相关产品推荐更多 >
万千商家帮你免费找货
0 人在求购买到急需产品
- 详细信息
- 文献和实验
- 技术资料
- 保质期:
6个月
- 英文名:
Cyanine 750 SE
- 库存:
99
- 供应商:
Biotium
- CAS号:
1
- 保存条件:
-20°C避光
Biotium offers high quality amine-reactive succinimidyl ester (SE, or NHS-Ester) dyes used to label proteins, oligonucleotides, and nucleic acids. We offer Cyanine 555 (Cy®3), Cyanine 647 (Cy®5), Cyanine 680 (Cy®5.5), and Cyanine 750 (Cy®7) as high quality succinimidyl esters. Also see our CF® Dye Succinimidyl Esters, available with more than 20 bright and photostable CF® Dyes.
Cyanine 555
Cyanine 555 is structurally identical to Cy®3 from GE Healthcare.
- λEx/λEm (water) = 555/565 nm
- Dark red solid soluble in DMF and DMSO
- Store at -20°C and protect from moisture and light
- C41H56N4O10S2
- MW: 829
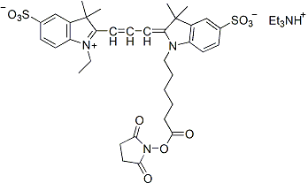
Cyanine 647
Cyanine 647 is structurally identical to Cy®5 from GE Healthcare.
- λEx/λEm (water) = 650/665 nm
- Dark blue solid soluble in DMF and DMSO
- Store at -20°C and protect from moisture and light
- C43H58N4O10S2
- MW: 855
Cyanine 680
Cyanine 680 is structurally identical to Cy®5.5 from GE Healthcare.
- λEx/λEm (water) = 681/698 nm
- Dark blue solid soluble in DMF and DMSO
- Store at -20°C and protect from moisture and light
- C63H92N6O16S4
- MW: 1318
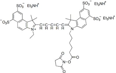
Cyanine 750
Cyanine 750 is structurally identical to Cy®7 from GE Healthcare.
- λEx/λEm = 755/777 nm
- Dark blue solid soluble in DMF and DMSO
- Store at -20°C and protect from moisture and light
- C45H60N4O10S2
- MW: 881
Cy3, Cy5, Cy5.5, and Cy7 are registered trademarks of GE Healthcare.
风险提示:丁香通仅作为第三方平台,为商家信息发布提供平台空间。用户咨询产品时请注意保护个人信息及财产安全,合理判断,谨慎选购商品,商家和用户对交易行为负责。对于医疗器械类产品,请先查证核实企业经营资质和医疗器械产品注册证情况。
文献和实验Cyanine Dye Purification Protocol
) 20 ml ddH2 O, 0.22 mm filtered 15 mM TEAA (this can be substitutied with 0.750 mL HSB and 49.25 mL ddH2 O, 0.22 mm filtered, to produce 50 mL) Sep-Pak cartridges, C18 (Waters #20515); 1 column per cy dye. Can be reused twice
SE 活性部分远低于50%(AlexaFluor488微量标记试剂盒产品信息,Invitrogen)。相反,所有Biotium 的CF染料具有相对稳定的胺活性的SE基团型,这比大部分AlexaFluor 染料的SE更耐水解。总体来说,CF染料SE产品一贯的给出更高的标记效率,提供给用户更好的使用价值。选择方案:蓝色(350-450nm处激发) CF 350、Alexa Fluor 350、AMCA等----亮蓝和紫外光激发CF350是类似于Alexa Fluor 350和传统荧光染料AMCA的蓝色
DNA ISOLATION FROM PRIMARY TUMORS VIA CRYOSECTIONS
thread of DNA with a closed hooked pasteur pipet and rinse gently in 70% EtOH - DNA is dried and dissolved in appropriate volume of TE buffer - dissolve the DNA o/n at 4℃ on rotor SE buffer (10X) : 750 mM NaCl pH=8 250 mM EDTA












