相关产品推荐更多 >
万千商家帮你免费找货
0 人在求购买到急需产品
- 详细信息
- 文献和实验
- 技术资料
- 库存:
大量
- 供应商:
上海汇谱仪器有限公司
提供 Standards for PPC, TLC, HPLC 用标准品 50mg
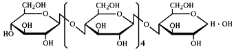
A series of celloligosaccharides from dimer to heptamer are prepared by hydrolysis of cellulose 1~4). the oligomers are composed of beta - 1, 4 - linked D - glucose. All oligomers are chromatographically pure, confirmed by high performance liquid chromatography.
纤维二糖 Cellobiose
纤维三糖 Cellotriose
Pure: 99%
[ alpha ]26D : 22° (4%, H2O)
Molecular weight : 504.4
纤维四糖 Cellotetraose
Pure: 99%
- [ alpha ]23D : 16.5° (3.4%, H2O)
- Molecular weight : 666.6
纤维五糖 Cellopentaose
Pure: 99%
- [ alpha ]30D : 11°(4.1%, H2O)
- Molecular weight : 828.7
纤维六糖 Cellohexaose

- Pure: 99%
- [ alpha ]30D : 10° (1.2%, H2O)
Molecular weight : 990.9
- APPEARANCE : All oligomers are lyophilized powder.
中文名称:纤维二糖
系统名 4-O-β-D-葡萄吡喃苷基-D-葡萄吡喃糖,分子式C12H22O11。
CAS:528-50-7
分子量:342.3
分子式:C12H22011
性状:白色结晶粉末
纤维二糖是纤维素水解的产物,也是纤维素的基本结构单元。
在自然界不存在游离的纤维二糖,在乙醇水溶液中可得细粒结晶的纤维二糖(真空干燥后),熔点 225℃(分解)。它与纤维素的关系如同麦芽糖与淀粉的关系一样,水解后也得两分子D-(+)-葡萄糖,所不同的是麦芽糖为α-葡萄糖苷,而纤维二糖为β-葡萄糖苷。
纤维二糖分子有一个半缩醛羟基,能还原费林试剂,在水溶液中有变旋光的现象,比旋光度 +36.4°(15小时)。 它不能为麦芽糖酶水解,可为苦杏仁酶水解。
- 中文名称:纤维三糖
- 英文名称:cellotriose
- 定义:3个葡萄糖分子通过β-1,4-糖苷键连接而形成的寡糖。
风险提示:丁香通仅作为第三方平台,为商家信息发布提供平台空间。用户咨询产品时请注意保护个人信息及财产安全,合理判断,谨慎选购商品,商家和用户对交易行为负责。对于医疗器械类产品,请先查证核实企业经营资质和医疗器械产品注册证情况。
文献和实验的。 实验室常用的蛋白标准品多是来自NEB、MBI、GE、Bio-Rad 、Invitrogen、Novagen、Promega、MRESCO、Pierce Bio. 等品牌,生物帮2-D 蛋白 MW Markers产品推荐:Marker for 2D Electrophoresis 、ColorBurst(TM) Electrophoresis Marker 、Myoglobin, Carbamylated 2D Electrophoresis Marker from equine heart
WHO国际生物制剂书目(由WHO国际标准生物实验室制定分类) 试剂 剂型 13059143940/13380091861 第一页 重组人Activin A冻干粉 标准品 5 units / ampoule 人甲胎蛋白冻干粉 标准品 100,000 IU / ampoule. 氨基羟丁基卡那霉素冻干粉 标准品 50,600 IU / ampoule 两性霉素B冻干粉 标准品 . 940 IU / mg(含约50mg两性霉素B) Ancrod冻干粉 标准品 55 IU
zgq8888 求助: 我想做一个QPCR检测肝癌组织及正常组织的一个基因表达,我是用哪个做标准品建立标准曲线;另外关于人的内参NAPDH的引物序列,不同文献不同,我应该怎样选择。谢谢 zjubell 你要做绝对定量还是相对定量? 既然你提取用内参,那应该就是相对定量了 所以不需要标准品做标准曲线。但你需要对你的两对引物进行扩增效率测试 也是10倍稀释,就拿cDNA即可。 如果两个梯度间
技术资料暂无技术资料 索取技术资料






![Borneol 7-O-[β-D-apiofuranosyl-(1→6)]-β-D-glucopyranoside](https://custom.dxycdn.com/trademd/upload/pic/2015/04/27/B1430122556.png!small.t.1)

