相关产品推荐更多 >
万千商家帮你免费找货
0 人在求购买到急需产品
- 详细信息
- 文献和实验
- 技术资料
- 库存:
325
- 英文名:
Artesunate
- CAS号:
88495-63-0
- 保质期:
长期
- 供应商:
北京百奥莱博科技有限公司
- 保存条件:
遮光密闭,10~30℃
特别声明:本产品及我公司所售其他产品均为科研类试剂产品,严禁用于药物、医疗及其他非科研用途。
百奥莱博公司致力于为全国科研单位提供药典标准品、对照品、标准溶液、标准样品、对照培养基、国家标准品等可靠标准物质,其中北京青蒿琥酯标准品多少钱的品质过硬,在广大科研人员中有口皆碑!
名称:北京青蒿琥酯标准品多少钱
产地:国产|进口
规格:100mg/支
编号:BP0164
品牌:百奥莱博
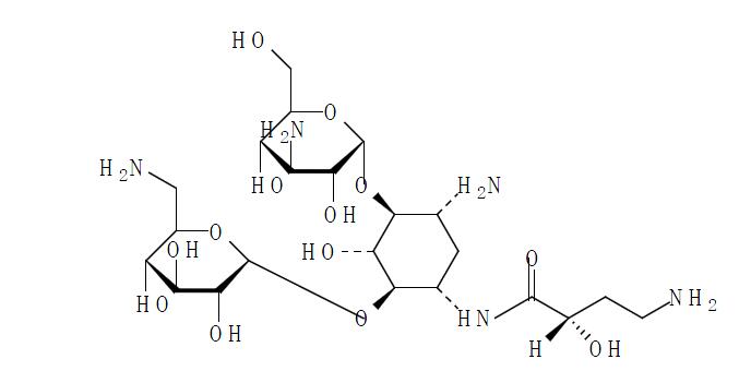
本品为青蒿琥酯的化学对照品,使用前不需干燥处理。供HPLC法含量测定用,按C19H28O8计,含量为99.1%。
分子式:C19H28O8
结构式:

分子量:384.42
CAS号:88495-63-0
包装:棕色西林瓶装
装量:每支约100毫克。
储存条件:遮光密闭,10~30℃保存。
除北京青蒿琥酯标准品多少钱外,我公司正在打折促销以下产品:
BL0611 琼脂糖凝胶CL-4B Sepharose CL-4B
ARB11758 人微量转铁蛋白(MTF)Elisa定量检测 Human microtransferrinuria,mtf ELISA KIT
福尔马林-*化*固定液(10%) 500ml
7761-88-*(代"8") 硝酸*(代"银")
维生素B5 Anthraquinone 137-08-6
双缩脲总蛋白试剂 100ml|500ml
HC0039 酶标板(可拆)25块/包
BTN130412 eTS核心试剂盒 eTS Core Kit
ARB13125 小鼠促肾上皮质激素释放激素(CRH)检测服务 Mouse corticotropin releasing hormone,crh ELISA KIT
ARB11893 人磷酸化乙酰辅酶A(PACoA)酶联免疫定量检测 Human phosphorylated acetyl coa,pacoa ELISA KIT
BL1286 10×PBST
2-硝基乙酰**(代"胺") HOAT 552-32-9
F030633 FITC标记山羊抗人IgG(H+L)抗体 Polyclonal Goat Anti-Human IgG*FITC
PY01-009 牛肉膏 500克|1公斤
凝胶多糖 Hexokinase from Saccharomyces cerevisiae 54724-00-4
ARB10826 人抗肝肾微粒体抗体(LKM)尿液中含量检测 Human liver kidney microsome autoantibody,lkm ELISA KIT
PBST(pH7.4) 1×|10× 500ml
北京青蒿琥酯标准品多少钱关键词:Artesunate,88495-63-0,青蒿琥酯
·吗替麦考酚酯杂质F(麦考酚酸)
编号:BP0698
英文名称:Mycophenolate Mofetil Impurity F(Mycophenolic Acid)
规格:50mg/支
本品为吗替麦考酚酯杂质F(麦考酚酸)化学对照品,供检查用,使用前不需干燥处理。供HPLC法测定,按C17H20O6计,含量为100%。
CAS号:24280-93-1
分子式:C17H20O6
分子量:320.34
结构式:

包装:棕色西林瓶装
规格:50毫克/支
储存条件:遮光,10~30℃密闭保存。
·阿米卡星杂质A
编号:BP1691
英文名称:Amikacin Impurity A
规格:50mg
本品为阿米卡星杂质A化学对照品,供阿米卡星及硫*(代"酸")阿米卡星品种HPLC系统适用性用。
分子式:C22H43N5O13
分子量:585
结构式:

包装及装量:直口瓶;约50mg/支
储存条件:置4℃以下条件避光保存。
·米索前列醇
编号:BP2121
英文名称:Misoprostol
规格:50mg/支
本品为米索前列醇化学对照品,供HPLC法鉴别和含量测定用。需低温保存,开启后直接使用。以C22H38O5计,含量为98.9%。
CAS号:59122-46-2
分子式:C22H38O5
分子量:382.54
结构式:

包装:棕色V型底小瓶
规格:约50毫克/支
储存条件:-20℃密闭避光保存
注意事项:本品开启后直接称取,临用临配,避免长
北京青蒿琥酯标准品多少钱关键词:Artesunate,88495-63-0,青蒿琥酯
青蒿琥酯现货供应,凡在我公司购买该产品均可享受免费的技术咨询服务,年中降价>>低价格促销:elisa试剂盒,Amrecso原装试剂、抗体、等相关试剂,产品品种齐全,价格优惠。产品质量,服务质量均是一流,您尽可放心购买!
铜蓝蛋白(CP)检测试剂盒(胺比色法) 50T
9050-68-4 葡聚糖凝胶G-10 Sephadex G-10 medium
羟高铁血红素 Boc-L-glutamine 15489-90-4
BTN51104 B载体 Magic Vector B
Hollande固定液 500ml
BTN130427 丁基硫介质 Butyl-S Medium
BTN130653 GpC 甲基转移酶(M.CviPI) GpC Methyltranferase(M.CviPI)
HC0145 湿盒避光
ARB12742 小鼠Ⅲ型前胶原肽(PⅢNP)定量分析 Mouse n-terminal procollagen Ⅲ proPeptide,pⅢnp ELISA KIT
PY02-315 3%*化*胰蛋白胨大豆琼脂 250克
百里酚蓝 Phosphoramidon disodiu*(代"m") salt 76-61-9
ARB11956 大鼠Ⅲ型前胶原*基端肽(PⅢNT)酶联免疫定量检测 Rat procollagen Ⅲ n-terminal Peptide,pⅢnt ELISA KIT
DN溶液(1%) 100ml
68938-01-2 鲑鱼精DNA DNA(Salmon sperm)
DP305 植物基因组DNA提取试剂盒
F050306 小鼠IgG抗体 Mouse IgG
盐*(代"酸")四环素溶液(5mg/ml) Tetracyclin 5mg/ml 10ml
9005-84-9 麦芽糊精
青蒿琥酯上架一个月之内参与新品促销活动,新老客户订购此产品均可享受会员优惠,若您是我们的诚信会员,还可享受我司的VIP专线服务与优惠,欢迎来电咨询、订购您所需产品。
我公司立足北京,辐射全国。随着产品战略的不断延伸,产品理念的不断完善,百奥莱博将逐步成长为一流的生化试剂供应商,并一如既往的为您提供优质的青蒿琥酯和完善的售后服务,与您一起携手整合各自的优势资源,竭尽全力支持您的事业,为中国生命科学的发展贡献一份力量。
我公司正在优惠促销标准品对照品等系列产品,期待您的咨询选购北京青蒿琥酯标准品多少钱。
风险提示:丁香通仅作为第三方平台,为商家信息发布提供平台空间。用户咨询产品时请注意保护个人信息及财产安全,合理判断,谨慎选购商品,商家和用户对交易行为负责。对于医疗器械类产品,请先查证核实企业经营资质和医疗器械产品注册证情况。
文献和实验它作甚? 小pig 厄,读的时候不知道,当时只想做临床型就不用搞什么科研,谁知道后来安排到了科研型。再说老板怎么说也是个科室主任,我也料不到课题都没有。。。唉,悲剧的我。。。。 北京rnai 看你课题的选择,不过做一个RNAi实验真的没有1w的话真的很难做下来。 小pig 北京rnai wrote: 看你课题的选择,不过做一个RNAi实验真的没有1w
核酸检测收费 180,北京女总裁微博 diss:2 秒钟刮 2 下,赚钱太容易了!
万或百万的研发成本,在试剂盒推出使用阶段做核酸的人员培训又花了多少时间和成本?看到这里,只想问一句:王女士,你的良心不会痛么?所以在这位王女士看来仪器不要钱,试剂不要钱,人工不要钱,防护装备不要钱。全靠一根棉签搅两下,那完全可以自己在家拿根 1.5 元的棉签自己做检测啊。其次:「应检尽检、愿检尽检」 统筹范围内免费检测6 月 13 日以来,根据新发地批发市场聚集性疫情发展情况,北京市对 6 类应检尽检人群,按照风险等级渐次开展核酸检测,并且检测为免费的。对于不在统筹范围内的人员,如果有出北京需要
北京时间 7 月 12 日,中国科学院深圳先进技术研究院司同课题组与伊利诺伊大学厄巴纳-香槟分校 Jonathan V. Sweedler 教授团队合作,在 FASEB J 国际学术期刊上发表研究论文 Profiling of D-alanine production by the microbial isolates of rat gut microbiota。 文章建立了酶法定性快筛和手性色谱-质谱联用(chiral LC-MS/MS)准确定量的两级分析方法,对 38 株大鼠肠菌产
技术资料暂无技术资料 索取技术资料










