相关产品推荐更多 >
万千商家帮你免费找货
0 人在求购买到急需产品
- 详细信息
- 文献和实验
- 技术资料
- 保存条件:
冷藏
- 保质期:
长期
- 英文名:
Homoharringtonine
- 库存:
477
- 供应商:
北京百奥莱博科技有限公司
特别声明:本产品及我公司所售其他产品均为科研类试剂产品,严禁用于药物、医疗及其他非科研用途。
北京百奥莱博公司供应包括北京现货高三尖杉酯碱标准品哪里买在内的化学标准品,化学对照品,杂志对照品,HPLC标准品,UV标准品等高品质标准品、对照品
名称:北京现货高三尖杉酯碱标准品哪里买
产地:国产|进口
编号:BP1189
英文名:Homoharringtonine
品牌:百奥莱博
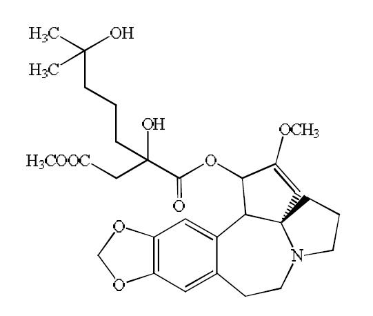
本品为高三尖杉酯碱化学对照品,供含量测定用。
分子式:C29H39NO9
分子量:545.62
结构式:

包装:棕色瓶。
装量:每支约 20 毫克。
保存条件:干燥密闭保存。
北京现货高三尖杉酯碱标准品哪里买极具性价比,此外,我公司正火爆促销以下产品:
塔格糖 Rnasin Inhibitor 87-81-0
ARB13726 兔热休克蛋白40(HSP-40)酶联免疫定量检测 Rabbit heat shock protein 40,hsp-40 ELISA KIT
ARB14018 绵羊瘦素(leptIn)免费代测 Sheep leptin ELISA KIT
5-硝基邻菲啰啉 F6P 4199-88-6
F030817 BIOTIN标记兔抗狗IgG抗体 Rabbit Anti-Dog IgG*BIOTIN
碳酸*铵 3-Chlorobenzoic acid 1066-33-7
高岭土 Ammonium ceric sulfate 1332-58-7
BTN90314 柱式尿液DNAOUT Column Urine DNAOUT
ARB10037 人I型胶原(Col I)血清中含量检测 Human collagen type i,col i ELISA KIT
BTN81215 一站式Western印迹套装(显色法) One-Stop Western Blotting Pack
CYB168015 人血清(AB型) 100ml/瓶
ARB12825 小鼠大内皮素(BIg ET)含量分析 Mouse big endothelin,big et ELISA KIT
BTN131165 4×核酸液相杂交液 Nucleic Acid Hybridization Solution
67-75-5 Tetracyclin HCl 盐*(代"酸")四环素
D-乳酸脱*酶 Sphingomyelin 9028-36-8
亚苄基丙*(代"酮") Acid alizarin blue B 122-57-6
PY04-009 靛基质试剂 10ml×1支 将试剂滴加入蛋白胨水培养基中2-3滴观察结果,用于细菌的靛基质试验结果判断
北京现货高三尖杉酯碱标准品哪里买关键词:高三尖杉酯碱,Homoharringtonine,BP1189
CYB167010 羊抗人IgM(μ链特异)
F030840 BIOTIN标记兔抗驴IgG抗体 Polyclonal Rabbit Anti-Donkey IgG*BIOTIN
*苄青霉素* Nile Red 69-52-3
麦芽糊精 Super low range protein MW marker 9050-36-6
F030710 BIOTIN标记羊抗乙肝表面抗原抗体 Polyclonal Goat Anti-HBsAg*BIOTIN
BFD003 猪口蹄疫0型病毒抗体检测试剂盒
BL0855 兔抗狗IgG纯化抗体
二乙三胺五乙酸 N-Acetylneuraminic Acid Aldolase 67-43-6
ARB13270 小鼠酸性粒细胞趋化因子(eotAxIn)elisa检测操作说明书 Mouse eotaxin ELISA KIT
9005-82-7 Amylose 直链淀粉
PY02-149 甘露醇卵黄多粘菌素琼脂基础(MYP) 250克
BL0549 (All-in-one,100x)蛋白*(代"磷")酸酶抑制剂混合物
没食子兰 BOC-L-Ile 1562-85-2
ARB12349 大鼠尿激酶(UK)检测服务 Rat urokinase,uk ELISA KIT
F030808 BIOTIN标记山羊抗小鼠IgG1抗体 Goat Anti-Mouse IgG1*BIOTIN
BFD002 猪蓝耳病毒抗体检测试剂盒
CYB162041 羊抗大鼠IgG(抗血清) 0.5ml
Nα-FMOC-Nω-PBF-D-精*酸 CBZ-L-Threonine 187618-60-6
BTN100939 福林酚试剂 Folin Phenol Reagent
北京现货高三尖杉酯碱标准品哪里买关键词:高三尖杉酯碱,Homoharringtonine,BP1189
高三尖杉酯碱等产品报价含税含运费,全程免费技术支持。我公司产品种类齐全,提供订制包装,免费快递送货上门,质量保证,欢迎来电购买!
·醋酸甲羟孕酮
编号:BP0001
英文名称:Medroxyprogesterone Acetate
规格:100mg
本品为醋酸甲羟孕酮(MedroxyprogesteroneAcetate)化学对照品,供HPLC法鉴别和含量测定用。本品不需干燥处理,以计C24H34O4,含量为99.6%。
分子式:C24H34O4
分子量:386.53
CAS号:71-58-9
包装及装量:棕色小瓶,每支约100毫克。
储存条件:干燥避光,室温密闭保存。
注意事项:本品不需干燥处理,直接称取,避光操作。
·环丙沙星杂质B
编号:BP1719
英文名称:Ciprofloxacin impurity B
规格:50mg/支
本品为环丙沙星杂质B化学对照品,供环丙沙星及各种成盐形式的环丙沙星品种系统适用性试验及有关物质测定用。
使用方法:精密称取本品适量,按相关质量标准的规定,溶解并稀释至所需浓度的溶液,立即使用。
储存条件:置5℃以下低温避光保存。开启安瓿后严密保持干燥,以防吸水。
注意事项:使用前不需干燥处理。
·维A酸
编号:BP0245
英文名称:Tretinoin
规格:100mg/支
本品为维A酸的化学对照品,供含量测定用,使用前不需干燥处理。按C20H28O2计,供HPLC法测定,含量为99.9%,供UV法测定,含量为100.0%。
分子式:C20H28O2
结构式:

分子量:300.44
CAS号:302-79-4
包装:棕色安瓿瓶
规格:约100毫克/支
储存条件:遮光,密封,冷处保存。
我公司拥有专业生化试剂实验和销*(代"售")经验,为专业的您提供专业的服务。种类丰富,*基酸类、酶类、维生素类、高三尖杉酯碱、缓冲剂类、色素类、植物激素及核酸类、碳水化合物类、抗生素类均有销*(代"售")。品牌代理,质量保障,其产品涉及生命科学的所有领域,包括生化试剂,抗体,ELISA试剂盒等等。
我公司坚持“品质至上”, 通过与国际知名品牌的合作,选择高品质的产品,提供优质的客户服务。高三尖杉酯碱现货供应,以保证产品质量和市场需求率为主要目标,争取能在科研生命道路上能够长久的服务于广大新老客户。
我公司生产供应销*(代"售")的标准品对照品产品正全系列现货促销,满分期待您的垂询选购北京现货高三尖杉酯碱标准品哪里买。
风险提示:丁香通仅作为第三方平台,为商家信息发布提供平台空间。用户咨询产品时请注意保护个人信息及财产安全,合理判断,谨慎选购商品,商家和用户对交易行为负责。对于医疗器械类产品,请先查证核实企业经营资质和医疗器械产品注册证情况。
文献和实验销售IEF组分分离器? http://www.dxy.cn/bbs/post/view?bid=65&id=2790861&sty=1&tpg=3&age=0 求助:有关肽链的内切酶! http://www.dxy.cn/bbs/post/view?bid=65&id=2784813&sty=1&tpg=4&age=0 那位北京的战友有神经细胞中的Syndecan-2的全长或者胞内部分的质粒 http://www.dxy.cn/bbs/post/view?bid=65&id=2778759
技术资料暂无技术资料 索取技术资料










