万千商家帮你免费找货
0 人在求购买到急需产品
- 详细信息
- 文献和实验
- 技术资料
- 保存条件:
常温、冷藏
- 库存:
大量
- 供应商:
泽叶生物
- CAS号:
153-18-4
- 规格:
20mg
基础信息:
中文名称: 芦丁
英文名称: Rutin
CAS No: 153-18-4
中文别名: 芸香苷,维生素P
英文别名: Ilixanthin,Quercetin 3-O-β-D-rutinoside,Quercetin 3-O-β-rutinoside,Quercetin 3-rhamnoglucoside,Querc...
分子式: C27H30O16
分子量: 610.52
植物源: 槐角
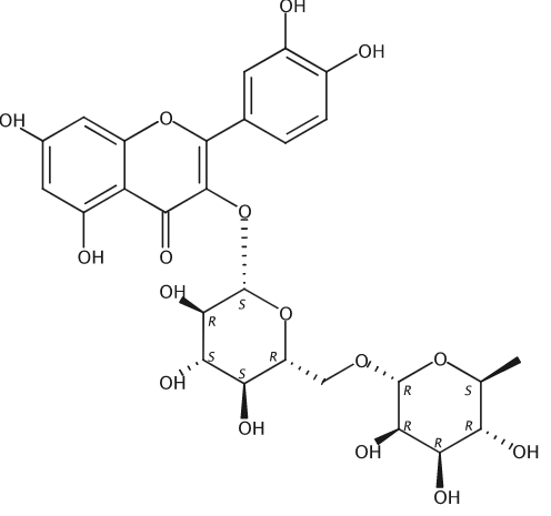
芦丁 CAS(153-18-4)分子结构:

芦丁 CAS(153-18-4)实验特性:
颜色与性状: 浅黄色针状结晶
熔点: 125 °C
沸点: 983.1±65.0 °C
溶解性: 易溶于甲醇、氯仿
结构类型: Flavonols/Flavanonols
存储条件: 2-8℃
分析方法:推荐UV
鉴定方法 质谱(Mass), 核磁(NMR)
供货能力:大量现货
特别提示:本公司的所有产品仅可用于科研实验,严禁用于临床医疗及其他非科研用途!
风险提示:丁香通仅作为第三方平台,为商家信息发布提供平台空间。用户咨询产品时请注意保护个人信息及财产安全,合理判断,谨慎选购商品,商家和用户对交易行为负责。对于医疗器械类产品,请先查证核实企业经营资质和医疗器械产品注册证情况。
文献和实验概述 芦丁(Rutin)广泛存在于植物界中,现已发现含芦丁的植物至少在70种以上,如烟叶、槐花、荞麦和蒲公英中均含有。尤以槐花米(为植物Sophorajaponica的未开放的花蕾)和荞麦中含量最高,可作为大量提取芦丁的原料。芦丁是由斛皮素(Quercetin)3位上的羟基与芸香糖(Rutinose)〔为葡萄糖(Glucose)与鼠李糖(Rhamnose)组成的双糖〕脱水合成的苷。 芦丁为浅黄色粉末或极细的针状结晶,含有三分子的结晶水,熔点为174~178℃,无水物188~190
.56%,以峰面积作精密度实验,RSD为1.38%。结论三棱的超临界萃取物中含有芦丁,建立的高效液相色谱方法线性关系良好,精密度和回收率高,适合于三棱中芦丁含量的测定。 【关键词】 反相高效液相色谱; 薄层色谱鉴别; 芦丁; 超临界萃取 Determination of Rutin in SFE Extract of Sparganium stoloniferum by RP�HPLC LI Ke�yi, LIU Hong�mei*
近日,由中国科学院兰州化学物理研究所中科院西北特色植物资源化学重点实验室邸多隆研究员带领的课题组,在大孔吸附树脂对天然产物中黄酮类化合物选择性吸附机理研究方面取得新进展。 大孔吸附树脂对芦丁的吸附等温线 该研究以苯乙烯—二乙烯基苯系大孔吸附树脂为研究对象,通过研究大孔吸附树脂对芦丁的吸附行为,发现其吸附行为更适合于Brunauer提出的第四种模型。研究结果验证了大孔吸附树脂的吸附依其吸附过程依次存在着大孔、中孔和小孔三个阶段的假设,并发现在每两个阶段的交替过程会出现毛细管效应。进一步
技术资料暂无技术资料 索取技术资料







