相关产品推荐更多 >
万千商家帮你免费找货
0 人在求购买到急需产品
- 详细信息
- 文献和实验
- 技术资料
- 保存条件:
冷藏
- 保质期:
长期
- 英文名:
Olmesartan Medoxomil Impurities
- 库存:
476
- 供应商:
北京百奥莱博科技有限公司
特别声明:本产品及我公司所售其他产品均为科研类试剂产品,严禁用于药物、医疗及其他非科研用途。
百奥莱博公司致力于为全国科研单位提供药典标准品、对照品、标准溶液、标准样品、对照培养基、国家标准品等可靠标准物质,其中奥美沙坦酯杂质混合物对照品多少钱的品质过硬,在广大科研人员中有口皆碑!
名称:奥美沙坦酯杂质混合物对照品多少钱
英文名:Olmesartan Medoxomil Impurities
编号:BP0421
规格:RNH-8276约5μg,RNH-6373约6μg/支
品牌:百奥莱博
本品是由奥美沙坦酯杂质RNH-6373和杂质RNH-8276配制成溶液,分装后吹干,内容物附于瓶底及瓶壁。本品供HPLC法检查用,每支含RNH-6373为5.5μg,RNH-8276为4.9μg。精密量取乙*(代"腈")-水(90:10)1.0ml,充分溶解,混匀,即可使用,使用前不需干燥处理。本品供HPLC法检查用。
分子式:C29H28N6O5(RNH-6373)
分子式:C48H50N12O5(RNH-8276)
分子量:540.58(RNH-6373)
分子量:875.01(R
欲咨询购买奥美沙坦酯杂质混合物对照品多少钱,请致电北京百奥莱博科技有限公司,为您提供最全面周到的产品服务,除此之外,我公司正在促销以下产品:
BTN130532 EGTA溶液 EGTA Solution
BL1113 亲和硅烷
BTN101122 尼龙膜 Nylon Membrane(Pharmacia)
PY02-259 布氏菌疫苗培养基 250克
ARB10486 人白介素27(IL-27)定量分析 Human interleukin 27,IL-27 ELISA KIT
四丁基硫*(代"酸")*铵 DL-Serine methyl ester hydrochloride 32503-27-8
HC0057 盒装无菌滤芯吸头
BTN81102 石蜡包埋组织RNAOUT FFPE RNAOUT
F030637 FITC标记山羊抗人IgG FC抗体 Polyclonal Goat Anti-Human IgG FC*FITC
花宝1号 α-Amylase from Aspergillus oryzae
ARB11588 人基质裂解素2(ST-2)elisa测定使用说明书 Human stromelysin-2,st-2 ELISA KIT
ARB12102 大鼠甘油三酯(TG)酶免分析 Rat triglyceride,tg ELISA KIT
奥美沙坦酯杂质混合物对照品多少钱关键词:Olmesartan Medoxomil Impurities,BP0421,奥美沙坦酯杂质混合物
·无味*霉素B晶型
编号:BP1604
英文名称:Chloramphenicol Palmitate-(B)
规格:100mg
本品为无味*霉素B晶型标准品,供红外鉴别及晶型检查用,使用前不需干燥处理。
CAS号:530-43-8
分子式:C27H42Cl2N2O6
分子量:561.55
结构式:

包装:白色安瓿
规格:约100毫克/支
储存条件:2-8℃保存
·*甲贝那替嗪
编号:BP0173
英文名称:Cinchonidine
规格:50mg
本品为无味*霉素B晶型标准品,供红外鉴别及晶型检查用,使用前不需干燥处理。
CAS号:530-43-8
分子式:C27H42Cl2N2O6
分子量:561.55
结构式:

包装:白色安瓿
规格:约100毫克/支
储存条件:2-8℃保存
·酮康唑杂质E
编号:BP1755
英文名称:Ketoconazole Impurity E
规格:30mg
本品为酮康唑杂质E化学对照品,供酮康唑品种杂质分析研究用,含量按C21H20Cl2N2O5S计。
分子式:C21H20Cl2N2O5S
分子量:482.0
结构式:

包装及装量:安瓿;约30mg/支
储存条件:置5℃以下条件低温避光保存。启开安瓿后密闭保持干燥,以防吸水。
·癸二酸二丁酯
编号:BP2057
英文名称:Dibutyl sebacate
规格:0.2ml/瓶
本品为癸二酸二丁酯化学对照品,仅供乙基纤维素水分散体(B型)品种项下检查用对照品,使用前不需要干燥处理,以C18H34O4计含量为98.3%。
CAS号:109-43-3
分子式:C18H34O4
分子量:314.46
包装:棕色安瓿
规格:约0.2ml/支
储存条件:遮光、常温保存。
·D-葡萄糖醛酸
编号:BP1801
英文名称:D-Glucuronic Acid
规格:100mg/瓶
本品为D-葡萄糖醛酸化学对照品,含量为99.1%,供硫*(代"酸")软骨素A*和玻璃酸*含量测定。使用前不需干燥处理。
CAS号:6556-12-3
分子式:C6H10O7
分子量:194.14
包装:棕色西林瓶
规格:每瓶约100mg
储存条件:遮光,常温保存
奥美沙坦酯杂质混合物对照品多少钱关键词:Olmesartan Medoxomil Impurities,BP0421,奥美沙坦酯杂质混合物
我公司生化试剂产品种类丰富,涵盖溶剂、培养基、*基酸及其衍生物、组织学试剂、电泳试剂、核苷酸及其衍生物、糖类、纯化试剂、分子生物学用试剂、抗生素、生物缓冲试剂、染色剂、奥美沙坦酯杂质混合物等。我公司作为一家以客户为中心的生产厂家和全球分销商,生产经营品种齐全的高质量化学品,实验室耗品和器材。在百奥莱博,质量是我们第一关注的要点。欢迎咨询选购!
·杠柳毒苷
编号:BP1369
英文名称:Periplocin
规格:20mg/支
本品为杠柳毒苷化学对照品,含量以93.8%计,使用前无需处理。
分子式:C36H56O13
分子量:696
包装及装量:棕色安瓿瓶,约20mg/支
储存条件:干燥密闭保存。
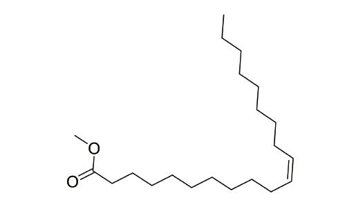
·花生烯酸甲酯(顺-11-二十碳烯酸甲酯)
编号:BP2096
英文名称:Cis-11-EICOSENOIC ACID METHYL ESTER
规格:0.1ml/支
本品为花生烯酸甲酯化学对照品,仅供油酰聚氧乙*(代"烯")甘油酯品种项下脂肪酸组成检查用,使用前不需干燥处理。
CAS号:2390-09-2
分子式:C21H40O2
分子量:324.54
结构式:

包装:棕色安瓿
规格:约0.1ml/支
储存条件:遮光、4~8℃保存
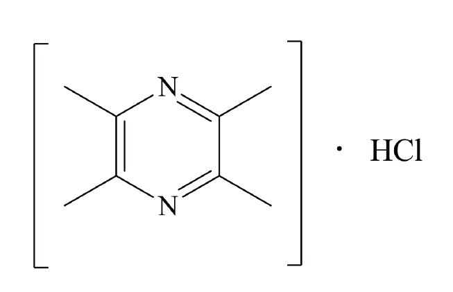
·盐*(代"酸")川芎嗪
编号:BP1104
英文名称:Ligustrazine hydrochloride
规格:30mg/支
本品为盐*(代"酸")川芎嗪化学对照品,供含量测定用,含量以83.4%计,使用前不需干燥处理。
分子式:C8H12N2·HCl
分子量:172.66
结构式:

包装:棕色安瓿瓶
规格:约30mg/支
储存条件:冷处(2-10℃)保存
注意事项:本品具有引湿性,建议打开包装一次性使用完。
我公司是一家集研发、销*(代"售")、实验室技术服务于一体的高科技企业。 多年来一直处于行业前沿。我们专业经营培养基、生化试剂、奥美沙坦酯杂质混合物、进口ELISA试剂盒、化工产品、实验室消耗品、实验室耗材以及实验室器材。产品涉及分子生物学、细胞生物学、细菌学、遗传学、免疫学、生物化学、蛋白质学、细胞治疗等领域。
奥美沙坦酯杂质混合物上架一个月之内参与新品促销活动,新老客户订购此产品均可享受会员优惠,若您是我们的诚信会员,还可享受我司的VIP专线服务与优惠,欢迎来电咨询、订购您所需产品。
我公司正在优惠促销标准品对照品等系列产品,期待您的咨询选购奥美沙坦酯杂质混合物对照品多少钱。
风险提示:丁香通仅作为第三方平台,为商家信息发布提供平台空间。用户咨询产品时请注意保护个人信息及财产安全,合理判断,谨慎选购商品,商家和用户对交易行为负责。对于医疗器械类产品,请先查证核实企业经营资质和医疗器械产品注册证情况。
文献和实验物质。 其中, 标准品特指用于生物检定、抗生素或生化试剂中含量或效价检定的基准物质,按效价单位计,与国际标准品标定。 如:青霉素的基准物质称为标准品,而氧氟沙星的基准物质则称为对照品。但在所发表的论文中,我们所看到的绝大部分情况是二者混用。称青霉素为对照品的、标准品的,都有。 那么这些基准物质要达到什么样的要求?我想,纯度至少要达到99.99%吧。生物制品或抗生素则不一定了,因为有的抗生素实际上就是混合物的。只能用效价来评定。 在配制标准品或对照品时,尤其注意要准确
逆流色谱制备高纯度的活性成分、杂质成分和有毒/有害成分,作为对照品;另一方面可以构建中药指纹图谱及数字化指纹谱,用于原药材、中间体和注射剂的质量控制。 近年来利用HSCCC技术已从几十种天然植物中制备得到数百种单体化合物,包括生物碱类、黄酮类、醌类、萜类、木质素类、香豆素类、皂甙类等。北京新技术研究所制备了多种高纯度的单体化合物并获得了国家质量技术监督局的认证,作为国家实物标准。上海同田生化技术有限公司生产了数十种纯度超过98%的对照品供科研院所及企业用于质量监控。中国科学院过程工程
在临床检验中一般采用商品试剂盒进行测定。前文(2.2)已述,ELISA中有三个必要的试剂:免疫吸附剂、结合物和酶的底物等。完整的ELISA试剂盒包含以下各组分:(1)已包被抗原或抗体的固相载体(免疫吸附剂);(2)酶标记的抗原或抗体(结合物);(3)酶的底物;(4)阴性对照品和阳性对照品(定性测定中),参考标准品和控制血清(定量测定中);(5)酶联物(结合物)及标本的稀释液;(6)洗涤液;(7)酶反应终止液。一、免疫吸附剂已包被抗原或抗体的固相载体在低温(2~8℃)干燥的条件下一般可保存6个月
技术资料暂无技术资料 索取技术资料










