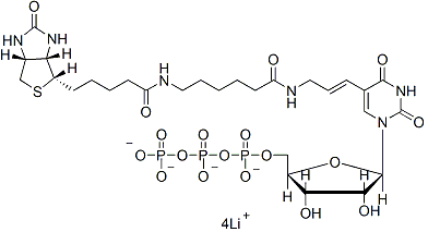
Biotin-11-UTP (biotin-11-uridine-5′-triphosphate, tetralithium salt) can be enzymatically incorporated into RNA. The number 11 is the number of atoms in the linker between biotin and UTP.
- Supplied in pH 7.5 Tris-HCl buffer
- Store at -20°C
- C28H41N6O18P3SLi4
- MW: 902.5

风险提示:丁香通仅作为第三方平台,为商家信息发布提供平台空间。用户咨询产品时请注意保护个人信息及财产安全,合理判断,谨慎选购商品,商家和用户对交易行为负责。对于医疗器械类产品,请先查证核实企业经营资质和医疗器械产品注册证情况。