英文名称:Dictamnine
规格:20mg
本品为银杏内酯C化学对照品,供鉴别或含量测定用,含量以99.8%计,使用前不需干燥处理。
CAS号:15291-76-6
分子式:C20H24O11
分子量:440.40
结构式:

包装:棕色安瓿瓶
装量:约20mg/支
储存条件:冷冻保存
·盐*(代"酸")倍他司汀
编号:BP0212
英文名称:Betahistine Hydrochloride
规格:250mg
本品为盐*(代"酸")倍他司汀的化学对照品,供含量测定用。供HPLC法测定,按C8H12N2·2HCl计,含量为99.6%。
分子式:C8H12N2·2HCl
分子量:209.12
CAS号:5579-84-0
包装及装量:棕色小瓶装,每支约 250毫克。
储存条件:遮光,密封保存。
注意事项:本品具有引湿性,建议 RH<30%环境下使用。105℃干燥2小时后使用。
·10%A晶型甲*咪唑
编号:BP0110
英文名称:Mebendazole Contain 10% of Polymorph A
规格:50mg
本品为盐*(代"酸")倍他司汀的化学对照品,供含量测定用。供HPLC法测定,按C8H12N2·2HCl计,含量为99.6%。
分子式:C8H12N2·2HCl
分子量:209.12
CAS号:5579-84-0
包装及装量:棕色小瓶装,每支约 250毫克。
储存条件:遮光,密封保存。
注意事项:本品具有引湿性,建议 RH<30%环境下使用。105℃干燥2小时后使用。
·三白草酮
编号:BP1418
英文名称:Sauchinone
规格:20mg/支
本品为三白草酮化学对照品,供鉴别或含量测定用,含量以99.6%计。
分子式:C20H20O6
分子量:356
包装及装量:棕色安瓿瓶,每支约20毫克。
储存条件:干燥密闭保存。
注意事项:本品有引湿性,打开包装后一次使用完毕。
北京灰毡毛忍冬皂苷乙标准品现货价格关键词:136849-88-2,Macranthoidin B,灰毡毛忍冬皂苷乙
为何选择百奥莱博公司的灰毡毛忍冬皂苷乙?
我公司是一家专业从事“产品研发生产、市场销*(代"售")、技术服务”为一体的高科技生物技术公司,公司生产的灰毡毛忍冬皂苷乙质量有保证,含量高,能够给实验带来准确的结果。同时能为用户更好的解决各种疑难问题。如有需要可联系我司销*(代"售")人员,我们将竭诚为您服务。
ARB13826 猪Ⅲ型前胶原肽(PⅢNP)含量分析 Porcine n-terminal procollagen Ⅲ proPeptide,pⅢnp ELISA KIT
BL0622 谷胱甘肽-琼脂糖凝胶4FF Glutathione Sepharose 4FF
中量血液DNA提取试剂盒
ARB14189 山羊基质金属蛋白酶-13(MMP-13)elisa检测操作说明书
J0315 山羊抗人IgG(H+L)抗血清
β-N-乙酰*基葡萄糖苷酶 Sodium lignosulfonate 9012-33-3
ARB10153 人S100*结合蛋白A12/*粒蛋白C(S100A12)代做ELISA实验
C1701 大鼠血清(无菌过滤)
ARB11457 人透明质酸(HA)免费代测 Human hyaluronic acid,ha ELISA KIT
Tris-EDTA抗原修复液(10×,pH8.5) 100ml
ARB13661 兔心肌肌*蛋白I(cTn-I)含量分析 Rabbit cardiac troponin i,ctn-iELISA KIT
巴弗洛霉素A1 Rubidium chloride 88899-55-2
PY01-053 无水*化* 500克
3,5-二碘-L-酪*酸 Diphenylcarbazone 300-39-0或18835-59-1
4618-18-2 Lactulose 乳果糖
F030404 胶体金标记小鼠抗猴IgG抗体 Monoclonal Mouse Anti-Monkey IgG*GOLD
2′-脱氧胞苷-5′-单磷酸 2-Naphthylamine-1-sulfonic acid 1032-65-1
9007-83-4 γ-球蛋白 γ-Globulins from bovine blood
ARB11828 人踝蛋白(tAlIn)Elisa分析 Human talin ELISA KIT
ARB13845 猪弓形虫抗体(Tox-Ag)代做ELISA实验
Western转移缓冲液(5×) 500ml
灰毡毛忍冬皂苷乙上架一个月之内参与新品促销活动,新老客户订购此产品均可享受会员优惠,若您是我们的诚信会员,还可享受我司的VIP专线服务与优惠,欢迎来电咨询、订购您所需产品。
我公司立足北京,辐射全国。随着产品战略的不断延伸,产品理念的不断完善,百奥莱博将逐步成长为一流的生化试剂供应商,并一如既往的为您提供优质的灰毡毛忍冬皂苷乙和完善的售后服务,与您一起携手整合各自的优势资源,竭尽全力支持您的事业,为中国生命科学的发展贡献一份力量。
我公司正在优惠促销标准品对照品等系列产品,期待您的咨询选购北京灰毡毛忍冬皂苷乙标准品现货价格。
风险提示:丁香通仅作为第三方平台,为商家信息发布提供平台空间。用户咨询产品时请注意保护个人信息及财产安全,合理判断,谨慎选购商品,商家和用户对交易行为负责。对于医疗器械类产品,请先查证核实企业经营资质和医疗器械产品注册证情况。
技术资料暂无技术资料 索取技术资料










