相关产品推荐更多 >
万千商家帮你免费找货
0 人在求购买到急需产品
- 详细信息
- 文献和实验
- 技术资料
- 保存条件:
-20℃
- 保质期:
三年
- 英文名:
AEBSF
- 库存:
440
- 供应商:
北京百奥莱博科技有限公司
- 规格:
50mg
特别声明:本产品及我公司所售其他产品均为科研类试剂产品,严禁用于药物、医疗及其他非科研用途。
北京百奥莱博主要从事生物试剂的生产和销售,产品线涵盖AEBSF 蛋白质研究在内的分子生物学试剂产品,还包括PCR及荧光定量PCR、核酸提取试剂盒类、样本核酸保护试剂、核酸提取、克隆与转化、蛋白纯化、蛋白检测、免疫组化、细胞凋亡与抗体等。
名称:AEBSF 蛋白质研究
英文名:AEBSF
规格:50mg
产地:国产|进口
品牌:百奥莱博
CAS:30827-99-7
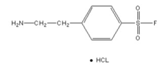
EBSF,英文名4-(2-Aminoethyl)benzenesulfonyl fluoride hydrochloride,中文名4-2-胺乙基苯磺酰氟盐酸盐,是一种水溶性,不可逆的丝氨酸蛋白酶抑制剂,广谱抑制胰蛋白酶、糜蛋白酶、纤溶酶、激肽释放酶和凝血酶活性。高产品蛋白纯化过程中往往需要蛋白酶抑制剂来预防蛋白降解,并提高蛋白制剂的纯度。AEBSF是传统蛋白酶抑制剂PMSF和DFP的替代物,因其毒性低,水溶性强,但水溶液稳定性更好。另外,AEBSF的抑制常数类似于 PMSF和DFP,且LD50(依小鼠的口服剂量)高于PMSF和DFP。近期报道发现AEBSF可以延长急性弓形虫感染小鼠的寿命,且在SNU-16人胃腺癌细胞中抑制TNF-α诱导的所有凋亡特征。
AEBSF已用于细胞培养及下游纯化,使用浓度可达 0.25 mM,推荐使用浓度为0.1-1 mM。
中文别名:4-(2-氨乙基)苯磺酰氟盐酸盐;;4-(2-氨基乙基)氟苯磺酰盐酸盐
英文别名:AEBSF HCL; PEFABLOC SC;4-(2-Aminoethyl)benz;
分子式:C8H10FNO2S.HCl
分子量:239.7
CAS:30827-99-7
纯度:≥98%
外观:白色或灰白色结晶
熔点:180~182℃
溶解性:溶于水(50mg/ml),DMSO(50mg/ml)
结构式:

注意事项
1)AEBSF可诱导蛋白修饰,例如,可能影响蛋白的等电点。
2)AEBSF水溶液呈微弱酸性,4℃保持可维持其抑制活性高达6个月。而pH高于7.0水溶液稳定很弱。
3)为了您的安全和健康,请穿实验服并戴一次性手套操作。
储存条件:-20℃,有效期三年。
欲咨询购买AEBSF 蛋白质研究,请致电北京百奥莱博科技有限公司,为您提供最全面周到的产品服务,除此之外,我公司正在促销以下产品:
SJ0435 N,N-二环己基碳二亚胺
Pfu酶 TSPP decahydrate
ARB13634 兔子胰岛素样生长因子2(IGF-2)检测服务 Rabbit insulin-like growth factor 2,igf-2 ELISA KIT
ARB10734 人纤维介素蛋白(fgl2)ELISA检测服务 Human fibrinogen like Peptide 2,fgl2 ELISA KIT
SJ0727 Tris-HCl缓冲液(1mol/L,PH6.8)
SJ0245 Doxycycline-HCL 盐酸强力霉素
ARB13532 兔一氧化氮合成酶(NOS)elisa测定使用说明书 Rabbit nitric oxide synthase,nos ELISA KIT
75-12-7 甲酰胺 Formamide
ARB13628 兔子神经营养因子3(NT-3)酶联免疫定量检测 Rabbit neurotrophin 3,nt-3 ELISA KIT
ARB11056 人苯丙酸诺龙/苯丙酸去甲睾酮(NP)定量分析 Human nandrolone phenylpropionate,np ELISA KIT
BL0839 羊抗人IgM纯化抗体
ARB12222 大鼠血小板衍生生长因子可溶性受体α(PDGFsR-α)尿液中含量检测 Rat platelet-derived growth factor soluble receptor α,pdgfsr-α ELISA KIT
ARB11548 人凋亡相关因子配体(FASL)elisa检测说明书 Human factor-related apoptosis ligand,fasl ELISA KIT
AEBSF 蛋白质研究关键词:4-(2-氨基乙基)氟苯磺酰盐酸盐,AEBSF,4-(2-氨乙基)苯磺酰氟盐酸盐
·27mm透析袋(透析分子量50kDa)
编号:SY0415
英文名称:Dialysis Tube MD34 (Mw50,000)
规格:1卷(1米)
透析袋通常为半透膜制成的袋状,以此为屏障对目的蛋白进行脱盐以及进行缓冲液的置换,透析的主要原理是:透析袋内样品的生物大分子被截留在袋内,而盐和小分子物质不断扩散透析到透析袋外,直到透析袋内外两边的浓度达到平衡为止。透析袋透析的动力是扩散压,扩散压是由横跨膜两边的浓度梯度形成的。透析袋透析的速度反比于膜的厚度,正比于欲透析的小分子溶质在膜内外两边的浓度梯度,还正比于膜的面积和温度,通常是4℃透析。
本透析袋参数:扁平宽度为34mm,直径27mm,截留分子量50kDa。
储存条件:4℃,有效期2年。
注意事项
1)每次使用后将余下的膜放回袋子并密封好,以防干裂。
2)为了您的安全和健康,请穿实验服并戴一次性手套操作。
使用方法
1)把透析袋剪成适当长度(10-20cm)的小段,具体长度需根据待透析的样品而定。
2)在大体积(eg.500mL)的2%(W/V)的碳酸氢钠和1mmol/L EDTA (pH=8.0)中将透析袋煮沸10min。
3)用蒸馏水彻底清洗透析袋。
4)放在大体积(eg.500mL)的1 mmol/L EDTA (pH=8.0)中将之煮沸10min。
5)冷却后,存放于4℃,必须确保透析袋始终浸没在溶液内。【注】:从此时起取用透析袋必须戴手套。
6)在使用前要用蒸馏水将透析袋里外加以清洗干净。
7)使用时,一端由透析夹夹紧,另一端灌满水,用手指稍加压,检查不漏,方可装入待透析液。
【注】:
① 通常要留1/3~1/2的空间,以防透析过程中,透析的小分子量较大或样品含盐量较高时,袋外的水和缓冲液过量进入袋内将袋涨破。
② 为了加快透析速度,除多次更换透析液外,还可使用转子边搅拌边透析。透析的容器要大,如大烧杯等。
AEBSF 蛋白质研究关键词:4-(2-氨基乙基)氟苯磺酰盐酸盐,AEBSF,4-(2-氨乙基)苯磺酰氟盐酸盐
·正钒酸钠
编号:SY0331
英文名称:Sodium Orthovanada
规格:10g
正钒酸钠英文名称为Sodium orthovanada, 是一种常用的竞争性磷酸酶抑制剂,可以抑制碱性磷酸酶(alkaline phosphatase, ALP),酸性磷酸酶(acid phosphatase),酪氨酸磷酸酶(tyrosine phosphatase, TP)等,也可以抑制Na+/K+ATPase等ATPase。常用于抑制蛋白去磷酸化或促进蛋白的磷酸化激活,在提取细胞或组织蛋白时常用于保持蛋白的磷酸化状态。在加入EDTA或经稀释后,正反酸钠的抑制表现可逆性。
正钒酸钠使用前需要先被充分活化(去聚合)以获得最大的磷酸酶抑制活性。本产品以粉末形式提供,对其活化(去聚合)后方可使用。我司另有以活化正钒酸钠供应【Cat#SY0322】,常见使用浓度范围为1~10 mM。
中文别名:原钒酸钠
英文别名:Sodium vanadate
CAS:13721-39-6
分子式:Na3VO4
分子量:183.91
纯度:>96%
外观:白色至类白色粉末
溶解性:易溶于水,不溶于乙醇
外观:灰白色至白色结晶
储存条件:室温
溶解与使用
使用前,正钒酸钠需要先被充分活化(去聚合)以获得最大的磷酸酶抑制活性,步骤如下:
1)正钒酸钠溶于水配制200 mM的溶液,称取适量正钒酸钠粉末溶于纯水中。
2)用1N NaOH或1N HCl调整pH至10.0。正钒酸钠起始溶液的pH值依批次变化而有差异。pH 10.0溶液呈现黄色。
3)加热煮沸,直至溶液变为无色(大概煮10 min),所有的结晶必须充分溶解。
4)冷却至室温。
5)重新调整pH至10.0,并重复步骤3)4)直至溶液保持无色且pH稳定在10.0。
6) 将活化的正钒酸钠溶液分装成小份(如1 ml),-20 ℃保存。储存液可直接加入细胞或组织裂解液,稀释到工作液如1 mM。细胞培养实验需要先用0.2 um滤膜过滤除菌后,稀释加入培养基内;
7)从-20 ℃取出分装小样融化后,需加热溶液约至90~100 ℃,漩涡混匀,充分溶解结晶。
我公司生产供应销售的蛋白质研究正全品类优惠促销,十分期待您的咨询选购AEBSF 蛋白质研究。
风险提示:丁香通仅作为第三方平台,为商家信息发布提供平台空间。用户咨询产品时请注意保护个人信息及财产安全,合理判断,谨慎选购商品,商家和用户对交易行为负责。对于医疗器械类产品,请先查证核实企业经营资质和医疗器械产品注册证情况。
文献和实验哪些蛋白质数据库最受研究者欢迎?GEN网站罗列出16个,包括BioGRID, DDBJ, ExPasy, Gepasi, IntAct, KEGG, MINT, MS-Fit, NCBI, STRING, Uniprot等,详细列表请见如下内容。 BioGRID数据库于2003年建立,是一个有关于蛋白质—蛋白质以及基因相互作用的数据库。 DDBJ数据库,于1984年建立,是世界三大DNA 数据库之一,与NCBI的GenBank,EBI的EMBL数据库共同组成国际DNA数据
zhaohj2001战友整理的--《蛋白质研究相关技术旧帖 》
蛋白质研究相关技术旧帖整理 蛋白质药品冷冻干燥技术研究进展 http://www.dxy.cn/bbs/post/view?bid=65&id=2546179&sty=1&tpg=1&age=0 肽电泳资料 http://www.dxy.cn/bbs/post/view?bid=65&id=2597696&sty=1&tpg=1&age=0 armersham公司的蛋白质纯化手册 http://www.dxy.cn/bbs/post/view?bid=65&id=2337162
蛋白序列分析软件包ANTHEPROT 4.3中文使用说明 来源:易生物实验 浏览次数:0 网友评论 0 条 蛋白序列分析软件包ANTHEPROT 4.3是位于法国的蛋白质生物与化学研究院(Institute of Biology and Chemistry of Proteins)用十多年时间开发出的蛋白质研究软件包。软件包包括了蛋白质研究
技术资料暂无技术资料 索取技术资料










