相关产品推荐更多 >
万千商家帮你免费找货
0 人在求购买到急需产品
- 详细信息
- 技术资料
- 保存条件:
4°C
- 英文名:
MUG (MUGLCU, 4-MU-GLCUA, 4-METHYLUMBEL 10020
- 库存:
99
- 供应商:
Biotium
- CAS号:
6160-80-1
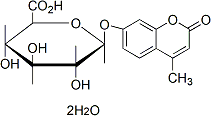
MUG是荧光b-葡萄糖醛酸酶底物,酶解后释放蓝色荧光的4-甲基-7-羟基香豆素。底物常用于鉴别E.coli污染,高灵敏检测植物中标记GUS基因表达。
MUG (4-MU-glcUA; 4-Methylumbelliferyl-β-D-glucuronic acid dihydrate), also known as MUGlcU, is a fluorogenic β-glucuronidase substrate that releases the blue fluorescent 4-methyl-7-hydroxycoumarinon enzymatic hydrolysis. The substrate is commonly used for identifying E. coli contamination and for detecting marker GUS gene expression in plants with high sensitivity.
- λEx/λEm= 360/450 nm (end product)
- White solid soluble in DMSO
- Store desiccated at ≤4°C and protect from light
- C16H16O9.2H2O
- MW: 388.3
- [6160-80-1]
风险提示:丁香通仅作为第三方平台,为商家信息发布提供平台空间。用户咨询产品时请注意保护个人信息及财产安全,合理判断,谨慎选购商品,商家和用户对交易行为负责。对于医疗器械类产品,请先查证核实企业经营资质和医疗器械产品注册证情况。
MUG (MUGLCU, 4-MU-GLCUA, 4-METHYLUMBEL 10020
询价












