相关产品推荐更多 >
万千商家帮你免费找货
0 人在求购买到急需产品
- 详细信息
- 询价记录
- 文献和实验
- 技术资料
- 保存条件:
室温
- 保质期:
1年
- 英文名:
Tris-EDTA buffer solution
- 库存:
100⁺瓶
- 供应商:
上海睿安生物13611631389
- CAS号:
PubChem化学物质编号:329770221
- 规格:
500ml/瓶
Sigma-Supelco货号93302-100ml缓冲溶液(Tris-EDTA buffer solution)上海睿安生物13611631389
Sigma-Supelco货号93302-500ml缓冲溶液(Tris-EDTA buffer solution)上海睿安生物13611631389
Tris-EDTA缓冲液
BioUltra,Molecular Biology,pH 7.4
别名:TE 缓冲液 溶液

基本信息
内容
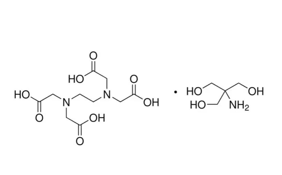
TE缓冲溶液(Tris-EDTA buffer solution)
在生化研究工作中,常常要用到缓冲溶液来维持实验体系的酸碱度。研究工作的溶液体系pH值的变化往往直接影响到我们工作的成效。如果提取酶实验体系的pH值变化或变化过大,会使酶活性下降甚至完全失活。所以我们要学会配制缓冲溶液。
由弱酸及其盐组合一起使具有缓冲作用。生化实验室常常用的缓冲系主要有磷酸、柠檬酸、碳酸、醋酸、Tris(三羟甲基氨基甲(jiǎ)烷)等系统,在生化实验或研究工作中要慎重地选择缓冲体系,因为有时影响实验结果的因素并不是缓冲液的pH值,而是缓冲液中的某种离子。如硼酸盐、柠檬酸盐、磷酸盐和三羟甲基甲烷等缓冲剂都可能产生不需要的反应。
硼酸盐:硼酸盐与许多化合物形成复盐、如蔗糖。
柠檬酸盐:柠檬酸盐离子容易与钙结合,所以存在有钙离子的情况下不能使用。
磷酸盐:在有些实验,它是酶的抑止剂或甚至是一个代谢物,重金属易以磷酸盐的形式从溶液中沉淀出来。而且它在pH7.5以上时缓冲能力很小。
三羟甲基氨基甲(jiǎ)烷:它可以和重金属一起作用,但在有些系统中也起抑止的作用。其主要缺点时温度效应。这点往往被忽视,在室温pH是7.8的Tris一缓冲液,在4℃时是8.4,在37℃时是7.4,因此,4℃配制的缓冲液拿到37℃测量时,其氢离子浓度就增加了10倍。而且它在pH7.5以下,缓冲能力差。
配制
×TE Buffer
组成浓度:10mMTris-HCl1mM EDTA PH=8.0
配制量:500ml
配制方法:量取下列溶液于500ml烧杯中
1M Tris-HCl Buffer PH=8.0 5ml
0.5M EDTA PH=8.0 1ml
向烧杯中加入约400mldd H2O均匀混合;将溶液定容到500ml后,高温高压灭菌;室温保存.
作用及用途
作用:TE缓冲液是弱碱性,对DNA的碱基有保护性,(DNA在TE中的稳定性较好,不易被破坏其完整性或产生开环及断裂),包括提取好的DNA也要放在TE缓冲液中保存.
用途
TE缓冲是Tris +EDTA缓冲液,这种缓冲液我们一般用作溶解剂或保持剂,主要是调控PH,TAE是一种电泳缓冲液,主要用于DNA分子的电泳。 TE组成浓度:10mM Tris-HCl 1mM EDTA PH=8.0 配制量:500ml 配制方法:量取下列溶液于500ml烧杯中 1M Tris-HCl Buffer PH=8.0 5ml 0.5M EDTA PH=8.0 1ml 向烧杯中加入约400mldd H2O均匀混合;将溶液定容到500ml后,高温高压灭菌;室温保存.
TAE是使用最广泛的缓冲系统。其特点是超螺旋在其中电泳时更符合实际相对分子质量(TBE中电泳时测出的相对分子质量会大于实际分子质量),且双链线状DNA在其中的迁移率较其他两种缓冲液快约10%,电泳大于13kb的片段时用TAE缓冲液将取得更好的分离效果,此外,回收DNA片段时也易用TAE缓冲系统进行电泳。TAE的缺点是缓冲容量小,长时间电泳(如过夜)不可选用,除非有循环装置使两极的缓冲液得到交换。 50×TAE Buffer 配制方法: 1. 称量Tris 242g,Na2EDTA.2H2O 37.2g 于1L烧杯中; 2.向烧杯中加入约800ml去离子水,充分搅拌均匀; 3加入57.1ml的冰乙酸,充分溶解; 4.加去离子水定容至1L后,室温保存。

应用:三乙(yǐ)二胺四乙酸缓冲溶液已用于稀释脱氧核糖核酸样品。它已用于纯化载体的洗脱。
外形:10mM Trizma®碱;1mM EDTA
法律信息:Trizma is a registered trademark of Merck KGaA,Darmstadt,Germany




风险提示:丁香通仅作为第三方平台,为商家信息发布提供平台空间。用户咨询产品时请注意保护个人信息及财产安全,合理判断,谨慎选购商品,商家和用户对交易行为负责。对于医疗器械类产品,请先查证核实企业经营资质和医疗器械产品注册证情况。
- 作者
- 内容
- 询问日期
文献和实验Sigma-Supelco货号93302-100ml缓冲溶液(Tris-EDTA buffer solution)上海睿安生物13611631389
Sigma-Supelco货号93302-500ml缓冲溶液(Tris-EDTA buffer solution)上海睿安生物13611631389
Tris-EDTA缓冲液
BioUltra,Molecular Biology,pH 7.4
别名:TE 缓冲液 溶液

基本信息
内容
TE缓冲溶液(Tris-EDTA buffer solution)
在生化研究工作中,常常要用到缓冲溶液来维持实验体系的酸碱度。研究工作的溶液体系pH值的变化往往直接影响到我们工作的成效。如果提取酶实验体系的pH值变化或变化过大,会使酶活性下降甚至完全失活。所以我们要学会配制缓冲溶液。
由弱酸及其盐组合一起使具有缓冲作用。生化实验室常常用的缓冲系主要有磷酸、柠檬酸、碳酸、醋酸、Tris(三羟甲基氨基甲(jiǎ)烷)等系统,在生化实验或研究工作中要慎重地选择缓冲体系,因为有时影响实验结果的因素并不是缓冲液的pH值,而是缓冲液中的某种离子。如硼酸盐、柠檬酸盐、磷酸盐和三羟甲基甲烷等缓冲剂都可能产生不需要的反应。
硼酸盐:硼酸盐与许多化合物形成复盐、如蔗糖。
柠檬酸盐:柠檬酸盐离子容易与钙结合,所以存在有钙离子的情况下不能使用。
磷酸盐:在有些实验,它是酶的抑止剂或甚至是一个代谢物,重金属易以磷酸盐的形式从溶液中沉淀出来。而且它在pH7.5以上时缓冲能力很小。
三羟甲基氨基甲(jiǎ)烷:它可以和重金属一起作用,但在有些系统中也起抑止的作用。其主要缺点时温度效应。这点往往被忽视,在室温pH是7.8的Tris一缓冲液,在4℃时是8.4,在37℃时是7.4,因此,4℃配制的缓冲液拿到37℃测量时,其氢离子浓度就增加了10倍。而且它在pH7.5以下,缓冲能力差。
配制
×TE Buffer
组成浓度:10mMTris-HCl1mM EDTA PH=8.0
配制量:500ml
配制方法:量取下列溶液于500ml烧杯中
1M Tris-HCl Buffer PH=8.0 5ml
0.5M EDTA PH=8.0 1ml
向烧杯中加入约400mldd H2O均匀混合;将溶液定容到500ml后,高温高压灭菌;室温保存.
作用及用途
作用:TE缓冲液是弱碱性,对DNA的碱基有保护性,(DNA在TE中的稳定性较好,不易被破坏其完整性或产生开环及断裂),包括提取好的DNA也要放在TE缓冲液中保存.
用途
TE缓冲是Tris +EDTA缓冲液,这种缓冲液我们一般用作溶解剂或保持剂,主要是调控PH,TAE是一种电泳缓冲液,主要用于DNA分子的电泳。 TE组成浓度:10mM Tris-HCl 1mM EDTA PH=8.0 配制量:500ml 配制方法:量取下列溶液于500ml烧杯中 1M Tris-HCl Buffer PH=8.0 5ml 0.5M EDTA PH=8.0 1ml 向烧杯中加入约400mldd H2O均匀混合;将溶液定容到500ml后,高温高压灭菌;室温保存.
TAE是使用最广泛的缓冲系统。其特点是超螺旋在其中电泳时更符合实际相对分子质量(TBE中电泳时测出的相对分子质量会大于实际分子质量),且双链线状DNA在其中的迁移率较其他两种缓冲液快约10%,电泳大于13kb的片段时用TAE缓冲液将取得更好的分离效果,此外,回收DNA片段时也易用TAE缓冲系统进行电泳。TAE的缺点是缓冲容量小,长时间电泳(如过夜)不可选用,除非有循环装置使两极的缓冲液得到交换。 50×TAE Buffer 配制方法: 1. 称量Tris 242g,Na2EDTA.2H2O 37.2g 于1L烧杯中; 2.向烧杯中加入约800ml去离子水,充分搅拌均匀; 3加入57.1ml的冰乙酸,充分溶解; 4.加去离子水定容至1L后,室温保存。

应用:三乙(yǐ)二胺四乙酸缓冲溶液已用于稀释脱氧核糖核酸样品。它已用于纯化载体的洗脱。
外形:10mM Trizma®碱;1mM EDTA
法律信息:Trizma is a registered trademark of Merck KGaA,Darmstadt,Germany




技术资料需要更多技术资料 索取更多技术资料
资料下载:
⁺询订13611631389微信同号.png 附 (下载 0 次)
610012187上海睿安生物SLSCA分析化学品Merck标准物质2025授权.pdf 附 (下载 0 次)
35579720上海睿安生物SLSCA分析化学品Sigma标准物质2025授权.pdf 附 (下载 0 次)
35579720上海睿安生物科技有限SLSCC化学类2025授权书Sigma.pdf 附 (下载 0 次)
请 [登录] 后再下载!










