万千商家帮你免费找货
0 人在求购买到急需产品
- 详细信息
- 技术资料
- 保存条件:
阴凉干燥
- 保质期:
长期
- 英文名:
Taurochenodeoxycholic acid
- 库存:
765
- 供应商:
北京百奥莱博科技有限公司
特别声明:本产品及我公司所售其他产品均为科研类试剂产品,严禁用于药物、医疗及其他非科研用途。
北京百奥莱博公司供应包括牛磺鹅去氧胆酸*对照品现货在内的化学标准品,化学对照品,杂志对照品,HPLC标准品,UV标准品等高品质标准品、对照品
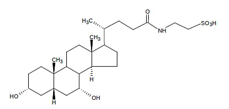
名称:牛磺鹅去氧胆酸*对照品现货
品牌:百奥莱博
产地:国产|进口
规格:20mg
本品为牛磺鹅去氧胆酸化学对照品,供相关物质鉴别用。
分子式:C26H45NO6S
分子量:499
结构式:

包装及装量:棕色瓶。
储存条件:本品极具引湿性,应干燥密闭保存。
注意事项:使用前无需处理。
欲咨询购买牛磺鹅去氧胆酸*对照品现货,请致电北京百奥莱博科技有限公司,为您提供最全面周到的产品服务,除此之外,我公司正在促销以下产品:
·*化可的松琥珀单酯
编号:BP0687
英文名称:Hydrocortisone Hemisuccinate
规格:100mg
·丁酸*化可的松
编号:BP0241
英文名称:Hydrocortisone Butyrate
规格:约50毫克
本品为丁酸*化可的松化学对照品,供鉴别和含量测定用。以C25H36O6计,供HPLC法测定,含量为99.7%。
分子式:C25H36O6
分子量:432.56
CAS号:13609-67-1
包装及装量:棕色小瓶,每支约50毫克
储存条件:干燥避光,室温密闭保存
注意事项:本品不需干燥处理,直接称取,避光操作。
·12-羟基硬脂酸甲酯
编号:BP2011
英文名称:Methyl 12-Hydroxystearate
规格:25mg/支
本品为12-羟基硬脂酸甲酯化学对照品,供*化蓖麻油品种检查用。
CAS号:141-23-1
分子式:C19H38O3
分子量:314.5
包装及装量:西林瓶装,每支约25mg
储存条件:阴凉避光处保存。
·补骨脂素
编号:BP1041
英文名称:Psoralen
规格:20mg/支
本品为补骨脂素化学对照品,供鉴别及含量测定用,含量99.7%,使用前不需干燥处理。
CAS号:66-97-7
分子式:C11H6O3
分子量:186.03
结构式:

包装:棕色安瓿瓶
装量:约20mg/支
储存条件:冷处(2-10℃)保存
牛磺鹅去氧胆酸*对照品现货关键词:BP1125,牛磺鹅去氧胆酸*,Taurochenodeoxycholic acid
我公司始终坚持“创新,品质,服务,节约,敬业,感恩”的理念。吸收新创意,严把质量关口,全方位的服务跟踪,坚持做出高品质产品。本着“追求、员工、技术、精神、利益”的宗旨。现拥有一批精干的管理人员和一支高素质的专业技术队伍。我们以质量为生命、时间为信誉、价格为竞争力的经营信念,立足于国内外市场。目前已在全国各大院系,和研究单位均有销*(代"售"),也得到了客户的认可。百奥莱博生产的牛磺鹅去氧胆酸*等试剂进入飞速发展期,为了更好的服务客户,公司长期储备海量库存,以此助推中国科技的快速发展,更好的造福人类!
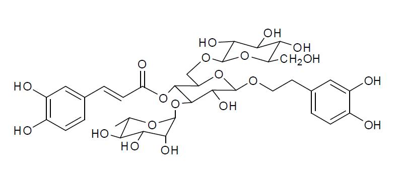
·松果菊苷
编号:BP1280
英文名称:Echinacoside
规格:20mg/支
本品为松果菊苷化学对照品,供鉴别及含量测定用,含量以89.7%计,使用前不需干燥处理。
CAS号:82854-37-3
分子式:C35H46O20
分子量:786.73
结构式:

包装:棕色安瓿瓶
规格:约20mg/支
储存条件:冷处(2-10℃)保存
注意事项:本品有引湿性,打开包装后一次使用完毕。
·泛影酸
编号:BP0020
英文名称:Diatrizoic Acid
规格:100mg
本品为泛影酸(DiatrizoicAcid)化学对照品,供TLC鉴别使用。
分子式:C11H9I3N2O4·2H2O
分子量:649.95
CAS号:117-96-4(无水物)
包装及装量:棕色小瓶装,每支约100毫克。
储存条件:遮光,密封保存。
注意事项:使用前不需干燥处理。
·盐*(代"酸")*丙嗪
编号:BP0363
英文名称:Chlorpromazine Hydrochloride
规格:100mg
本品为盐*(代"酸")*丙嗪化学对照品,供*丙嗪异丙嗪分光光度法含量测定时作对照用。
CAS号:69-09-0
分子式:C17H19ClN2S·HCl
分子量:355.33
包装及装量:棕色西林瓶。100mg/支。
储存条件:遮光,密闭保存。
注意事项:使用前不需要干燥,可直接使用。本品有引湿性,建议打开包装后一次使用完毕。
·染料木苷
编号:BP1308
英文名称:Genistin
规格:约20mg/支
本品为染料木苷化学对照品,鉴别或含量测定用,含量以99.9%计,置五氧化二磷干燥器中减压干燥12小时后使用。
CAS号:529-59-9
分子式:C21H20O10
分子量:432.38
结构式:

包装:棕色瓶
规格:约20mg/支
储存条件:冷处(2~10℃)保存
注意事项:本品有引湿性,建议打开包装一次性使用完。
牛磺鹅去氧胆酸*对照品现货关键词:BP1125,牛磺鹅去氧胆酸*,Taurochenodeoxycholic acid
牛磺鹅去氧胆酸*等试剂产品仅用于科研实验使用,拥有一流的技术指导及完善的售后服务体系,来保证我们产品的使用效果,欢迎广大科研学者来电咨询、选购。
ARB13253 小鼠游离甲状腺素(FT4)血清中含量检测 Mouse free thyroxine,ft4 ELISA KIT
荧光胺 Emodin 38183-12-9
ARB12585 大鼠基质金属蛋白酶10(MMP-10)elisa测定使用说明书 Rat matrix metalloproteinase 10,mmp-10 ELISA KIT
107-35-7 Taurine 牛磺酸
PY02-438 改良Giolitti-Cantoni肉汤 250克
半二甲*(代"酚")橙 Cellulose acetate layer sheets 19329-67-0
50-69-1 D-核糖 D-Ribose
ARB12614 大鼠淋巴细胞功能相关抗原3(LFA-3/CD58)酶联免疫定量检测 Rat lymphocyte function associated antigen 3,lfa-3 ELISA KIT
ARB10820 人抗红细胞抗体(RBC)代做ELISA实验 Human anti-red cell antibody ELISA KIT
N-羟yi基乙二*(代"胺")-N,N′,N′-三乙酸三* Chrome Blue K 207386-87-6
ARB13539 兔子Ⅱ型胶原(Col Ⅱ)血清中含量检测 Rabbit collagen type Ⅱ,col Ⅱ ELISA KIT
ARB14196 山羊Toll样受体3(TLR3)尿液中含量检测
ARB12022 大鼠β2-微球蛋白(β2-MG)酶免分析 Rat β2-microglobulin,bmg/β2-mg ELISA KIT
ARB13907 猪血管性血友病因子/瑞斯托霉素辅因子(VWF)elisa检测说明书 Porcine von willebrand factor,vwf ELISA KIT
L0102 小鼠单抗ig类/亚类鉴定用酶标二抗即用套装
分子筛13X型 Mepiquat chloride 63231-69-6
纤维素酶(绿色木霉) Sodium malonate monohydrate 9012-54-8
牛磺鹅去氧胆酸*等级划分:
我国的试剂规格基本上按纯度(杂质含量的多少)划分,共有高纯、光谱纯、基准、分光纯、优级纯、分析和化学纯等7种。国家和主管部门颁布质量指标的主要优级纯、分级纯和化学纯3种。
(1)优级纯(GR),又称一级品或保证试剂,99.8%,这种试剂纯度最高,杂质含量最低,适合于重要精密的分析工作和科学研究工作,使用绿色瓶签。
(2)分析纯(AR),又称二级试剂,纯度很高,99.7%,略次于优级纯,适合于重要分析及一般研究工作,使用红色瓶签。
(3)化学纯(CP),又称三级试剂,≥ 99.5%,纯度与分析纯相差较大,适用于工矿、学校一般分析工作。使用蓝色(深蓝色)标签。
(4)实验试剂(LR),又称四级试剂。
我公司强烈推荐标准品对照品系列产品,热情期待您的咨询选购牛磺鹅去氧胆酸*对照品现货。
风险提示:丁香通仅作为第三方平台,为商家信息发布提供平台空间。用户咨询产品时请注意保护个人信息及财产安全,合理判断,谨慎选购商品,商家和用户对交易行为负责。对于医疗器械类产品,请先查证核实企业经营资质和医疗器械产品注册证情况。
技术资料暂无技术资料 索取技术资料









