相关产品推荐更多 >
万千商家帮你免费找货
0 人在求购买到急需产品
- 详细信息
- 技术资料
- 保存条件:
-20°C
- 保质期:
12个月
- 英文名:
BIOTIN-11-DUTP, LYOPHILIZED POWDER (BIOT 40029-1
- 库存:
99
- 供应商:
Biotium
- CAS号:
86303-25-5
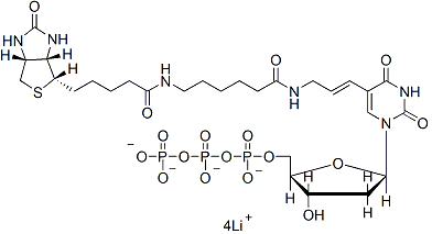
Biotin-11-dUTP can be enzymatically incorporated into DNA via nick translation, random priming, or 3′-end terminal labeling. The number ’11’ is the number of atoms in the linker between biotin and dUTP. Biotium also offers biotin-16-dUTP (40022) and biotin-20-dUTP (40030). The length of the linker affects the incorporation efficiency of the biotin-dUTP probe into DNA using DNA polymerases, and it also affects biotin/avidin or biotin/streptavidin. In general, the shorter the linker, the more efficiently the biotin-dUTP is incorporated into DNA by DNA polymerases. On the other hand, the longer the linker, the better biotin can interact with avidin or streptavidin. Biotin-11-dUTP is also available as a lyophilized solid (40029-1).
- 1 mM solution in pH 7.5 Tris-HCl buffer
- Store at -20°C
- C28H41N6O17P3S Li4
- MW: 886.5
- [86303-25-5]
风险提示:丁香通仅作为第三方平台,为商家信息发布提供平台空间。用户咨询产品时请注意保护个人信息及财产安全,合理判断,谨慎选购商品,商家和用户对交易行为负责。对于医疗器械类产品,请先查证核实企业经营资质和医疗器械产品注册证情况。












