相关产品推荐更多 >
万千商家帮你免费找货
0 人在求购买到急需产品
- 详细信息
- 技术资料
- 保存条件:
-20°C
- 保质期:
12个月
- 英文名:
BIOTIN-20-UTP, 1 MM IN PH 7.5 TRIS-HCL B 40034
- 库存:
99
- 供应商:
Biotium
- CAS号:
1
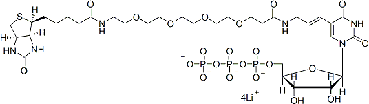
This product is similar to biotin-11-UTP (40033) and biotin-16-UTP (40023) except that it has a longer and water soluble spacer group, which should facilitate interaction between the biotin group and avidin or streptavidin.
- 10 mM solution in pH 7.5 Tris-HCl buffer
- Store at -20°C
- C33H51N6O22P3SLi4
- MW: 1036.26
风险提示:丁香通仅作为第三方平台,为商家信息发布提供平台空间。用户咨询产品时请注意保护个人信息及财产安全,合理判断,谨慎选购商品,商家和用户对交易行为负责。对于医疗器械类产品,请先查证核实企业经营资质和医疗器械产品注册证情况。
生物素-20-UTP, 1 MM IN PH 7.5 TRIS-HCL B 40034
询价












